Americium co-precipitation with calcium oxalate
- Autores: Sofronov V.L.1, Selyavskiy V.Y.2
-
Afiliações:
- Seversk Technological Institute – branch of the National Research Nuclear University «MEPhI»
- JSC «Siberian Chemical Combine»
- Edição: Volume 335, Nº 4 (2024)
- Páginas: 64-72
- Seção: Articles
- URL: https://ogarev-online.ru/2500-1019/article/view/258832
- DOI: https://doi.org/10.18799/24131830/2024/4/4574
- ID: 258832
Citar
Texto integral
Resumo
Relevance. The fact that the literature does not contain any data not only on crystallization coefficients, but also on the nature of the co-precipitation of americium (III) with calcium oxalate. The co-precipitation reaction of americium with calcium oxalate is used to concentrate trace amounts of americium due to calcium oxalate low solubility and adsorption capacity. In this relation, the study of co-precipitation of trace amounts of americium with calcium oxalate, as well as the study of the isolation of trace amounts of americium using a calcium carrier and its subsequent separation from the carrier, is of unconditional interest. Aim. Investigation of americium co-precipitation with the solid sorbent – calcium oxalate, description of the equilibrium of the sorption isotherm using Langmuir and Freundlich models. Methods. When studying the establishment of co-precipitation of americium with a carrier – calcium oxalate, the qualification of the chemical reagents used met the requirements of the grade not lower than r.g. The isotope americium-241 was used in the work, the composition of the solid phase of the carrier – calcium oxalate – corresponded to the formula CaC2O4·H2O. The concentration of americium (III) cations in the initial solution and in the filtrate was determined by gamma-spectrometric method using the SCS-07P spectrometric complex, the amount of calcium – by complexometric titration with murexide as an indicator, and the concentration of oxalate ion – by permanganatometric method. Results. It was found that the co-precipitation of americium (III) nitrate solutions with calcium oxalate is largely due to adsorption of the micro-component – americium (III) – on the surface of the existing or newly formed precipitate of the macro-component calcium oxalate. It is determined that the Langmuir equation model adequately describes sorption, since the processing of experimental data by the least squares method showed that in coordinates C/A=f(C) the sorption isotherm is described by the equation of a straight line with a high correlation coefficient of more than 0.95.
Palavras-chave
Texto integral
Введение
Для выделения радиоактивных элементов, находящихся в растворе в микроколичествах, можно использовать методы соосаждения микрокомпонента с массовыми количествами устойчивого соединения – макрокомпонента. В этих случаях возможны различные виды соосаждения, отличающиеся друг от друга по механизму и законам, которые ими управляют [1], основными из которых являются:
- изоморфное соосаждение: радиоэлемент распределяется по всему объёму осадка, образуя с противоположно заряженным ионом твердой фазы соединение, изоморфное с осадком;
- адсорбционное соосаждение: радиоэлемент концентрируется на поверхности раздела фаз кристалл–раствор.
В обоих случаях наблюдаемые явления одинаковы – с образующимся осадком макрокомпонента соосаждаются другие вещества, которые, взятые отдельно, не дают осадка в этих условиях. Эти виды соосаждения можно различить только экспериментально – путем определения количества радиоэлемента, перешедшего в твердую фазу, в зависимости от следующих факторов:
- продолжительности процесса;
- величины удельной поверхности осадка макрокомпонента;
- содержания и изменения концентрации собственных ионов микрокомпонента;
- содержания и изменения концентрации посторонних многовалентных ионов.
Однако все-таки отличить адсорбционное соосаждение от изоморфного достаточно трудно, поэтому чаще всего для установления механизма и физико-химических закономерностей соосаждения используют ряд экспериментальных методов.
До настоящего времени достаточно подробно были изучены лишь механизмы соосаждения немногих систем. Например, при изучении соосаждения ряда катионов с сульфатом калия и хлоридом натрия отмечалась большая роль адсорбции на поверхности кристаллов [2]. При соосаждении трехвалентного церия с оксалатами урана и тория особую роль играл захват микрокомпонента в процессе роста кристаллов из пересыщенного раствора [3]. Однако, несмотря на технологическое применение оксалатного осаждения для выделения трансурановых элементов (ТУЭ), механизм их соосаждения детально не изучался. Имеется лишь ограниченное количество опубликованных работ, в которых приводятся экспериментально установленные условия, при которых оксалаты кальция, являясь наименее растворимыми из оксалатов щелочноземельных металлов, используются для выделения РЗЭ и актиноидов [4–7].
Достижение состояния равновесия в гетерофазных процессах, особенно в системах «твердое–жидкость», может осложняться установлением ложного равновесия из-за замедления обменных и химических реакций в твердой фазе на активных группах. Активность функциональной группы может проявляться как способность к ионному обмену (ионогенные группы), как возможность образования донорно-акцепторных комплексов (комплексообразующие группы), а также как способность к образованию полилигандных пространственных комплексов – хелатов (хелатообразующие группы).
В настоящее время теория сорбции из растворов находится в развитии, что объясняется сложностью изучаемого явления. До сих пор не существует теории, которая дала бы возможность количественно прогнозировать взаимодействие сорбент–сорбат и априори рассчитывать сорбционную емкость тех или иных сорбентов. Для решения таких задач имеют право на существование различные подходы и теории, дающие новые знания об изучаемых процессах [8, 9].
Экспериментальная часть
Соосаждение представляет собой одновременный переход микро- и макрокомпонентов в формирующуюся твердую фазу коллектора. Оно включает захват примеси на следующих стадиях: при росте частиц коллектора, при созревании осадка, при структурном и морфологическом совершенствовании частиц твердой фазы. При этом выполняется главное условие соосаждения – одновременность перехода микро- и макрокомпонентов из жидкой в твердую фазу [6, 10].
В работе рассматриваются некоторые закономерности оксалатного соосаждения трехвалентного иона америция с осадком оксалата кальция, которое может осуществляться как совместной сокристаллизацией микрокомпонента с макрокомпонентом (изоморфное соосаждение), так и адсорбцией микрокомпонента на поверхности осадка макрокомпонента (адсорбционное соосаждение).
При проведении исследований по установлению механизма соосаждения америция на носителе – оксалате кальция – квалификация используемых химических реактивов соответствовала требованиям марки не ниже х.ч. В работе использовали изотоп америция-241, состав твердой фазы носителя – оксалата кальция – соответствовал формуле СаС2О4·Н2О [10, 11].
О сорбционных свойствах сорбента носителя можно судить по изотерме, характеризующей зависимость его сорбционной способности от концентрации в растворе сорбируемого на нём компонента при постоянной температуре. Исследования по определению показателей сорбции осуществляли по следующей методике. Сорбент массой 1,4 г помещали в колбу вместимостью 100,0 мл и заливали 100,0 мл модельного раствора. Модельные растворы готовили методом разбавления раствора нитрата америция (III) с концентрациями катионов Am3+ от 8,0 до 200,0 мг/л. В процессе исследований рН в растворах не корректировали. Смесь перемешивали электромагнитной мешалкой с числом оборотов не менее 1000 об/мин в течение 1 ч, сорбент отфильтровывали через 1 сутки на бумажном фильтре (белая лента). Концентрацию катионов америция (III) в исходном растворе и в фильтрате определяли гамма-спектрометрическим методом с использованием спектрометрического комплекса СКС-07П [12], количество кальция – комплексонометрическим титрованием с мурексидом в качестве индикатора [13], концентрацию оксалат-иона – перманганатометрическим методом [13].
Результаты экспериментов и обсуждение
Каждый адсорбент характеризуется своей изотермой, являющейся основной характеристикой адсорбционной способности носителя, и по её форме можно судить о механизме процесса концентрирования.
Сорбционную емкость сорбента (A, моль/г) в условиях установившегося равновесия в системе определяли по формуле:
, (1)
где C1 – исходная концентрация америция в растворе, моль/л; С2 – равновесная концентрация америция в растворе после процесса сорбции, моль/л; V – объем раствора, л; m – масса сорбента, используемого для процесса сорбции, г. Полученные данные обрабатывали методом наименьших квадратов с использованием критерия Стьюдента при значении доверительной вероятности 0,95.
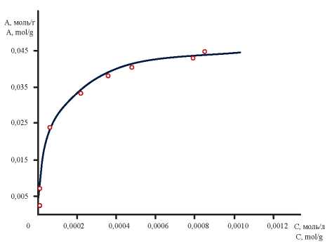
По полученным экспериментальным данным была рассчитана адсорбция на оксалате кальция ионов америция (III) из нитратных растворов с их разной исходной концентрацией по формуле (1), построена изотерма адсорбции, представленная графически на рис. 1.
Рис. 1. Изотерма сорбции америция (III) на оксалате кальция
Fig. 1. Isotherm of americium (III) sorption with calcium oxalate
В литературе для большого ряда твердых сорбентов описаны десятки типов изотерм сорбции. Изотерму, представленную на рис. 1, можно отнести по классификации БДДТ (Брунауэр, Деминг, Деминг, Теллер) или Брунауэра к первому типу [14], описывающему мономолекулярную адсорбцию с образованием монослоя америция (III) на поверхности адсорбента – оксалата кальция. В этом случае сорбированные молекулы или ионы микрокомпонента располагаются в монослое на поверхности макрокомпонента. При заполнении его поверхности сорбент достигает состояния насыщения, чему соответствует плато на графике изотермы. Равновесие в сорбционных процессах определяется, в первую очередь, суперпозицией равновесий в фазах раствора и сорбента. Физико-химические подходы имеют наибольшее значение для понимания и количественного описания равновесия, особенно в условиях многообразия форм существования компонентов в их фазах. Эти подходы дают необходимую информацию по исходным и конечным формам реагирующих веществ и определяют пути возможного технологического воздействия на химические процессы. Именно они позволяют определить такие важнейшие параметры сорбции, как емкость и избирательность, а также найти возможности для направленного смещения равновесия и оценки возможной эффективности процессов в конкретных условиях их проведения [15–17].
Наиболее часто для аналитического описания ионообменных равновесий используют подход, основанный на применении закона действующих масс. В этом случае сложный гетерогенный процесс ионного обмена рассматривается как обратимая химическая реакция. Для количественного описания равновесия сорбции в интервале концентраций, отвечающих образованию монослоя, были использованы модели Ленгмюра и Фрейндлиха [18, 19].
Модель Ленгмюра. Согласно этой модели адсорбцию представляют как квазихимическую реакцию между адсорбатом и адсорбционными центрами поверхности адсорбента, что приводит к адсорбционному насыщению поверхности адсорбента по мере увеличения концентрации распределяемого вещества. Это представление является основополагающим в теории Ленгмюра и уточняется следующими дополнениями:
Обычно уравнение Ленгмюра используют в виде:
, (2)
где A – количество сорбируемого вещества, моль/г; А∞ – предельное количество сорбированного вещества (емкость адсорбционного монослоя), моль/г; C – равновесная концентрация адсорбтива, моль/л; K – константа сорбционного равновесия, характеризующая интенсивность процесса сорбции, л/моль.
Сродство между адсорбатом и адсорбентом можно оценить по величине безразмерного коэффициента разделения RL, используя параметр K из уравнения Ленгмюра:
, (3)
где C0 – начальная концентрация ионов металла в растворе, моль/л. В зависимости от величины коэффициента RL адсорбционный процесс может быть оценен следующим образом: при RL>1 условия для его протекания неблагоприятны, при RL=1 наблюдается линейная зависимость, при RL=0 процесс сорбции будет протекать необратимо, а при 0<RL<1 условия для сорбции благоприятны [18].
Для определения параметров сорбции А∞ и К уравнение (2) преобразуем в линейную форму [20]:
. (4)
Результаты обработки изотермы сорбции америция (III) оксалатом кальция по модели Ленгмюра (уравнения (3), (4)) представлены в табл. 1 и на рис. 2.
Таблица 1. Результаты обработки данных изотермы по уравнению Ленгмюра
Table 1. Results of processing isotherm data according to the Langmuir equation
Концентрация америция (III) в растворе, моль/л Americium (III) concentration in solution, mol/l | Количество америция (III) на осадке оксалата кальция – А, моль/г Amount of americium (III) on the precipitate of calcium oxalate – A, mol/g | С/A
| RL | |
Исходная Basic | Равновесная (С) Equilibrium (C) | |||
0,003465 | 8,29876E-06 | 0,0024 | 0,0035 | 0,0297 |
0,010394 | 8,71369E-06 | 0,0072 | 0,0012 | 0,0101 |
0,034647 | 6,22407E-05 | 0,0240 | 0,0026 | 0,0031 |
0,048506 | 0,000219917 | 0,0335 | 0,0066 | 0,0022 |
0,041577 | 0,000323651 | 0,0286 | 0,0113 | 0,0025 |
0,055436 | 0,000356846 | 0,0382 | 0,0093 | 0,0019 |
0,0589 | 0,000477178 | 0,0406 | 0,0118 | 0,0018 |
0,062365 | 0,000792531 | 0,0428 | 0,0185 | 0,0017 |
0,06583 | 0,000850622 | 0,0451 | 0,0189 | 0,0016 |
0,051971 | 0,000871369 | 0,0355 | 0,0246 | 0,0020 |
0,069295 | 0,001029046 | 0,0474 | 0,0217 | 0,0015 |
Последующая математическая обработка экспериментальных данных (рис. 2) методом наименьших квадратов показала, что в координатах С/A=f(С) изотерма сорбции описывается уравнением прямой (5) с высоким коэффициентом корреляции (R2=0,9520):
. (5)
Рис. 2. Обработка изотермы сорбции америция (III) оксалатом кальция по модели Ленгмюра
Fig. 2. Treatment of the americium (III) sorption isotherm with calcium oxalate according to the Langmuir model
Это свидетельствует о том, что используемая модель уравнения Ленгмюра адекватно описывает процесс сорбции и позволяет достаточно надежно определить величины A∞ и К.
Из данных, представленных в табл. 1, следует, что соосаждение америция (III) на осадке оксалата кальция протекает по адсорбционному механизму, поскольку величина RL больше ноля, но меньше единицы.
Известно, что модель Ленгмюра справедлива для мономолекулярной адсорбции, протекающей на адсорбенте с энергетически эквивалентными адсорбционными центрами. Реальная же поверхность сорбента такими свойствами не обладает и в случае сорбентов с неоднородной поверхностью при обработке экспериментальных данных широко используется эмпирическое уравнение Фрейндлиха.
Модель Фрейндлиха. Сорбционные центры по этой модели обладают различными величинами энергии, поэтому в первую очередь происходит заполнение активных сорбционных центров с максимальной энергией.
При обработке экспериментальных данных изотерму адсорбции часто описывают эмпирическим уравнением в виде степенной функции [20]:
, (6)
где A – количество сорбируемого вещества, моль/г; n – константа изотермы Фрейндлиха, показывающая интенсивность сорбции и распределение активных центров; K – константа изотермы Фрейндлиха, отражающая относительную сорбционную способность; C – равновесная концентрация адсорбтива, моль/л. В логарифмической форме уравнение (6) принимает вид:
(7)
Если n<1, энергия связей возрастает, при n>1 энергия связи сорбент–сорбат уменьшается по мере заполнения поверхности; в случае n=1 все сорбционные центры эквивалентны [15].
Представление экспериментальных данных (табл. 2) по уравнению (7) в координатах lgA=f(lgC) позволяет графически определить значения K и n (рис. 3) [20]. Последующая обработка экспериментальных данных методом наименьших квадратов показала, что изотерма сорбции описывается уравнением прямой (8) с коэффициентом корреляции (R2=0,8520):
. (8)
Результаты обработки изотермы сорбции америция (III) оксалатом кальция по модели Фрейндлиха представлены в табл. 2 и на рис. 3.
Таблица 2. Результаты обработки данных по уравнению Фрейндлиха
Table 2. Results of data processing according to the Freundlich equation
Концентрация америция (III) в растворе, моль/л Americium (III) concentration in solution, mol/l | Количество америция (III) на осадке оксалата кальция – А, моль/г Amount of americium (III) on the precipitate of calcium oxalate – A, mol/g | lg A
| lg С | |
Исходная Basic | Равновесная (С) Equilibrium (C) | |||
0,003465 | 8,29876E-06 | 0,0024 | –6,0322 | 0,0297 |
0,010394 | 8,71369E-06 | 0,0072 | –4,9320 | 0,0101 |
0,034647 | 6,22407E-05 | 0,0240 | –3,7290 | 0,0031 |
0,048506 | 0,000219917 | 0,0335 | –3,3953 | 0,0022 |
0,041577 | 0,000323651 | 0,0286 | –3,5527 | 0,0025 |
0,055436 | 0,000356846 | 0,0382 | –3,2636 | 0,0020 |
0,0589 | 0,000477178 | 0,0406 | –3,2047 | 0,0018 |
0,062365 | 0,000792531 | 0,0428 | –3,1522 | 0,0017 |
0,06583 | 0,000850622 | 0,0451 | –3,0983 | 0,0016 |
0,051971 | 0,000871369 | 0,0355 | –3,3386 | 0,0020 |
0,069295 | 0,001029046 | 0,0474 | –3,0490 | 0,0015 |
Примечание/Note: K=1,527, n=2,053 моль/г (mol/l).
Рис. 3. Обработка изотермы сорбции америция (III) оксалатом кальция по модели Фрейндлиха
Fig. 3. Treatment of the americium (III) sorption isotherm with calcium oxalate according to the Freundlich model
Сравнения значений коэффициентов корреляции, полученных при линеаризации изотермы мономолекулярной сорбции америция (III) на осадке оксалате кальция по моделям Ленгмюра и Фрейндлиха (табл. 1, 2) показывают, что сорбция с большей вероятностью описывается уравнением Ленгмюра.
Таким образом, в ходе проведенных исследований показано, что соосаждение америция (III) из кислых нитратных растворов на осадке оксалата кальция протекает по адсорбционному механизму и описывается моделью Ленгмюра, что соответствует образованию мономолекулярного сорбционного слоя на поверхности сорбента.
Обработка результатов экспериментов расчетными и графическими методами
Подтвердить или опровергнуть этот механизм можно и другими методами. Максимально быстро и достаточно эффективно отличить сокристаллизацию от адсорбции можно по скорости соосаждения. Поскольку при сокристаллизации радиоэлемент должен распределиться равномерно по всему объему осадка, установление равновесия при перемешивании осадка с раствором, содержащим радиоэлемент, требует значительного времени (от 2 до 3 недель при комнатной температуре). Соответственно, количество радиоэлемента, перешедшее в твердую фазу, при добавлении его к готовой суспензии значительно меньше, чем при осаждении носителя в присутствии радиоэлемента. При адсорбции равновесие устанавливается быстро (от 15 до 20 минут), и поэтому величина сорбции будет мало зависеть от момента ввода в раствор радиоэлемента [21].
Для оценки доли в соосаждении адсорбции и сокристаллизации в изучаемой системе по известной методике [21] проводили определение доли америция (III), соосажденного из азотнокислого раствора на оксалате кальция за определенный промежуток времени. Результаты полученных исследований приведены в табл. 3. Степень очистки раствора от америция при соосаждении его на твердом носителе – оксалате кальция – рассчитывали по уравнению (9):
, (9)
где α – доля америция (III), соосаждающегося на носителе оксалате кальция; C0 и C1 – концентрация америция (III) в исходном и конечном растворах, моль/л.
Как следует из результатов табл. 3, при осаждении оксалата кальция америций (III) соосаждался с ним независимо от того, присутствовал ли он в растворе до начала кристаллизации осадка или вводился уже после его образования.
Таблица 3. Количество америция (III), соосажденного на носителе – оксалате кальция
Table 3. Amount of americium (III) co-deposited on the carrier – calcium oxalate
Продолжительность соосаждения, мин Duration of coprecipitation, min | Доля америция, соосажденного на оксалате кальция, α, мас. %, в опыте Proportion of americium co-precipitated on calcium oxalate, α, wt %, in the experiment | Условие Condition | ||||
1 | 2 | 3 | 4 | Среднее значение Average value | ||
5 | 38,2 | 27,6 | 43,3 | 48,2 | 39,3 | На сформированном осадке On the formed sediment |
10 | 50,2 | 60,3 | 66,3 | 54,1 | 57,7 | |
30 | 77,2 | 87,4 | 72,5 | 79,4 | 79,1 | |
60 | 93,1 | 82,1 | 90,4 | 85,6 | 87,8 | |
120 | 96,9 | 98,4 | 99,5 | 93,9 | 97,1 | |
180 | 95,2 | 98,7 | 99,3 | 98,8 | 98,0 | |
5 | 51,3 | 54,6 | 28,8 | 53,7 | 47,1 | На формирующемся осадке On the forming sediment |
10 | 72,8 | 57,8 | 65,2 | 70,2 | 66,5 | |
30 | 80,2 | 77,2 | 86,4 | 85,8 | 82,4 | |
60 | 96,6 | 97,5 | 86,4 | 90,3 | 92,7 | |
120 | 98,8 | 96,7 | 99,1 | 97,5 | 98,0 | |
180 | 99,6 | 98,8 | 98,8 | 98,3 | 98,8 | |
Из результатов, представленных в табл. 3, следует, что равновесие в исследуемой системе устанавливается быстро. Уже при изменении продолжительности процесса от 30 до 180 мин доля америция (III), соосажденного на оксалате кальция, достигает значения от 85,0 до 99,0 мас. %, соответственно. При этом количество америция, соосаждающегося с оксалатом кальция, мало зависело от момента ввода радиоэлемента. Этот факт также указывает на заметную роль адсорбции в механизме соосаждения.
В литературе часто для адсорбционного соосаждения используют уравнение [22]:
, (10)
где С2 – количество соосажденного микрокомпонента; С1 – количество микрокомпонента, оставшееся в растворе; α и n – постоянные величины. Изотерма, описываемая по уравнению (10), на графике в координатах С2=f(С1) представляет характерную кривую линию (рис. 4).
В случае изоморфного соосаждения изотерма может быть описана уравнением [21]:
, (11)
где х – количество соосажденного микрокомпонента, равное С2; а – начальное количество микрокомпонента; у – количество осажденного макрокомпонента; b – начальное количество макрокомпонента; D – коэффициент распределения; а–х – количество микрокомпонента, остающегося в растворе, равное С1. При постоянном количестве макрокомпонента и постоянных условиях осаждения правая часть уравнения (11) остается постоянной. Значит, и левая часть этого уравнения должна быть тоже постоянной, поэтому отношение соосажденного количества микрокомпонента к оставшемуся количеству его в растворе не изменяется при изменении начальных количеств микрокомпонента. Отсюда следует, что изотерма изоморфного соосаждения представляет собой в координатах С2=f(С1) прямую линию, проходящую под углом 45° через начало координат.
Для подтверждения механизма соосаждения (адсорбционное или изоморфное соосаждение) необходимо провести процесс соосаждения при переменных количествах микрокомпонента и постоянных количествах макрокомпонента. Построив изотерму соосаждения, обработав полученные результаты графически и представив полученные зависимости в логарифмических координатах lgС2=f(lgС1), можно найти угол наклона полученной прямой. В случае если преобладает процесс изоморфного соосаждения, угол наклона прямой должен быть близок к 45°, а в случае адсорбционного – менее 45° [22]. Таким образом, по характеру получаемой изотермы также можно отличать изоморфное соосаждение от адсорбционного.
В рассматриваемых далее опытах соосаждение проводили в течение 30 минут. Эта величина была выбрана с таким расчетом, чтобы полностью завершилась быстрая стадия процесса и основная масса америция (III) соосадилась на носителе. Такой методологический подход подтверждается данными, представленными в [21].
Результаты исследований соосаждения америция на оксалате кальция в виде изотермы соосаждения в координатах С2=f(С1) графически представлены на рис. 4.
Рис. 4. Изотерма соосаждения америция на оксалате кальция
Fig. 4. Isotherm of americium co-precipitation with calcium oxalate
Последующая обработка экспериментальных данных методом наименьших квадратов показала, что она описывается уравнением (12) с коэффициентом достоверности аппроксимации (R2=0,9167):
(12)
Из рис. 4 следует, что полученная изотерма представляет кривую линию, характерную для процесса адсорбционного осаждения. Последующая обработка экспериментальных данных по уравнению (10) и методике, представленной в [22], показала, что графически эта зависимость в логарифмических координатах lgС2=f(lgС1) (рис. 5) описывается уравнением прямой линии (13) с углом наклона 26° при величине достоверности аппроксимации R2=0,8803:
. (13)
Рис. 5. Изотерма соосаждения америция (III) на оксалате кальция в логарифмических координатах lgС₂=f(lgС₁)
Fig. 5. Isotherm of americium (III) co-precipitation with calcium oxalate in logarithmic coordinates lgС₂=f(lgС₁)
Полученные результаты также указывают на механизм адсорбционого соосаждения америция (III) на осадке оксалата кальция, поскольку угол наклона прямой, соответствует 26°, т. е. меньше 45°.
Заключение
В ходе проведенных исследований и обработки полученных результатов расчетными и графическими методами установлено, что соосаждение из нитратных растворов америция (III) с оксалатом кальция в большей степени обусловлено адсорбцией микрокомпонента – америция (III) – на поверхности имеющегося или вновь образующегося осадка макрокомпонента – оксалата кальция.
Это подтверждается тем, что:
На основании вышесказанного следует, что система Am(III) – СаС₂О₄ дополняет группу систем, для которых в процессе соосаждения характерна преобладающая роль адсорбции микрокомпонента на носителе – макрокомпоненте.
Sobre autores
Vladimir Sofronov
Seversk Technological Institute – branch of the National Research Nuclear University «MEPhI»
Autor responsável pela correspondência
Email: vlsofronov@mephi.ru
Dr. Sc., Professor
Rússia, 65, Kommunistichesky avenue, Seversk, 636036Vadim Selyavskiy
JSC «Siberian Chemical Combine»
Email: shk@atomsib.ru
Head of the Experimental and Technological Section for Work with Radioactive Substances and Nuclear Materials
Rússia, 1, Kurchatov street, Seversk, 636039Bibliografia
- Selyavskiy V.Yu., Buinovskiy A.S., Muslimova A.V. Mechanism of co-precipitation of americium (III) on calcium oxalate from nitric acid solutions. Actual problems of innovative development of nuclear technologies. Proc. of the conference within the framework of the Scientific session of NRNU MEPhI. Seversk, NRNU «MEPhI» STI Publ., 2016. pp 23–24. (In Russ.)
- Melikhov I.V., Kirkorova E.K. Co-deposition of Ce with K2SO4 crystals. Journal of Radiochemistry, 1964, vol. 6, no. 1, pp. 5–11. (In Russ.)
- Kummer J.T., Youngs J.D. The surface composition of a dilute solid solution of calcium chloride in sodium chloride. Journal of Physical Chemistry, 1963, vol. 67, pp. 107–109.
- Selyavskiy V.Yu., Kochetkov V.G., Zhitkov S.A., Buynovskiy A.S., Sofronov V.L. The research of purification of watertail solutions from americium by means of calcium oxalate. Russian Physics Journal, 2013, vol. 56, no. 4/2, pp. 257–264. (In Russ.)
- Ryan V.A., Pringle J.W. Preparation of pure americium. Denver, Colo., Dow Chemical Company, Rocky Flats Plant, 1960. 24 p.
- Street K. Jr., Seaborg G.T. The Separation of Americium and Curium from the Rare Earth Elements. Journal of the American Chemical Society, 1950, vol. 72, pp. 2790–2792.
- Madic C., Kertesz C., Sontag R. Application of extraction chromatography to the recovery of neptunium, plutonium and americium from an industrial waste. Separation Science and Technology, 1980, vol. 15, no. 4, pp. 745–762.
- Zakharov A.G., Prusov A.N., Voronova M.I. Applicability of the theory of volumetric filling of micropores to sorption from solutions on natural and synthetic polymers. Proceedings Problems of chemistry of solutions and technology of liquid-phase materials. Ivanovo, 2001. pp. 202–209. (In Russ.)
- Prusov A.N., Prusova S.M., Radugin M.V., Bazanov A.V. Flax shive as a source of activated carbon for adsorption of methylene blue. Journal fullerenes nanotubes and carbon nanostructures, 2021, vol. 29, no. 9, pp. 685–694.
- Selyavsky V.Yu., Buinovsky A.S., Sofronov V.L., Selyavskaya E.V. Investigation of the sizes of calcium oxalate particles obtained by precipitation from nitric acid solutions. Bulletin of the Tomsk Polytechnic University. Geo Assets Engineering, 2015, vol. 326, no. 8, pp. 86–91. (In Russ.)
- Selyavsky V.Yu., Buinovsky A.S., Sofronov V.L., Selyavskaya E.V. Investigation of the solubility of calcium oxalate. Bulletin of the National Research Institute «MEPhI», 2017, vol. 6, no. 1, pp. 16–25. (In Russ.)
- Method of measurement. Measurement of the concentration of americium-241 in samples of technological solutions using the gamma-spectrometric complex SCS-07. Seversk, JSC «Siberian Chemical Combine» Publ., 2022. 12 p.
- Method of performing analyses. Methods of analysis of technological products. Seversk, JSC «Siberian Chemical Combine» Publ., 2021. 83 p.
- Kolpakova N.A., Minakova T.S. Thermodynamics and kinetics of sorption concentration. Tomsk, TPU Publ., 2021. 229 p.
- Nikiforova T.E. Physico-chemical bases of chemisorption of d-metal ions by modified cellulose-containing materials. Dr. Diss. Ivanovo, 2014. 365 p.
- Nikiforova T.E., Kozlov V.A., Sofronov A.R. Effect of chemical modification of cotton cellulose by aminoacetic acid on the sorption of Cu(II) and Fe(II) ions. From chemistry towards technology step-by-step, 2023, vol. 4, no. 1, pp. 107–116.
- Nikiforova T.E., Vokurova D.A. Sorption of heavy metal ions from aqueous solutions by cellulose sorbent agent. From chemistry towards technology step-by-step, 2022, vol. 3, no. 1, pp. 76–87.
- Hubbe M.A., Hasan S.H., Ducoste J.J. Cellulosic substrates for removal of pollutants from aqueous systems: a review. 1. Metals. BioResources, 2011, vol. 6, no. 2, pp. 2181–2287.
- Hubbe M.A., Beck K.R., O'Neal W.G. Cellulosic substrates for removal of pollutants from aqueous systems: a review. 2. Dyes. BioResources, 2012, vol. 7, no. 2, pp. 2592–2687.
- Ilyina E.B., Mareicheva E.E. Adsorption. Moscow, MAI Publ., 2022. 110 p.
- Khlopin V.G. Selected works. Vol. 1. Moscow, Academy of Sciences of the USSR Publ., 1957. 375 p.
- Korenman I.P. Distinctive features of isomorphic and adsorption co-deposition. Journal of General Chemistry, 1955, vol. 25, no. 13, pp. 2399–2401. (In Russ.)
Arquivos suplementares






