Quinoline impact on composition, structure and aggregative stability of asphaltenes from heavy oil of different chemical types
- Authors: Korneev D.S.1, Savchenko A.S.1, Butyrin R.I.1,2, Kulkov M.G.2, Pevneva G.S.3
-
Affiliations:
- Yugra State University
- V.I. Shpilman Research and Analytical Center for the Rational Use of the Subsoil
- Institute of Petroleum Chemistry of Siberian Branch of the Russian Academy of Sciences
- Issue: Vol 335, No 12 (2024)
- Pages: 138-148
- Section: Articles
- URL: https://ogarev-online.ru/2500-1019/article/view/285867
- DOI: https://doi.org/10.18799/24131830/2024/12/4588
- ID: 285867
Cite item
Full Text
Abstract
Relevance. The need to establish the true mechanisms of the formation of supramolecular structures in petroleum dispersed systems. It is important to identify the role of individual functional groups in asphaltene aggregation. This will help develop effective ways to prevent sediment formation in process equipment during production, transportation and processing of heavy oils. Aim. To study the effect of quinoline on the composition, structure and aggregative stability of asphaltenes from heavy oils of various chemical types. Objects. Heavy oils from the Zyuzeevskoe field and the Usinskoe field; model petroleum systems with a basic nitrogen content of 1.0 to 3.0 wt %; asphaltenes of the original and model petroleum systems. Methods. Liquid adsorption chromatography, gas chromatography-mass spectrometry, potentiometric titration, elemental analysis, cryoscopy in naphthalene, 1H NMR spectroscopy, structural group analysis, spectrophotometry. Results. With an increase in Nbas concentration in an petroleum system to 3 wt %, the content of asphaltenes decreases regardless of the type of petroleum system. It has been established that quinoline is actively involved in the formation of supramolecular structures of naphthenic type oil. With an increase in the Nbas content in the naphthenic petroleum system to 3 wt % the molecular weight of asphaltenes increases 1.5 times with a 2-fold increase in the proportion of basic nitrogen in their composition. This is accompanied by an increase in the proportion of naphthenoaromatic structure in the average asphaltene molecule. The structure of asphaltenes isolated from model methane-type petroleum systems, on the contrary, is enriched in alkyl fragments. It was established that the presence of quinoline in asphaltenes of heavy oils as a coprecipitated component significantly reduces their aggregative stability. With an increase in the molecular weight of asphaltenes in naphthenic petroleum systems to 2000 amu. and the proportion of basic nitrogen up to 2.69 wt % the rate of their aggregation before precipitation is reduced by 5–6 times. The aggregative stability of methane oil asphaltenes decreases when Nbas content in their composition is higher than 1.9 wt % and does not depend directly on their molecular weight.
Keywords
Full Text
Введение
Асфальтены являются смесью наиболее полярных и высокомолекулярных соединений нефтяных флюидов, нерастворимы в н-алканах, но растворимы в ароматических растворителях, таких как бензол, толуол [1]. Такое ёмкое определение асфальтенов не отражает многообразия их молекулярной структуры [2]. На сегодняшний день приняты две модели молекулярного строения асфальтенов: «континент» – одно крупное нафтеноароматическое ядро, обрамленное короткими алкильными заместителями [3], и «архипелаг» – несколько нафтеноароматических систем из 2–4 колец, связанных длинными алифатическими цепочками, серо- и кислородсодержащими мостиками [4, 5]. Именно особенности химической природы и сложная структурная организация асфальтенов определяют их важнейшее свойство – склонность к самоассоциации и агрегированию с образованием крупных надмолекулярных структур [6]. Агрегация асфальтенов является основной причиной ряда проблем в добыче тяжелых нефтей, в том числе: аномальное повышение вязкости флюида [7], адсорбция на поверхности породы и изменение ее смачиваемости, а также блокировка пор коллекторов и скважин крупными асфальтеновыми частицами [8, 9], что значительно снижает коэффициент нефтеотдачи. Для снижения агрегации асфальтенов и предотвращения связанных с ними нефтепромысловых осложнений необходимо глубокое понимание механизмов супрамолекулярной сборки асфальтеновых молекул. Многие годы основной движущей силой агрегации асфальтенов считались π-π взаимодействия между ароматическими ядрами с образованием слоистых пачек (модель Йена–Маллинса) [10, 11]. Прочие межмолекулярные взаимодействия редко рассматривались применительно к асфальтенам, за исключением сил Ван-дер-Ваальса, способствующих ассоциации через боковые алифатические цепочки [12, 13]. С развитием представлений о надмолекулярной структуре асфальтенов в описании сборки асфальтеновых агрегатов все чаще отражаются кислотно-основные взаимодействия, водородные связи, металлокомплексы, клатраты т. п. [14]. Методом химической визуализации показано, что образование асфальтеновых агрегатов в растворах при добавлении н-гептана происходит с участием как ароматических фрагментов, так и сульфоксидных, эфирных функциональных групп, пиридиновых и пиррольных циклов [15]. Тем не менее весьма затруднительно установить роль различных гетероатомных фрагментов и функциональных групп в многогранных сложных процессах формирования асфальтеновых агрегатов и кластеров. В связи с этим крайне актуальными остаются исследования механизмов агрегации асфальтенов [16–18]. Процессы агрегации асфальтенов с образованием ди-, тримеров, крупных флоккул в значительной степени зависят от внешних условий (температуры, давления и т. д.), однако решающее влияние на механизм сборки асфальтенов оказывает их химический состав и сложная структурная организация [10, 19, 20], в том числе серо-, азот-, кислородсодержащие фрагменты [21]. В последние годы активно изучается влияние гетероатомов на пространственное строение асфальтеновых молекул, их межмолекулярные взаимодействия и агрегацию [21–23], однако данный вопрос вызывает много противоречий и до сих пор остается открытым [24]. Так, в ряде исследований показано, что молекулы, содержащие гетероатомы, демонстрируют более высокую склонность к самоассоциации, а природа гетероэлемента и его положение в макромолекуле влияют на механизм сборки агрегатов [25–27]. По другим данным, напротив, присутствие гетероатомов в молекулярной структуре асфальтенов не играет существенной роли при образовании надмолекулярных структур [28, 29]. Возникающие противоречия во многом обусловлены тем, что результаты исследований, как правило, получены с использованием теоретических расчетов методами молекулярной динамики и теории функционала плотности на различных экспериментальных моделях. Кроме того, теоретические модельные структуры асфальтенов не способны отразить всего многообразия асфальтеновой фракции и не учитывают многокомпонентный состав нефтяной дисперсионной среды, в которой находятся асфальтеновые молекулы. Таким образом, для развития комплексного представления о роли гетероатомных фрагментов в процессах агрегации асфальтенов необходимы дополнительные натурные исследования в этой области.
Одним из важнейших факторов, влияющих на агрегацию асфальтенов, является химическая природа гетероциклических структур, в том числе азотсодержащих ароматических систем, которые, как правило, представлены в нефти гомологами пиридина, хинолина, бензо- и дибензохинолинов [30, 31] и имеют склонность к межмолекулярным взаимодействиям. Известно, что выделенные из нефти азотистые основания при добавлении к нефтяной дисперсной системе способствуют формированию более рыхлых разупорядоченных по своей структуре агрегатов и кластеров, что повышает содержание асфальтенов в системе [32, 33]. Кроме того, на примере хинолина показано, что увеличение концентрации основного азота в нефтяной дисперсной системе снижает ее коллоидную стабильность и повышает скорость агрегации и осаждения асфальтенов [34]. Однако остается неизученным вопрос влияния хинолина на состав и структурную организацию асфальтенов, что определяет механизм их агрегации и скорость образования надмолекулярных структур с последующим осаждением. Кроме того, важное значение в процессах взаимодействия хинолина и асфальтенов может иметь их химическая природа, которая во многом определяется составом исходной нефтяной системы.
Целью работы является изучение влияния хинолина на состав, структуру и агрегативную устойчивость асфальтенов тяжелых нефтей различного химического типа.
Экспериментальная часть
В качестве объектов исследования использовались тяжелые нефти Зюзеевского месторождения (Зюзеевская нефть – ЗН, ρ20=940,0 кг/м3, υ20=742,9 мм2/с, ωN=0,8 %), Усинского месторождения (Усинская нефть – УН, ρ20=966,7 кг/м3, υ20=3852,4 мм2/с, ωN=0,6 %), модельные нефтяные системы с содержанием основного азота от 1,0 до 3,0 мас. %, приготовленные путём смешения исходных нефтей и хинолина (Sigma-Aldrich, чистота 98,9 %), а также асфальтены исходных и модельных нефтяных систем. При приготовлении модельных нефтяных систем соотношение исходных нефтей и хинолина подбиралось так, чтобы расчетное содержание азота в смесях составляло 1, 2, 3 мас. %. Полученные смеси гомогенизировались с использованием магнитной мешалки при температуре 40 °С в течение 8 часов.
Определение вещественного состава нефтяных систем проводилось по стандартной методике путем добавления к навеске образца (3 г) н-гексана в 40-кратном массовом избытке для осаждения асфальтенов. Далее раствор фильтровался, после чего асфальтеновый осадок очищался н-гексаном от мальтенов в аппарате Сокслета в течение 18 часов и сушился до постоянной массы. Мальтены разделялись на масла и смолы методом жидкостной адсорбционной хроматографии на силикагеле (АСКГ фр. 0,2-0,5 мм). Масла элюировались н-гексаном, смолы – смесью этанол-бензол в соотношении 1:1, после чего сушились до постоянного веса.
Анализ индивидуального состава масел выполнялся с помощью хромато-масс-спектрометри-ческого комплекса: газовый хроматограф Trace 1310 ‒ масс-спектрометрический детектор TSQ8000EVO (Thermo Fisher Scientific). Анализ выполнялся в режиме программирования температуры от 60 °С, изотерма 1 мин, далее нагрев до 300 °С со скоростью нагрева 4 °С/мин, изотерма 40 мин, температура инжектора 310 °С, температура трансферной линии хроматограф-масс-спектрометр 300 °С, постоянная скорость потока газа-носителя (гелий) 1 мл/мин, ввод пробы в испаритель в объеме 1,0 мкл. Ионизация электронным ударом с энергией 70 эВ. Режим полного сканирования в диапазоне масс 45–550 а.е.м. Сбор и обработка данных проводилась с применением программного обеспечения Xcalibur 4.0.
Определение содержания основного азота (Nосн) в асфальтенах проводилось методом потенциометрического титрования с помощью потенциометра Metler Toledo S80_K. Навеска образца составляла 0,05 г. Навеску растворяли в 5 мл толуола (бензола), добавляли 20–25 мл уксусной кислоты. В качестве титранта применяли уксуснокислый раствор хлорной кислоты. Расчет определения содержания Nосн в асфальтенах в мас. % производился по формуле:
,
KHClO4 – концентрация титранта, моль/л; Vk – количество титранта, пошедшее на титрование, мл; m – масса нефтепродукта, г.
Структурно-групповой анализ асфальтенов проводился с использованием данных об их элементном составе, средней молекулярной массе и спектроскопии ЯМР 1Н. Методика расчета структурно-групповых параметров асфальтенов приведена в [35]. Методом структурно-группового анализа рассчитаны следующие усредненные структурные параметры асфальтенов:
fa, fн, fп – относительное содержание атомов углерода в ароматических, нафтеновых и парафиновых структурных фрагментах соответственно;
σa – степень замещенности ароматических колец.
Молекулярные массы (ММ) асфальтенов измерялись методом криоскопии в нафталине. Концентрация образца в нафталине находилась в диапазоне 0,5–0,7 мас. %. Относительная ошибка определения молекулярных масс составляла не более 5,0 отн. %.
Элементный состав асфальтенов определялся с использованием CHNS-анализатора Vario EL Cube методом прямого сожжения при температуре 1200 °С. Абсолютная ошибка не превышала ±0,1 % для каждого определяемого элемента. Содержание кислорода оценивали по разнице между 100 % и суммарным содержанием элементов С, Н, N, S.
Спектры ЯМР 1Н асфальтенов получены с использованием Фурье-спектрометра Bruker AVANCE-AV-300 с рабочей частотой 300 МГц. В процессе пробоподготовки образцы растворялись в CDCl3; концентрация веществ в растворе составляла 1 мас. %. В качестве внутреннего стандарта использовался гексаметилдисилоксан.
Агрегативная устойчивость асфальтенов оценивалась спектрофотометрическим методом с использованием прибора Perkin Elmer Lambda 950. Анализ проводился в течение 7200 с (шаг – 5 с). Толщина кюветы составляла 10 мм, длина волны – 620 нм. Раствор асфальтенов в хлороформе 0,1 мас. % смешивался в кювете с н-гексаном в соотношении 1:3, и анализ проводился по вышеописанному режиму.
Результаты и их обсуждение
Анализ свойств исходных нефтей показал, что УН характеризуется повышенной плотностью относительно ЗН, а вязкость УН в 5 раз выше, чем у ЗН. Существенные различия физико-химических свойств исходных нефтей определяются их составом. Результаты анализа состава масел методом хромато-масс-спектрометрии (рис. 1) позволяют отнести ЗН к метановому, а УН к нафтеновому типу нефти.
Различия состава исходных нефтей обусловливают отличительные особенности состава и структуры асфальтенов. Использование в качестве объектов исследования существенно различающиеся по составу и физико-химическим свойствам нефтяные системы позволяет оценить влияние дисперсионной среды на состав и структурную организацию асфальтенов в присутствии различных концентраций хинолина.
Рис. 1. Хроматограммы фракций насыщенных углеводородов ЗН (а) и УН (б) по полному ионному току
Fig. 1. GC-MS chromatograms of saturated hydrocarbons from Zyuzeevskaya oil (ZO) (a) and Usinsk oil (UO) (b) by total ion current
По данным табл. 1 видно, что изменение состава нефтей при добавлении хинолина носит схожий характер независимо от их типа. С увеличением в нефтяной системе концентрации Nосн до 3 мас. % содержание асфальтенов снижается на 3 мас. % как в случае с ЗН, так и с УН. Вероятно, основной причиной является разбавление исходных нефтей хинолином, однако не исключено участие хинолина в образовании надмолекулярных структур, что может влиять на количество асфальтенового осадка. Содержание смолистых веществ, напротив, возрастает на 10–11 мас. % за счет накопления хинолина во фракции смол. Методом хромато-масс-спектрометрии доказано отсутствие хинолина в составе масел нефтяных систем, что позволяет сделать вывод о его полноценной аккумуляции в составе смол и возможном частичном соосаждении в составе асфальтенов.
Для оценки влияния хинолина на процессы самосборки асфальтенов при их осаждении н-гексаном проведен анализ состава и структуры асфальтенов, выделенных из исходных нефтей и модельных нефтяных систем (табл. 2). По данным структурно-группового состава видно, что хинолин активно участвует в процессах образования надмолекулярных структур, изменяя состав и структуру усредненной молекулы асфальтенов. Так, с увеличением в метановой ЗН содержания Nосн снижается молекулярная масса (ММ) асфальтенов. При этом наименьшей ММ характеризуются асфальтены ЗН1 (1130 а.е.м.), тогда как средняя молекулярная масса АЗН2 и АЗН3 составляет 1300–1350 а.е.м.
Таблица 1. Состав исходных и модельных нефтяных систем
Table 1. Composition of initial and model petroleum systems
Образец Sample | Содержание, мас. %/Content, wt % | ||
Масла Hydrocarbons | Смолы Resins | Асфальтены Asphaltenes | |
ЗН/ZO | 64,69 | 24,06 | 11,25 |
ЗН1/ZO1 | 63,70 | 25,43 | 10,87 |
ЗН2/ZO2 | 60,70 | 29,51 | 9,79 |
ЗН3/ZO3 | 57,40 | 34,13 | 8,47 |
УН/UO | 57,72 | 30,67 | 11,61 |
УН1/UO1 | 58,11 | 31,03 | 10,86 |
УН2/UO2 | 54,59 | 35,48 | 9,93 |
УН3/UO3 | 49,55 | 41,73 | 8,72 |
ЗН1, ЗН2, ЗН3 – модельные нефтяные системы с содержанием Nосн 1, 2 и 3 % соответственно, приготовленные смешением зюзеевской нефти и хинолина; УН1, УН2, УН3 – модельные нефтяные системы с содержанием Nосн 1, 2 и 3 % соответственно, приготовленные смешением усинской нефти и хинолина.
ZO1, ZO2, ZO3 – model petroleum systems containing 1, 2 and 3 % of Nbas, respectively, prepared by mixing Zyuzeevskaya oil and quinoline; UO1, UO2, UO3 – model petroleum systems containing 1, 2 and 3 % of Nbas, respectively, prepared by mixing Usinsk oil and quinoline.
Снижение молекулярной массы асфальтенов может быть связано с соосаждением хинолина в составе асфальтенов при их выделении из нефтяных систем, а также вовлечением в состав асфальтенового осадка ряда низкомолекулярных соединений из дисперсионной среды за счет дополнительных межмолекулярных взаимодействий, обусловленных присутствием хинолина. В случае с нафтеновой УН увеличение содержания Nосн в системе, напротив, приводит к планомерному значительному увеличению ММ асфальтенов с 1368 до 2018 а.е.м. По всей видимости, при увеличении в дисперсионной среде концентрации хинолина значительно изменяется состав макромолекул, участвующих в формировании асфальтеновых агрегатов. Вероятно, в химически подобной ему нафтеноароматической среде хинолин стабилизирует первичные агрегаты асфальтенов, образованные, как правило, наиболее полярными высокомолекулярными соединениями со структурой типа «континет». Хинолиновый сольватный слой препятствует включению в агрегаты менее полярных и высокомолекулярных соединений, которые остаются в составе дисперсионной среды (мальтенов). Согласно данному предположению, с увеличением в УН концентрации Nосн размер первичных агрегатов асфальтенов, образующихся при добавлении н-гексана, снижается, а ММ соединений, из которых формируется агрегат, возрастает. Следует еще раз отметить, что данный эффект не наблюдается для зюзеевской нефти метанового типа. Таким образом, определяющую роль в данном процессе играет тип нефти.
Таблица 2. Структурно-групповой анализ асфальтенов
Table 2. Structural group analysis of asphaltenes
Параметры Parameters | АЗН AZO | АЗН1 AZO1 | АЗН2 AZO2 | АЗН3 AZO3 | АУН AUO | АУН1 AUO1 | АУН2 AUO2 | АУН3 AUO3 |
ММ, а.е.м. MW, a.m.u. | 1436 | 1130 | 1313 | 1363 | 1368 | 1640 | 1725 | 2018 |
Элементный состав, мас. %/Elemental composition, wt % | ||||||||
C | 78,7 | 79,33 | 80,09 | 79,87 | 82,17 | 82,89 | 82,82 | 82,91 |
H | 7,7 | 7,7 | 7,8 | 7,75 | 7,96 | 8,04 | 7,88 | 7,91 |
Nосн | 1,77 | 1,81 | 1,89 | 2,31 | 1,39 | 1,72 | 2,14 | 2,69 |
S | 7,89 | 7,65 | 7,5 | 7,6 | 4,18 | 3,98 | 3,89 | 3,80 |
O | 3,94 | 3,63 | 2,72 | 2,47 | 4,3 | 3,37 | 3,27 | 2,69 |
Распределение атомов углерода по структурным фрагментам, % Distribution of carbon atoms among structural fragments, % | ||||||||
fa | 47,0 | 47,6 | 47,1 | 47,5 | 47,3 | 47,6 | 48,6 | 49,2 |
fн | 25,2 | 24,0 | 23,1 | 23,8 | 19,4 | 20,7 | 21,6 | 21,3 |
fп | 27,8 | 28,4 | 29,8 | 28,7 | 33,3 | 31,7 | 29,8 | 29,5 |
Степень замещенности ароматических колец Degree of substitution of aromatic rings | ||||||||
σa | 0,56 | 0,54 | 0,54 | 0,54 | 0,51 | 0,51 | 0,49 | 0,48 |
АЗН, АЗН1, АЗН2, АЗН3 – асфальтены, выделенные из ЗН и модельных нефтяных систем ЗН1, ЗН2, ЗН3 соответственно; АУН, АУН1, АУН2, АУН3 – асфальтены, выделенные из УН и модельных нефтяных систем УН1, УН2, УН3 соответственно.
AZO, AZO1, AZO2, AZO3 – asphaltenes from ZO and model petroleum systems respectively; AUO, AUO1, AUO2, AUO3 – asphaltenes from UO and model petroleum systems respectively.
Наряду с изменением ММ асфальтенов несколько изменяется их элементный состав. Так, с увеличением содержания хинолина в нефтяных системах планомерно возрастает доля Nосн в асфальтенах: на 0,5 мас. % для АЗН и на 1,3 мас. % для АУН. Это подтверждает участие хинолина в образовании надмолекулярных структур и его соосаждение в асфальтеновой фракции. При этом следует отметить, что хинолин в большей степени участвует в формировании агрегатов асфальтенов нефтяных систем нафтенового типа, в связи с чем степень его соосаждения выше. Содержание серы и кислорода в асфальтенах снижается при увеличении концентрации хинолина в нефтяных системах, из которых они выделены. По распределению атомов углерода в структурных фрагментах асфальтенов видно, что в ряду АЗН→АЗН1→АЗН2→АЗН3 несколько снижается доля нафтенового углерода и возрастает доля парафинового углерода. При этом фактор ароматичности асфальтенов ЗН и модельных нефтяных систем, приготовленных на ее основе, практически не изменяется. Это свидетельствует о том, что хинолин способствует вовлечению в процессы агрегации ароматических компонентов с более богатым алкильным обрамлением. Учитывая химический состав и метановый тип нефти Зюзеевского месторождения, можно предположить, что взаимодействие хинолина с компонентами нефтяных дисперсных систем происходит посредством донорно-акцепторного механизма за счет формирования водородных связей, комплексов с переносом заряда и т. п.
В случае с нафтеновой усинской нефтью закономерности изменения структуры асфальтенов имеют иной характер. Так, в ряду АУН→АУН1→АУН2→АУН3 возрастает фактор ароматичности и доля нафтенового углерода со снижением содержания атомов углерода в парафиновых фрагментах. Полученные данные подтверждают вышеизложенное предположение о том, что с увеличением в УН содержания Nосн размер первичных агрегатов снижается, а соединения, участвующие в формировании агрегатов, представляют собой макромолекулы с наибольшей ММ, крупным нафтеноароматическим ядром и бедным алкильным обрамлением.
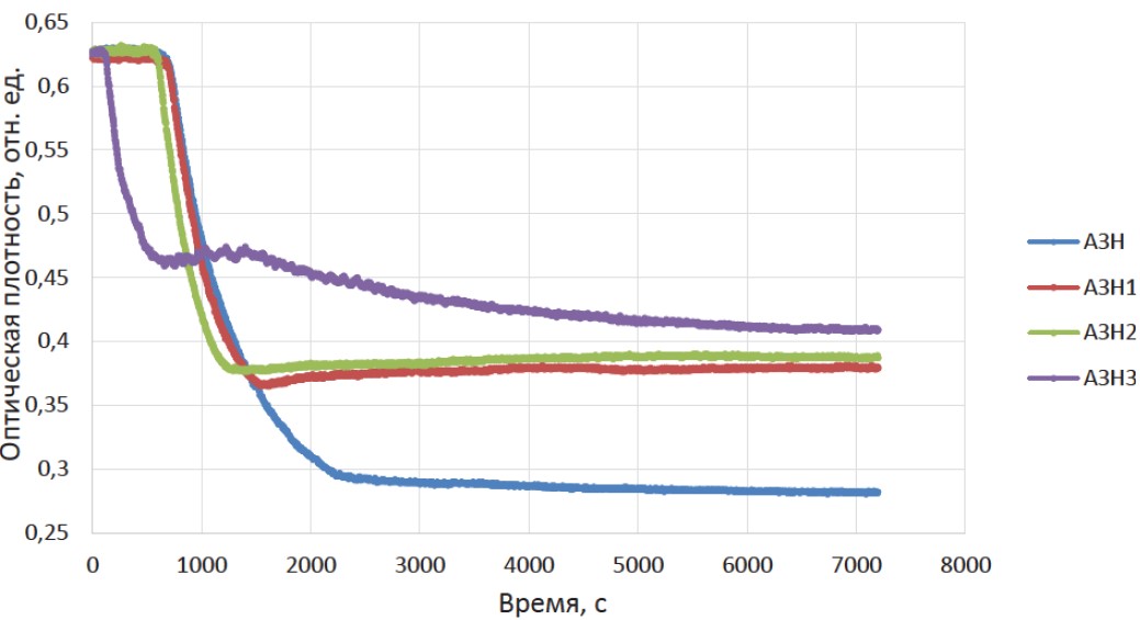
При оценке влияния структурно-группового состава на агрегативную устойчивость асфальтенов установлено, что скорость агрегации и седиментации асфальтенов в первую очередь коррелирует с их ММ и содержанием Nосн. Так, начало и скорость осаждения схожих по структурно-групповому составу АЗН и АЗН1 практически одинаковые (рис. 2), несмотря на существенные различия их ММ. С повышением в составе асфальтенов Nосн время до начала их седиментации сокращается и для АЗН3 составляет 130–150 секунд.
Рис. 2. Агрегативная устойчивость асфальтенов нефтяных систем на основе ЗН
Fig. 2. Aggregative stability of asphaltenes from petroleum systems based on ZO
Таким образом, агрегативная устойчивость асфальтенов метановой нефти снижается при увеличении в их составе Nосн, но не зависит напрямую от их молекулярной массы. Также следует отметить, что с увеличением в составе асфальтенов Nосн в процессе их агрегации возрастает количество мелкодисперсных частиц, способных находиться в растворе в стабильном состоянии. Об этом свидетельствуют значения минимальных оптических плотностей (плато) на кривых седиментации асфальтенов.
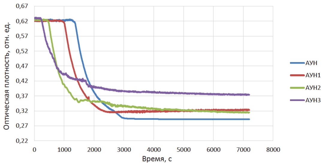
По данным, представленным на рис. 3, установлено, что агрегативная устойчивость асфальтенов нафтеновой нефти снижается при возрастании их средней ММ и увеличении в их составе Nосн. Так, в ряду АУН→АУН1→АУН2→АУН3 начало седиментации последовательно снижается на 300→500→250 секунд.
Рис. 3. Агрегативная устойчивость асфальтенов нефтяных систем на основе УН
Fig. 3. Aggregative stability of asphaltenes from petroleum systems based on UO
Заключение
В результате исследования проведена оценка влияния хинолина как компонента дисперсионной среды на состав, структуру и агрегативную устойчивость асфальтенов тяжелых нефтей различного химического типа. Установлено, что с увеличением в нефтяной системе концентрации Nосн до 3 мас. % содержание асфальтенов снижается независимо от типа нефтяной системы. Это обусловлено разбавлением исходных нефтей хинолином и его участием в образовании надмолекулярных структур. При этом содержание смолистых веществ возрастает на 10–11 мас. % в связи с куммуляцией хинолина во фракции смол при хроматографическом разделении мальтенов.
По данным структурно-группового состава асфальтенов установлено, что хинолин активно участвует в процессах формирования надмолекулярных структур нефти нафтенового типа. На это указывает возрастание доли Nосн в 1,5–2 раза в асфальтенах, выделенных из модельных нефтяных систем на основе УН. С увеличением содержания Nосн в нафтеновой нефтяной системе увеличивается ММ асфальтенов с 1368 до 2018 а.е.м. Это сопровождается возрастанием фактора ароматичности и доли нафтенового углерода со снижением содержания атомов углерода в парафиновых фрагментах асфальтенов. Предполагается, что молекулы хинолина стабилизируют первичные агрегаты асфальтенов, сформированные из наиболее высокомолекулярных соединений структуры типа «континент», что препятствует включению в агрегаты низкомолекулярных компонентов с более развитым алкильным обрамлением.
Участие хинолина в процессах формирования надмолекулярных структур метановой нефти также наблюдается, однако это явление носит минорный характер и имеет некоторые особенности. С увеличением содержания хинолина в нефтяной системе метанового типа содержание Nосн в асфальтенах возрастает, но в меньшей степени по сравнению с асфальтенами из нафтеновых систем. Однако при этом структура асфальтенов метановых нефтяных систем обогащается алкильными фрагментами со снижением доли нафтенового углерода. Это обусловлено активным вовлечением компонентов дисперсионной среды в формирование асфальтеновых агрегатов.
Установлено, что наличие в асфальтенах тяжелых нефтей хинолина в качестве соосажденного компонента значительно снижает их агрегативную стабильность. С увеличением в асфальтенах нафтеновых нефтяных систем ММ до 2000 а.е.м. и доли основного азота до 2,69 мас. % скорость их агрегации до начала осаждения снижается в 5–6 раз. Агрегативная устойчивость асфальтенов метановой нефти снижается при содержании в их составе Nосн выше 1,9 мас. % и не зависит напрямую от их молекулярной массы.
***
Благодарности: Работа выполнена при финансовой поддержке Российского научного фонда в рамках проекта № 22-73-00302.
Acknowledgements: The research was financially support by the Russian Science Foundation within the project no. 22-73-00302.
About the authors
Dmitry S. Korneev
Yugra State University
Author for correspondence.
Email: korneevds90@mail.ru
ORCID iD: 0000-0002-3398-5729
Cand. Sc., Associate Professor, Head of the Laboratory of Petroleum Chemistry
Russian Federation, 16, Chekhov street, Khanty-Mansiysk, 628012Alina S. Savchenko
Yugra State University
Email: lina_savchenko13@mail.ru
Master's Student
Russian Federation, 16, Chekhov street, Khanty-Mansiysk, 628012Roman I. Butyrin
Yugra State University; V.I. Shpilman Research and Analytical Center for the Rational Use of the Subsoil
Email: butyrinroman@mail.ru
Postgraduate Student, Leading Engineer
Russian Federation, 16, Chekhov street, Khanty-Mansiysk, 628012; 2, Studencheskaya street, Khanty-Mansiysk, 628007Mikhail G. Kulkov
V.I. Shpilman Research and Analytical Center for the Rational Use of the Subsoil
Email: mgk83@bk.ru
Head of the Laboratory of Chromatographic Research Methods
Russian Federation, 2, Studencheskaya street, Khanty-Mansiysk, 628007Galina S. Pevneva
Institute of Petroleum Chemistry of Siberian Branch of the Russian Academy of Sciences
Email: pevneva@ipc.tsc.ru
ORCID iD: 0000-0002-3539-392X
Cand. Sc., Head of the Laboratory of Hydrocarbons and Macromolecular Petroleum Compounds
Russian Federation, 4, Akademichesky avenue, Tomsk, 634055References
- Salenzadeh M., Husein M.M., Ghotbi C., Dabir B., Taghikhani V. In-depth characterization of light, medium and heavy oil asphaltenes as well as asphaltenes subfractions. Fuel, 2022, vol. 324, pp. 124525. DOI: https://doi.org/10.1016/j.fuel.2022.124525
- Groenzin H., Mullins O.C. Molecular size and structure of asphaltenes from various sources. Energy Fuels, 2000, vol. 14, no. 3, pp. 677–684. DOI: https://doi.org/10.1021/ef990225z
- Shuler B., Meyer G., Pena D., Mullins O.C., Gross L. Unraveling the molecular structures of asphaltenes by atomic force microscopy. J. Am. Chem. Soc, 2015, vol. 137, no. 31, pp. 9870–9876. DOI: https://doi.org/10.1021/jacs.5b04056
- Acevedo S., Castro A., Negrin J.G., Fernandez A., Escobar G., Piscitelli V., Delolme F., Dessalces G. Relations between asphaltene structures and their physical and chemical properties: the rosary-type structure. Energy Fuels, 2007, vol. 21, no. 4, pp. 2165–2175. DOI: https://doi.org/10.1021/ef070089v
- Sergun V.P., Cheshkova T.V., Sagachenko T.A., Min R.S. Structural units with sulfur and ether/ester bonds in molecules of high- and low-molecular-weight asphaltenes of USA heavy oil. Petroleum Chemistry, 2016, vol. 56, no. 1, pp. 10–15. (In Russ.) DOI: https://doi.org/10.1134/S0965544115060109
- McKenna A.M., Donald L.J., Fitzsimmons J.E., Juyal. P., Spicer V., Standing K.G., Marshall A.G., Rodgers R.P. Heavy petroleum composition. 3. Asphaltene aggregation. Energy Fuels, 2013, vol. 27, no. 3, pp. 1246–1256. DOI: https://doi.org/10.1021/ef3018578
- Li X., Chi P., Sun Q. Effects of asphaltene concentration and asphaltene agglomeration on viscosity. Fuel, 2019, vol. 255, pp. 115825. DOI: https://doi.org/10.1016/j.fuel.2019.115825
- Rogel E. Simulation of interactions in asphaltene aggregates. Energy Fuels, 2000, vol. 14, no. 3, pp. 566–574. DOI: https://doi.org/10.1021/ef990166p
- Javanbakht G., Sedghi M., Welch W., Goual L., Hoepfner M.P. Molecular polydispersity improves prediction of asphaltene aggregation. J. Mol. Liq, 2018, vol. 256, pp. 382–394. DOI: https://doi.org/10.1016/j.molliq.2018.02.051
- Mullins O.C. The modified Yen model. Energy Fuels, 2010, vol. 24, no 4, pp. 2179–2207. DOI: https://doi.org/10.1021/ef900975e
- Mullins O.C., Sabbah H., Eyssautier J., Pomerantz A.E., Barré L., Andrews A.B., Ruiz-Morales Y., Mostowfi F., McFarlane R., Goual L., Lepkowicz R., Cooper T., Orbulescu J., Leblanc R.M., Edwards J., Zare R.N. Advances in asphaltene science and the Yen-Mullins model. Energy Fuels, 2012, vol. 26, no. 7, pp. 3986–4003. DOI: https://doi.org/10.1021/ef300185p
- Rogel E. Studies on asphaltene aggregation via computational chemistry. Colloids Surf. A, 1995, vol. 104, no. 1, pp. 85–93. DOI: https://doi.org/10.1016/0927-7757(95)03234-5
- Sheremata J.M., Gray M.R., Dettman H.D., McCaffrey W.C. Quantitative molecular representation and sequential optimization of Athabasca asphaltenes. Energy Fuels, 2004, vol. 18, no. 5, pp. 1377–1384. DOI: https://doi.org/10.1021/ef049936+
- Gray M.R., Tykwinski R.R., Stryker J.M., Tan X. Supramolecular assembly model for aggregation of petroleum asphaltenes. Energy Fuels, 2011, vol. 25, no 7, pp. 3125–3134. DOI: https://doi.org/10.1021/ef200654p
- Gabrienko A.A., Lai C.H., Kazarian S.G. In situ chemical imaging of asphaltene precipitation from crude oil induced by n-heptane. Energy Fuels, 2014, vol. 28, no. 2, pp. 964–971. DOI: https://doi.org/10.1021/ef402255c
- Guzmán R., Ancheyta J., Trejo F., Rodríguez S. Methods for determining asphaltene stability in crude oils. Fuel, 2017, vol. 188, pp. 530–543. DOI: https://doi.org/10.1016/j.fuel.2016.10.012
- Gabrienko A.A., Morozov E.V., Subramani V., Martyanov O.N., Kazarian S.G. Chemical visualization of asphaltenes aggregation processes studied in situ with ATR-FTIR spectroscopic imaging and NMR imaging. J. Phys. Chem. C, 2015, vol. 119, no. 5, pp. 2646–2660. DOI: https://doi.org/10.1021/jp511891f
- Ganeeva Yu.M., Yusupova T.N., Romanov G.V. Asphaltene nano-aggregates: structure, phase transitions and effect on petroleum systems. Russ. Chem. Rev, 2011, vol. 80, no. 10, pp. 993. (In Russ.) DOI: https://doi.org/10.1070/RC2011v080n10ABEH004174
- Evdokimov I.N., Fesan A.A., Losev A.P. New answers to the optical interrogation of asphaltenes: monomers and primary aggregates from steady-state fluorescence studies. Energy Fuels, 2016, vol. 30, no. 6, pp. 4494–4503. DOI: https://doi.org/10.1021/acs.energyfuels.6b00027
- Smyshlyaeva K.I., Rudko V.A., Kuzmin K.A., Povarov V.G. Asphaltene genesis influence on the low-sulfur residual marine fuel sedimentation stability. Fuel, 2022, vol. 328, pp. 125291. DOI: https://doi.org/10.1016/j.fuel.2022.125291
- Silva H.S., Sodero A.C., Bouyssiere B., Carrier H., Korb J., Alfarra A., Vallverdu G., Bégué D., Baraille I. Molecular dynamics study of nanoaggregation in asphaltene mixtures: Effects of the N, O, and S heteroatoms. Energy Fuels, 2016, vol. 30, no. 7, pp. 5656–5664. DOI: https://doi.org/10.1021/acs.energyfuels.6b01170
- Sodero A.C., Silva H.S., Level P.G., Bouyssiere B., Korb J., Carrier H., Alfarra A., Bégué D., Baraille I. Investigation of the effect of sulfur heteroatom on asphaltene aggregation. Energy Fuels, 2016, vol. 30, no. 6, pp. 4758–4766. DOI: https://doi.org/10.1021/acs.energyfuels.6b00757
- Mizuhara J., Liang Y., Masuda Y., Kobayashi K., Iwama H., Yonebayashi H. Evaluation of asphaltene adsorption free energy at the oil–water interface: role of heteroatoms. Energy Fuels, 2020, vol. 34, no. 5, pp. 5267–5280. DOI: https://doi.org/10.1021/acs.energyfuels.9b03864
- Lyulin S.V., Glova A.D., Falkovich S.G., Ivanov V.A., Nazarychev V.M., Lyulin A.V., Larin S.V., Antonov S.V., Ganan P., Kenny J.M. Computer simulation of asphaltenes. Petroleum Chemistry, 2018, vol. 58, no. 12, pp. 983–1004. (In Russ.) DOI: https://doi.org/10.1134/S0965544118120149
- Ekramipooya A., Valadi F.M., Farisabadi A., Gholami M.R. Effect of the heteroatom presence in different positions of the model asphaltene structure on the self-aggregation: MD and DFT study. Journal of Molecular Liquids, 2021, vol. 334, pp. 116109 DOI: https://doi.org/10.1016/j.molliq.2021.116109
- Takanohashi T., Sato S., Tanaka R. Structural relaxation behaviors of three different asphaltenes using MD calculations. Pet. Sci. Technol, 2004, vol. 22, no. 7–8, pp. 901–914. DOI: https://doi.org/10.1081/LFT-120038716
- Ramírez L., Moncayo-Riascos I., Cortés F.B., Franco C.A., Ribadeneira R. Molecular dynamics study of the aggregation behavior of polycyclic aromatic hydrocarbon molecules in n-heptane–toluene mixtures: assessing the heteroatom content effect. Energy Fuels, 2021, vol. 35, no. 4, pp. 3119–3129. DOI: https://doi.org/10.1021/acs.energyfuels.0c04153
- Sedghi M., Goual L., Welch W., Kubelka J. Effect of asphaltene structure on association and aggregation using molecular dynamics. J. Phys. Chem. B, 2013, vol. 117, no 18, pp. 5765–5776. DOI: https://doi.org/10.1021/jp401584u
- Yaseen S., Mansoori G.A. Asphaltene aggregation due to waterflooding (A molecular dynamics study). J. Petrol. Sci. Eng, 2018, vol. 170, pp. 177–183. DOI: https://doi.org/10.1016/j.petrol.2018.06.043
- Cheshkova T.V., Sergun V.P., Kovalenko E.Yu., Gerasimova N.N., Sagachenko T.A., Min R.S. Resins and asphaltenes of light and heavy oils: their composition and structure. Energy Fuels, 2019, vol. 33, no. 9, pp. 7971–7982. DOI: https://doi.org/10.1021/acs.energyfuels.9b00285
- Gerasimova N.N., Klassen A.S., Min R.S., Sagachenko T.A. Nitrogen-containing resin bases from heavy oils of the Usinsk deposit. Chemistry for Sustainable Development, 2016, vol. 24, no. 6, pp. 739–744. (In Russ.) DOI: http://doi.org/10.15372/KhUR20180103
- Kovalenko E.Yu., Sagachenko T.A., Min R.S. Effect of nitrogen compounds in oil on formation of asphaltene aggregates. Bulletin of the Tomsk Polytechnic University. Geo Assets Engineering, 2016, vol. 327, no. 3, pp. 119–126. (In Russ.)
- Larichev Y.V., Kovalenko E.Y., Martyanov O.N. Effect of nitrogen bases on the structure of primary asphaltene clusters and dynamics of aggregation of heavy oil fractions. Pet. Chem., 2019, vol. 59, pp. 1195–1200. (In Russ.) DOI: https://doi.org/10.1134/S0965544119110100
- Korneev D.S., Pevneva G.S. Changes in the composition and colloidal stability of heavy oil in the presence of quinolone. Chemistry for Sustainable Development, 2023, vol. 31, no. 4, pp. 388–393. (In Russ.) DOI: http://doi.org/ 10.15372/CSD2023482
- Urazov Kh.Kh., Sviridenko N.N., Iovik Yu.A., Kolobova E.N., Grabchenko M.V., Kurzina I.A., Mukhamatdinov I.I. Effect of hydrogen-donor of heavy crude oil catalytic aquathermolysis in the presence of a nickel-based catalyst. Catalysts, 2022, vol. 12, no. 10, pp. 1154. DOI: https://doi.org/10.3390/catal12101154
Supplementary files





