Влияние градиента субстрата на запуск частичного нитрования-анаммокс
- Авторы: Косгей К.1, Киамби С.Л.1
-
Учреждения:
- Технологический университет Ваала
- Выпуск: Том 335, № 12 (2024)
- Страницы: 210-219
- Раздел: Статьи
- URL: https://ogarev-online.ru/2500-1019/article/view/285893
- DOI: https://doi.org/10.18799/24131830/2024/12/4566
- ID: 285893
Цитировать
Полный текст
Аннотация
Актуальность. Частичное нитрование-анаммокс представляет собой экономическо- эффективный процесс биологического удаления азота, который имеет большой потенциал в качестве альтернативы традиционному процессу нитрификации/денитрификации. Однако чувствительность процесса к условиям эксплуатации и окружающей среды ограничивает его широкое применение. Цель: изучить влияние градиента субстрата на запуск частичного нитрования-анаммокса в реакторе непрерывного действия и реакторе идеального вытеснения с восходящим потоком. Методы. Была зарегистрирована модифицированная Модель № 1 активного ила в системе MATLAB. В модели было реализовано управление аэрацией по времени (10 минут включения/20 минут выключения). Была смоделирована концентрация растворенного кислорода между 0,2 и 0,8 мг-О2/л во время фазы аэрации. Результаты. Установлено, что частичное нитрование-анаммокс можно успешно запустить в обоих реакторах менее чем за 200 суток при заданных условиях эксплуатации. Кроме того, в процессе работы реакторов могли происходить изменения внутри бактериальных сообществ. Численность анаммокс-бактерий, гетеротрофных бактерий и бактерий, окисляющих аммиак, может уменьшаться с увеличением высоты реактора, в то время как рост бактерий, окисляющих нитрит, может варьироваться в зависимости от высоты реактора идеального вытеснения с восходящим потоком из-за динамики образования и истощения нитрита (NO2–) на разных уровнях внутри реактора. В целом частичное нитрование-анаммокс в реакторе непрерывного действия и реакторе идеального вытеснения с восходящим потоком вполне осуществимо.
Полный текст
INTRODUCTION
Biological nitrogen removal (BNR) processes represent the technology of choice in most systems of nitrogen removal from wastewater [1]. Among the well-established BNR processes are nitrification/denitrification, partial nitritation/denitritation and partial nitritation – ammonium oxidation (anammox) processes. Each of these technologies are well described in literature, including [1–4]. Briefly, in nitrification/denitrification, ammonium (NH₄⁺) is first oxidised to NO₂⁻ by ammonium oxidising bacteria (AOB), and the generated NO₂⁻ is then oxidised to nitrate (NO₃⁻) by nitrite oxidising bacteria (NOB). The NO₃⁻ could then be reduced to nitrogen gas by the denitrifiers using a range of electron donors such as organic carbon, sulphide, hydrogen, etc. [1]. In the contrary, in partial nitritation/denitritation, NH₄⁺ is only oxidised to NO₂⁻, which is then reduced to nitrogen gas by the denitrifiers [5]. This short-cut process saves on chemical oxygen demand (COD) for denitrification step as well as on the cost of aeration because NH₄⁺ is only oxidised to NO₂⁻. However, process control is imperative to limit nitratation (production of NO₃⁻). In another process referred to as partial nitritation-anammox (PN/A), AOB convert about half of NH₄⁺ to NO₂⁻, while anammox bacteria (AMX) oxidise the residual NH₄⁺ to nitrogen gas using the NO₂⁻ generated by AOB as electron acceptor [1]. Compared to nitrification/denitrification, PN/A saves on aeration costs and COD supplementation (since only 11% of NH₄⁺ is converted to NO₃⁻) [6]. It has also been reported that less nitrous oxide (N₂O) is generated in PN/A systems compared to systems based on nitrification and denitrification, a positive attribute since N₂O contributes to global warming [2]. However, this process is sensitive to operating and environmental conditions, and still requires further improvements. In addition, anammox bacteria have slow growth rate and could be easily outcompeted for NO₂⁻ by other faster growing bacteria such as nitrite oxidising bacteria (NOB) and denitrifiers. The NOB and denitrifiers also present competition to AOB for oxygen, and could lead to unprecedented challenges if their growth is not suppressed in PN/A systems [7, 8].
Aeration regimes, hydraulic retention time (HRT), solids retention time (SRT), concentration of free ammonia (FA), free nitrous acid (FNA), COD, etc. were to suppress the growth of other bacteria that compete with AOB and anammox bacteria in PN/A systems for substrate and electron acceptors [9, 10]. The authors of [11, 12] have previously reported that reactor configuration has no effect on the bacterial shifts and selection in the systems. In a separate study [13] the authors demonstrated that reactor configuration can affect the duration of reactor start-up. Wells G.F. [14] also demonstrated that the resilience, resistance and stability of process performance could vary in different reactors. The notion of substrate gradient and its impact on reactor dynamics in biological systems was previously highlighted in [15]. Despite the amazing findings made from those studies, the impact of substrate gradient on process start-up and performance has not been yet investigated and/or analysed. Therefore, in this study, the impact of substrate gradient on process start-up and performance was investigated using a modified activated sludge model number 1 (ASM 1). A 70 m³ continuously stirred tank reactor (CSTR) and a 70 m³ plug-flow up-flow reactor (PFUR) were modelled and simulated in MATLAB environment.
Methodology
Mathematical model
The ASM 1 was extended through the addition of AMX activities [16]. The activities of AOB, NOB and heterotrophic bacteria (HET) were also considered in ASM 1 [17, 18]. The effect of temperature on maximum growth rate, hydrolysis rate constant (KH) and decay rate was accounted for using the Arrhenius correlation (1):
, (1)
where and are the parameters at operating temperatures and at the reference temperature (=293 K), respectively. The Arrhenius constant θ for NOB, AOB, AMX and HET were assumed to be equal to 0.061, 0.094, 0.096 and 0.069 [19].
Previously reported stoichiometric and kinetic parameters for AOB, NOB, AMX and HET at 293 K are summarised in Table 1. The values of nitrogen content in biomass (INBM), nitrogen content of inert particles (INXI), fraction of inert particles in decaying biomass (fI), hydrolysis saturation constant (KX) and hydrolysis rate constant (KH) were assumed to be 0.07 g-N g⁻¹ COD, 0.02 g-N g⁻¹ COD, 0.1 g-COD g⁻¹ COD, 1 g-COD g⁻¹ COD and 3 day⁻¹, respectively.
Table 1. Stoichiometric and kinetic paramrtres
Таблица 1. Стехиометрические и кинетические параметры
Bacterial group | AOB | NOB | AMX | HET | Remarks (замечания) |
Parameter | |||||
1.296 | 1.128 | 0.0528 | 7.2 | Maximum growth rate (day⁻¹) (Максимальная скорость роста (день⁻¹)) | |
0.1296 | 0.069 | 0.00312 | 0.192 | Decay rate coefficient (day⁻¹) (Коэффициент скорости затухания (день⁻¹)) | |
0.6 | 2.2 | 0.01 | 0.2 | Affinity for oxygen for AOB, NOB and HET, and inhibition coefficient for AMX (g-O₂ m⁻³) (Сродство к кислороду для AOB, NOB и HET и коэффициент ингибирования для AMX (г-O₂·м⁻³)) | |
2.4 | – | 0.07 | – | Affinity constant for NH₄⁺ (g-N m⁻³) (Константа сродства к NH₄⁺ (г-N м⁻³)) | |
– | 5.5 | 0.175 | 0.5 | Affinity constant for NO₂⁻ (g-N m⁻³) (Константа сродства к NO₂⁻ (г-N м⁻³)) | |
0.5 | 0.5 | 0.5 | 0.5 | Affinity constant for NO₃⁻ (g-N m⁻³) ((Константа сродства к NO₃⁻ (г-N м⁻³))) | |
0.15 | 0.041 | 0.159 | 0.43a/0.54b | Yield coefficient (g-COD g⁻¹ N) (Коэффициент выхода (г-ХПК г⁻¹ N)) | |
– | – | – | 2 | Affinity constant for readily degradable organic substrate (S) (g-COD m⁻³) (Константа сродства к легко разлагаемому органическому субстрату (S) (г-ХПК м⁻³)) | |
0.5 | 0.5 | 0.5 | 0.6 | Anoxic reduction factor (Коэффициент снижение в бескислородном режиме) |
aNO₂⁻/ NO₃⁻-reducing denitrifying bacteria (денирифицирующие бактерии); baerobic heterotrophic bacteria (аэробные гетеротрофные бактерии)
Implementation of the model
The model was implemented in MATLAB R2023a environment. The process rates in all the reactors were determined using the equations similar to those reported in [16] in Table 2 in the supplementary material, and were reproduced with modified symbols in Tables 2, 3. The reader can refer to [16] as the description therein is adequate. All the reactors were assumed to have a volume of 70 m³ and the SRT was assumed to be fixed at 30 days. The aeration and anoxia in the reactors was simulated to alternate: aerators on for 10 minutes, and off for 20 minutes. Dissolved oxygen concentration was simulated to range between 0.2 and 0.8 mg-O₂/L during the aeration operation.
The rate of a process (ri) was determined by multiplying the process rate in Table 3 with the corresponding coefficient (s) in Table 2 as depicted in (2). For instance, the rate of XAOB variations was determined by multiplying the coefficients in rows, column (1–3, 1) in Table 2 with the corresponding rate equations in Table 3 [17]. The differential equations that were used to simulate the changes in the concentrations of NH₄⁺, NO₂⁻, NO₃⁻ and COD were of the form presented in (3), while that of oxygen was simulated using an equation of the form presented in (4) [20, 21].
, (2)
where is the rate of process and is the stoichiometric coefficient.
, (3)
, (4)
where C represents the concentration of NH₄⁺, NO₂⁻, NO₃⁻ or COD, while CO₂ represents the concentration of oxygen. represent oxygen mass transfer coefficient and oxygen saturation concentration, respectively. The subscripts ‘in’ and ‘out’ represent the influent and effluent streams.
Plug-flow up-flow reactor was modelled following the method described in [22]. This entailed assuming that the reactor was subdivided into five compartments connected in series in which the lowest CSTR received fresh feed (compartment A), from which the compartment right above it was fed, and the third compartment was then fed from the second compartment, and so on and so forth (Fig. 1). The control of aeration in the plug-flow up-flow reactor was simulated based on the DO in the first compartment. Each of the five imaginary compartments was modelled as a CSTR [22]. It was assumed that the percentage oxygen drop per metre was 0.55 [23]. Process rates and differential equations in each compartment thus followed the form presented in (1)–(3).
The pH in the reactors was assumed to be constant and was not modelled. The concentrations of influent biodegradable COD (S), NO₂⁻, NO₃⁻, NH₄⁺ and slowly biodegradable organics (Xs) were taken to be approximately 600 g-COD/m³, 0.1 g-N/m³, 0.2 g-N/m³, 600 g-N/m³ and 300 g-COD/m³, respectively.
The accuracy of the model was checked in two ways: (I) the influent substrates were fixed at zero, and (II) then the growth rate was fixed at zero. In the first case, the abundance of all the bacterial species decreased to 0 mg-COD/L since there was no growth due to unavailability of substrate, showing that the model was correctly coded. The substrate concentrations in the reactor also decreased from the initial value of 0.5 to zero. In the second case, the concentration of substrates in the reactor increased to reach the levels in the influent, since the consumption of substrate was limited to the initial bacterial abundance of 0.5 mg-COD/L. The obtained results were thus used to confirm the accuracy of the model. The limits of the substrates in the reactors were zero (lower limit) and the influent concentrations (upper limit) were confirmed when the model was being tested for accuracy. The lower limit for oxygen was 0.2 mg-O₂/L and the upper limit was 0.8 mg-O₂/L, as set out in the control of the process.
Table 2. Stoichiometric coefficients
Таблица 2. Стехиометрические коэффициенты
Component (j)/(Компонент (j)→ | 1 | 2 | 3 | 4 | 5 | 6 | 7 | 8 | 9 | 10 |
XAOB | XNOB | XAMX | XHET | XS | SNO₂ | SNO₃ | SNH₄ | SO₂ | SS | |
Process (i)/(процесс (i))↓ | ||||||||||
Growth of AOB (Рост AOB) | 1 | 0 | 0 | 0 | 0 | 0 | 0 | |||
Aerobic endogenous respiration of AOB (Аэробное эндогенное дыхание AOB) | –1 | 0 | 0 | 0 | 0 | 0 |
| iNBM-fIiNXI | –(1–fI) | 0 |
Anoxic endogenous respiration of XAOB (Аноксическое эндогенное дыхание XAOB) | –1 | 0 | 0 | 0 | 0 | 0 | –(1–fI)/2.86 | iNBM-fIiNXI |
| 0 |
Growth of NOB (Рост NOB) | 0 | 1 | 0 | 0 | 0 | 0 | ||||
Aerobic endogenous respiration of NOB (Аэробное эндогенное дыхание NOB) | 0 | –1 | 0 | 0 | 0 | 0 |
| iNBM-fIiNXI | –(1–fI) | 0 |
Anoxic endogenous respiration of XNOB (Аноксическое эндогенное дыхание XNOB) | 0 | –1 | 0 | 0 | 0 | 0 | iNBM-fIiNXI | 0 | 0 | |
Growth of AMX (Рост AMX) | 0 |
| 1 | 0 | 0 | 0 | 0 | |||
Aerobic endogenous respiration of AMX (Аэробное эндогенное дыхание AMX) | 0 | 0 | –1 | 0 | 0 | 0 |
| iNBM-fIiNXI | –(1–fI) | 0 |
Anoxic endogenous respiration of XAMX (Аноксическое эндогенное дыхание XAMX) | 0 | 0 | –1 | 0 | 0 | 0 | iNBM-fIiNXI | 0 | 0 | |
Growth of HET on nitrite (Рост HET на нитрите) | 0 | 0 | 0 | 1 | 0 | 0 | 0 | |||
Growth of HET on nitrate (Рост HET на нитрате) | 0 | 0 | 0 | 1 | 0 | 0 | 0 | |||
Aerobic growth of HET (Аэробный рост HET) | 0 | 0 | 0 | 1 | 0 | 0 | 0 | |||
Aerobic endogenous respiration of HET (Аэробное эндогенное дыхание HET) | 0 | 0 | 0 | –1 | 0 | 0 | 0 | iNBM-fIiNXI | –(1–fI) | 0 |
Anoxic endogenous respiration of XH (Аноксическое эндогенное дыхание XH) | 0 | 0 | 0 | –1 | 0 | 0 | iNBM-fIiNXI | 0 | 0 | |
Hydrolysis (Гидролиз) | 0 | 0 | 0 | 0 | –1 | 0 | 0 |
| 0 | 1 |
XAOB – abundance of AOB (mg-COD/L) (Множество AOB (мг-ХПК/л)); XNOB – abundance of NOB (mg-COD/L) (Множество NOB (мг-ХПК/л)); XAMX – abundance of AMX (mg-COD/L) (Множество AMX (мг-ХПК/л)); XHET – abundance of HET (mg-COD/L) (Множество HET (мг-ХПК/л))
Table 3. Rate equations of the processes
Таблица 3. Уравнения скорости процессов
Process (процесс) | Rate () (скорость ()) |
AOB growth (Рост AOB) | |
Aerobic endogenous respiration of AOB (Аэробное эндогенное дыхание AOB) | |
Anoxic endogenous respiration of XAOB (Аноксическое эндогенное дыхание XAOB) | |
NOB growth (Рост NOB) | |
Aerobic endogenous respiration of NOB (Аэробное эндогенное дыхание NOB) | |
Anoxic endogenous respiration of XNOB (Аноксическое эндогенное дыхание XNOB) | |
AMX growth (Рост AMX) | |
Aerobic endogenous respiration of AMX (Аэробное эндогенное дыхание AMX) | |
Anoxic endogenous respiration of XAMX (Аноксическое эндогенное дыхание XAMX) | |
Growth of HET on nitrite (Рост HET на нитрите) | |
Growth of HET on nitrate (Рост HET на нитрате) | |
Aerobic growth of HET (Аэробный рост HET) | |
Aerobic endogenous respiration of HET (Аэробное эндогенное дыхание HET) | |
Anoxic endogenous respiration of XH (Аноксическое эндогенное дыхание XH) | |
Hydrolysis (Гидролиз) |
Fig. 1. PFUR compartmentalisation [22]
Рис. 1. Разделение реактора идеального вытеснения с восходящим потоком (РИВВП) [22]
RESULTS AND DISCUSSION
Nitrogen removal
Continuously stirred tank reactor
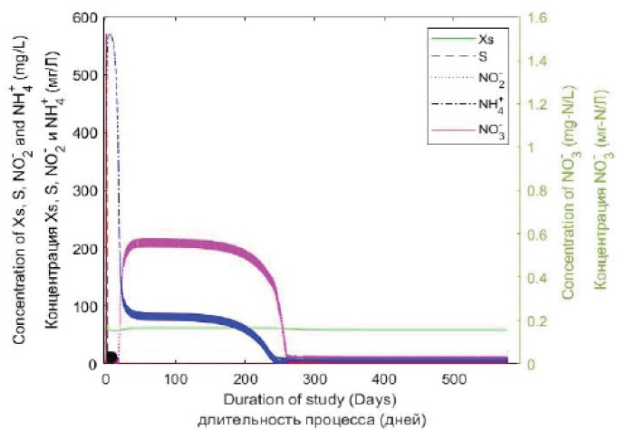
A steep decline in effluent NH₄⁺ concentrations could be expected in CSTR during the first 30 days (Fig. 2). This could be driven by an increase in the abundance of AOB in the reactor during this period (Fig. 4). It is possible that the increase in AOB abundance could lead to an increase in NH₄⁺ removal, which in turn could lead to the observed NO₂⁻ accumulation (Fig. 4). NO₂⁻ accumulation and the presence of residual NH₄⁺ could then lead to a gradual increase in AMX abundance [24]. AMX growth, in its turn, could lead to generation of some NO₃⁻ in line with the stoichiometry of PN/A [25]. However, the growth of facultative HET could lead to NO₃⁻removal when COD is present in the wastewater as previously demonstrated [7, 26].
Continuously mixed systems are commonly used in biological nitrogen removal systems because of the associated benefits including fast reaction rates and excellent substrate distribution [27]. However, most PN/A systems are based on moving bed biofilm reactor and sequencing batch reactor (SBR) designs [28], in which mixing is an integral part of reactor operation. The findings from this study could thus be used by process engineers when operating mixed systems of related configurations, and could be extended to SBR which incorporates flocculent sludge (hence minimal mass transfer limitations, an assumption made in this study) [29]. Nevertheless, in reality, CSTR application in full-scale systems is challenging mainly because of the difficulty in biomass retention, and SBR/membrane bioreactor are probably the closest to this configuration. However, incorporating a membrane in a membrane bioreactor to control biomass washout carries its own challenges including fouling and high energy demand [30]. Despite CSTR limitations, the benefits of this configuration including quick reactor start-up is evident from the removal of >85% NH₄⁺ within a short time (50 days<) and can be a motivation for further developing this design into a configuration of choice.
Fig. 2. Effluent concentrations of NO₃⁻, NO₂⁻, NH₄⁺, biodegradable organics (S) and slowly biodegradable substrate (Xs) in CSTR
Рис. 2. Концентрации NO₃⁻, NO₂⁻, NH₄⁺, биоразлагаемых органических веществ (S) и медленно биоразлагаемого субстрата (Xs) в сточных водах в реакторе непрерывного действия (РНД)
Plug-flow up-flow reactor
In a PFUR, a huge drop (>80%) in effluent NH₄⁺ concentrations could be expected during the first few days in the lower compartment, while fairly low concentrations could be expected in the other compartments (Fig. 3, a). The effluent concentrations of Xs could be expected to stabilise at approximately 70, 20, 5, 0 and 0 mg-COD/L in lower (first), second, third, fourth and fifth, respectively (Fig. 3, b). The effluent concentrations of S could be expected to remain close to zero in all compartments in the course of reactor operation (Fig. 3, d). In the other hand, the effluent concentrations of NO₂⁻ could increase in the lower compartment during the initial phase of reactor operation before gradually decreasing in synchrony with the decrease in NH₄⁺ concentrations (Fig. 3, a, c). This observation could be linked to the abundance of AOB which oxidise NH₄⁺ to NO₂⁻ (Fig. 5, a), while the eventual decline could be linked to the abundance of AMX which utilise it as electron acceptor as it oxidise residual NH₄⁺ to nitrogen gas [24, 31] (Fig. 5, c). The effluent concentrations of NO₃⁻ could remain low in the first compartment, but its concentrations could be high in the second compartment at the period when the effluent concentrations of NO₂⁻ would be expected to be high in the lower compartment (Fig. 3, c, e). This could be linked to NOB abundance in the reactor (Fig. 5, b).
BACTERIAL GROWTH
Continuously stirred tank reactor
Shifts in bacterial communities were predicted to occur in CSTR in the course of reactor operation (Fig. 4). HET abundance was predicted to be dominant during the first few days (<25 days) following reactor inoculation (Fig. 4). However, after this period, model-predicted results indicate that AOB abundance will increase leading to its dominance for approximately 120 days, following which the HET could once again dominate until the end of the study. AMX growth could increase in synchrony with that of HET, an indication that the concentration of a common compound key to their metabolic compound, possibly NO₂⁻, could influence their growth. Indeed, during this period, NO₂⁻ effluent concentrations could be high (Fig. 2).
Fig. 3. Effluent concentrations of NH₄⁺ (a), slowly degradable substrate (Xs) (b), NO₂⁻ (c), readily degradable substrate (S) (d) and NO₃⁻ (e) in PFUR
Рис 3. Концентрации NH₄⁺(a), медленно биоразлагаемого субстрата (Xs) (b), NO₂⁻(c), биоразлагаемых органических веществ (S) (d), NO₃⁻(e) в сточных водах в РИВВП
NOB abundance could steadily decrease in the reactor following inoculation, possibly due to stiff competition for NO₂⁻ from both HET and AMX (Fig. 4). However, under the given aeration control strategy and the substrate conditions, NOB abundance in CSTR could remain below 0.6 mg-COD/L, while that of AMX could gradually increase in the reactor before its abundance stabilises in the reactor. AOB and HET compete for oxygen [8], and their growth could only stabilise when the conditions favour co-existence (Fig. 4). Some HET are facultative anaerobes, and their growth could be influenced by the presence of S, the substrate, and the electron acceptors (oxygen, NO₂⁻ or NO₃⁻) [32]. The co-removal of nitrogen and carbon is important as both compounds have detrimental effects on the environment [33].
Plug-flow up-flow reactor
Variation in AOB, NOB, AMX and HET abundance could also be expected in a PFUR over time (Fig. 5, a–d). AOB growth could be highest in the lower compartment receiving fresh feed, and lowest in the last compartment, from which the effluent is withdrawn (Fig. 5, a). Similar trends could also be observed in relation to AMX and HET abundance (Fig. 5, c, d). However, a different trend was observed in relation to the relative NOB abundance in the different compartments; the highest abundance was predicted to occur in the second compartment, and the lowest in the first compartment (Fig. 5, b). The second and third highest NOB abundance was predicted to occur in the third and fourth compartments, respectively (Fig. 5, b).
Fig. 4. AOB, AMX, NOB and HET abundance in CSTR
Рис. 4. Множество AOB, AMX, NOB и HET в РНД
A huge variation in AOB and HET abundance was predicted between the first compartment and the other compartments, with over 50% drop in their abundance in the second compartment compared to the first (Fig. 5, a, d). In contrast, AMX abundance in the last compartment was predicted to be only about 69% of the abundance in the first compartment (Fig. 5, c). NOB abundance was predicted as well to vary greatly in the different compartments; over 99% increase in the abundance was predicted to occur between the first and second compartment, and over 95% drop was predicted between the second and last compartments in the course of study (Fig. 5, b). However, NOB abundance could be much lower than that of the other bacteria (Fig. 5, b), possibly driven by the competition for NO₂⁻ [10]. Therefore, there could be better suppression of NOB in CSTR than in PFUR (Fig. 4; 5, b).
Overall, bacterial growth in the plug-flow up-flow system followed the same trend as that in the CSTR (Fig. 4, 5). This is an indication that the impact of substrate gradient is minimal, though present as was evident with regards to AMX, AOB, NOB and HET growth. Their abundance varied with the reactor height (compartments). This is the first study focusing on the impact of substrate gradient in PN/A systems. The findings herein could therefore be used for reference in future investigations studying similar phenomena through experimentation.
Fig. 5. AOB, AMX, NOB and HET abundance in different compartments in PFUR
Рис. 5. Множество AOB, AMX, NOB и HET в разных разделениях РИВВП
Conclusion
The substrate gradient impact on process performance and AOB, NOB, AMX and HET growth was investigated in CSTR and PFUR. Mixing in CSTR could ensure the substrate homogeneous distribution, while plug-flow conditions in PFUR could lead to the existence of substrate gradient. Higher concentrations of substrate in the lower chambers of PFUR could favour faster growth of AOB, AMX and HET, while th NOB growth of could be low in the lower chamber as the fresh feed does not contain NO₂⁻, which is a key substrate for these bacteria. Mixing in CSTR could allow better NOB suppression since the concentration of key substrate is distributed homogeneously, and hence average in concentration, while variation of NO₂⁻ with reactor height in PFUR could create regions of high NO₂⁻ concentrations leading to the variation of the NOB abundance with reactor height. AMX abundance could only increase in both CSTR and PFUR after AOB abundance stabilises, since AMX depends on AOB to generate NO₂⁻, which acts as electron acceptor in the anammox process. HET growth on COD in anammox-mediated reactors is in agreement with the modelling results. In sum, the reported findings in literature that AMX could establish in reactors after the stabilisation of AOB community is in line with the findings from this study.
***
Acknowledgement: We appreciate Vaal University of Technology for financially support of this study.
Благодарности: Авторы благодарят Технологический университет Ваала за финансовую поддержку исследования.
Об авторах
Кипротич Косгей
Технологический университет Ваала
Автор, ответственный за переписку.
Email: kiproticharapkosgey@gmail.com
ORCID iD: 0000-0003-0913-3881
PhD, постдокторант, кафедра химической инженерии, инженерный факультет
ЮАР, 1900, Вандербейлпарк, бульвар Андрис ПотгитерСамми Лэвис Киамби
Технологический университет Ваала
Email: sammyk1@vut.ac.za
ORCID iD: 0000-0003-2586-369X
PhD, профессор, кафедра химической инженерии, инженерный факультет
Россия, 1900, Вандербейлпарк, бульвар Андрис ПотгитерСписок литературы
- Rahimi S., Modin O., Mijakovic I. Technologies for biological removal and recovery of nitrogen from wastewater. Biotechnology Advances, 2020, vol. 43, p. 107570.
- Chen H. A critical review on microbial ecology in the novel biological nitrogen removal process: dynamic balance of complex functional microbes for nitrogen removal. Science of The Total Environment, 2023, vol. 857, p. 159462.
- Cao S. In a quest for high-efficiency mainstream partial nitritation-anammox (PN/A) implementation: one-stage or two-stage? Science of The Total Environment, 2023, vol. 883, p. 163540.
- Gomes A.I. Multistage treatment technology for leachate from mature urban landfill: full scale operation performance and challenges. Chemical Engineering Journal, 2019, vol. 376, p. 120573.
- Zhang F. High-efficient nitrogen removal from mature landfill leachate and waste activated sludge (WAS) reduction via partial nitrification and integrated fermentation-denitritation process (PNIFD). Water Research, 2019, vol. 160, pp. 394–404.
- Al-Hazmi H.E. Combined partial denitrification/anammox process for nitrogen removal in wastewater treatment. Journal of Environmental Chemical Engineering, 2023, vol. 11 (1), p. 108978.
- Le T. Nitrate residual as a key parameter to efficiently control partial denitrification coupling with anammox. Water Environment Research, 2019, vol. 91 (11), pp. 1455–1465.
- Li X. Status, challenges, and perspectives of mainstream nitritation–anammox for wastewater treatment. Water Environment Research, 2018, vol. 90 (7), pp. 634–649.
- Bowden G., Tsuchihashi R., Stensel H.D.. Technologies for Sidestream Nitrogen Removal. IWA Publishing, 2016, vol. 15, 110 p.
- Regmi P. Control of aeration, aerobic SRT and COD input for mainstream nitritation/denitritation. Water Res, 2014, vol. 57, pp. 162–171.
- Agrawal S. The role of inoculum and reactor configuration for microbial community composition and dynamics in mainstream partial nitritation anammox reactors. MicrobiologyOpen, 2017, vol. 6 (4), p. e00456.
- Park H. Impact of inocula and growth mode on the molecular microbial ecology of anaerobic ammonia oxidation (anammox) bioreactor communities. Water Res, 2010, vol. 44 (17), pp. 5005–5013.
- Tao Y. Impact of reactor configuration on anammox process start-up: MBR versus SBR. Bioresource Technology, 2012, vol. 104, pp. 73–80.
- Wells G.F. Comparing the resistance, resilience, and stability of replicate moving bed biofilm and suspended growth combined nitritation-anammox reactors. Environmental Science & Technology, 2017, vol. 51 (9), pp. 5108–5117.
- Miao Y. Application of intermittent aeration in nitrogen removal process: development, advantages and mechanisms. Chemical Engineering Journal, 2022, vol. 430, p. 133184.
- Ni B.-J., Joss A., Yuan Z. Modeling nitrogen removal with partial nitritation and anammox in one floc-based sequencing batch reactor. Water Research, 2014, vol. 67, pp. 321–329.
- Henze M. A general model for single-sludge wastewater treatment systems. Water research, 1987, vol. 21 (5), pp. 505–515.
- He Y. Impact of soluble organic matter and particulate organic matter on anammox system: performance, microbial community and N2O production. Journal of Environmental Sciences, 2023, vol. 124, pp. 146–155.
- Trojanowicz K., Plaza E., Trela J. Model extension, calibration and validation of partial nitritation-anammox process in moving bed biofilm reactor (MBBR) for reject and mainstream wastewater. Environ Technol, 2017, vol. 40, pp. 1–22.
- Scott H.F. Elements of chemical reaction engineering. New Delhi, Prentice Hall, 2016. 970 p.
- Hellinga C., Van Loosdrecht M.C.M., Heijnen J.J. Model based design of a novel process for nitrogen removal from concentrated flows. Mathematical and Computer Modelling of Dynamical Systems, 1999, vol. 5 (4), pp. 351–371.
- Rodríguez-Gómez R. A model to describe the performance of the UASB reactor. Biodegradation, 2014, vol. 25 (2), pp. 239–251.
- Heijnen J.J., Van't Riet K. Mass transfer, mixing and heat transfer phenomena in low viscosity bubble column reactors. The Chemical Engineering Journal, 1984, vol. 28 (2), pp. B21–B42.
- Qian Y. Startup and performance of a novel single-stage partial nitritation/anammox system for reject water treatment. Bioresource Technology, 2021, vol. 321, p. 124432.
- Strous M. The sequencing batch reactor as a powerful tool for the study of slowly growing anaerobic ammonium-oxidizing microorganisms. Applied Microbiology and Biotechnology, 1998, vol. 50 (5), pp. 589–596.
- Wang S. Start-up of single-stage partial nitritation-anammox micro-granules system: Performance and microbial community dynamics. Environmental Research, 2020, vol. 186, p. 109581.
- Du R. Efficient partial-denitrification/anammox (PD/A) process through gas-mixing strategy: System evaluation and microbial analysis. Bioresource Technology, 2020, vol. 300, p. 122675.
- Lackner S. Full-scale partial nitritation/anammox experiences – an application survey. Water Research, 2014, vol. 55, pp. 292–303.
- Liu J. Nitrogen removal and performance deterioration in digested effluent treatment by partial nitrification-anammox (PNA) process based on aeration sedimentation integrated microaerobic reactor (ASIMR). Chemical Engineering Journal, 2024, vol. 481, p. 148310.
- Al-Asheh S., Bagheri M., Aidan A. Membrane bioreactor for wastewater treatment: a review. Case Studies in Chemical and Environmental Engineering, 2021, vol. 4, p. 100109.
- Lackner S. Start-up of a full-scale deammonification SBR-treating effluent from digested sludge dewatering. Water Science and Technology, 2014, vol. 71 (4), pp. 553–559.
- André A.C., Debande L., Marteyn B.S. The selective advantage of facultative anaerobes relies on their unique ability to cope with changing oxygen levels during infection. Cellular Microbiology, 2021, vol. 23 (8), p. e13338.
- Greyson J.C. Carbon, nitrogen, and sulfur pollutants and their determination in air and water. New York, CRC Press, 2020. 338 p.
Дополнительные файлы








