Высокоэффективная очистка технологического раствора при получении гидроксида лития способом каустификации
- Авторы: Полежаева Н.И.1, Лунева Т.А.1, Слащинин Д.Г.1, Товбис М.С.1
-
Учреждения:
- Сибирский государственный университет науки и технологий имени академика М.Ф. Решетнева
- Выпуск: Том 335, № 11 (2024)
- Страницы: 112-118
- Раздел: Статьи
- URL: https://ogarev-online.ru/2500-1019/article/view/276170
- DOI: https://doi.org/10.18799/0000-0009-8973-9832
- ID: 276170
Цитировать
Полный текст
Аннотация
Актуальность. Определяется необходимостью разработки высокоэффективных способов очистки технологического раствора от примесных ионов кальция и алюминия для промышленного получения гидроксида лития на АО «Химико-металлургический завод» в городе Красноярске.
Цель. Разработка способов снижения содержания примесных ионов кальция и алюминия в технологическом растворе гидроксида лития после каустификации до концентрации 5–10 мг/л.
Методы. Упаривание и кристаллизация, осаждение коллоидных осадков алюминия и кальция аммиачным буферным раствором, химическое осаждение 8-гидроксихинолином.
Результаты и выводы. Показана эффективность примененных способов очистки технологического раствора гидроксида лития от ионов кальция и алюминия: упаривание с последующей кристаллизацией, осаждение аммиачным буферным раствором, осаждение в виде гидроксихинолятов. Экспериментально установлено, что при использовании способа упаривания с последующей кристаллизацией достигается степень извлечения примесных ионов алюминия Al3+ – 29 %; а ионов кальция Ca2+ – 56 %. При очистке технологического раствора осаждением коллоида гидроксида алюминия аммиачным буферным раствором степень извлечения составила для ионов алюминия Al3+ – 96 %; для ионов кальция Ca2+ – 67 %. Применение метода химического осаждения с использованием 8-гидроксихинолина в щелочном растворе показало степень извлечения ионов алюминия Al3+ – 20 %; а ионов кальция Ca2+ – 76 %. Установлено, что способ с упариванием и кристаллизацией технологического раствора не требует применения специальных реагентов. Способ с использованием аммиачного буферного раствора для удаления примесных ионов кальция и алюминия показал простоту и эффективность. Впервые предложен способ очистки технологического раствора после каустификации с применением водно-щелочного раствора 8-гидроксихинолина, исключающий использование органических, огнеопасных и токсичных растворителей.
Полный текст
Введение
Литий – один из важных элементов для многих отраслей промышленности. Спрос на литиевые ресурсы резко возрастает в связи с быстрым развитием электромобилей и литий-ионных аккумуляторов [1–3].
Мировой спрос на литиевые ресурсы ускорило открытие многочисленных литиевых месторождений, что способствовало расширению областей его применения [4–6]. В настоящее время разработан метод прямой экстракции лития, который стал альтернативой экстракции лития из рассолов и обеспечил снижение воздействия на окружающую среду [7–9].
Соединения лития получают либо из исходных твердых минералов (сподумен, лепидолит, петалит), либо из жидких литийсодержащих сырьевых источников (озерные рассолы, рассолы саларов, глубинные подземные рассолы, минерализованные воды) [10–16].
В настоящее время при переработке сподумена используется сернокислотный и щелочной методы переработки [10].
Карбонат лития, образующийся при переработке литийсодержащего сырья, служит источником получения различных соединений лития, основными из которых являются гидроксид и хлорид.
Единственным промышленным способом получения гидроксида лития является каустификация известью в растворе, который описан в литературе [17]:
Li2CO3+Ca(OH)2→2LiOH+CaCO3.
Из данных по растворимости в системе Li2CO3–Ca(OH)2–H2O при 75 °С следует, что максимальная концентрация LiOH не может быть выше 36 г/л, т. е. можно получать только разбавленные растворы LiOH. Исходным продуктом при каустификации является влажный карбонат лития. Карбонат лития и гидроксид кальция замешивают в реакторе; известь берется в количестве 105 % от теоретического. Реакционная масса нагревается до кипения. Затем пульпу отстаивают и осветленный раствор декантируют. Он содержит 28,5–35,9 г/л LiOH. Шлам (карбонат кальция) подвергают трехстадийной противоточной промывке для дополнительного извлечения гидроксида лития. Основной раствор упаривают до 166,6 г/л LiOH. Затем температуру понижают до 40 °С. Гидроксид лития выделяется в виде моногидрата LiOH∙H2O, кристаллы которого отделяют от маточного раствора центрифугированием. Для получения чистого соединения первичный продукт перекристаллизовывают. Выход лития в готовый продукт – 85–90 %. Основной недостаток метода – высокие требования к чистоте исходных продуктов.
Способ каустификации карбоната лития известью для получения гидроксида лития положен в основу технологии, применяемой на АО «Химико-металлургический завод» в городе Красноярске (АО «ХМЗ»). При данном способе технологические растворы накапливают значительное количество ионов кальция и алюминия.
Целью настоящего исследования стала разработка способов снижения содержания примесных ионов кальция и алюминия в технологическом растворе после каустификации до концентрации
5–10 мг/л, не приводящих к дополнительному загрязнению другими компонентами.
Объекты и методика исследования
Объектом исследования служил технологический раствор, передаваемый АО «ХМЗ», образующийся после поступления пульпы из каскадов каустификации на декантацию – разделение жидкой и твердой фаз: раствора гидроксида лития и твердого осадка карбоната кальция. Количество исходного технологического раствора в каждом из переданных для исследования образцов составляло 10 л, что с учетом плотности соответствует 12,2 кг.
Раствор после фильтрования анализировали методами атомно-абсорбционной спектроскопии для ионов лития и атомно-эмиссионной спектрометрии с индуктивно-связанной плазмой для определения концентрации ионов кальция и алюминия. Анализ образцов растворов на содержание основных компонентов и примесных ионов выполняли с помощью приборов атомно-абсорбционной спектроскопии ICE 3300 (Thermo Fisher Scientific, CША) и атомно-эмиссионной спектрометрии с индуктивно-связанной плазмой iCAP 7400 Duo (Thermo Fisher Scientific, CША) c относительной ошибкой не более 1,5 %.
Все данные, приведенные в таблицах, представляют собой усредненные величины по трем параллельным определениям, с указанием доверительного интервала.
В табл. 1 представлены данные по исходному химическому составу технологического раствора, содержащего в больших количествах примесные ионы кальция и алюминия и в меньших количествах – другие ионы.
Таблица 1. Химический состав исходного технологического раствора, мг/л
Table 1. Chemical composition of the initial process solution, mg/l
Литий и примесные ионы Lithium and impurity ions | Раствор после каустификации Solution after causticization |
Li2O | 16770 ±250 |
Al3+ | 13,9 ±0,21 |
Ca2+ | 33,2 ±0,50 |
Очистку технологического раствора после каустификации осуществляли несколькими способами.
Способ 1. Упаривание и кристаллизацию технологического раствора осуществляли по общепринятой методике: нагревали раствор при постоянном перемешивании и атмосферном давлении. Упаривание проводили до образования насыщенного раствора (признаком служило появление мутности). После упаривания раствор охлаждали до температуры 20–30 °С и фильтровали, используя колбу Бунзена с воронкой Бюхнера. Раствор после фильтрования анализировали методом атомно-эмиссионной спектрометрии с индуктивно-связанной плазмой для определения концентрации ионов кальция и алюминия.
Способ 2. Очистку раствора проводили осаждением коллоидных осадков гидроксидов алюминия и кальция аммиачным буферным раствором по следующей методике. К 50 см3 раствора добавляли 40 г щавелевой кислоты при перемешивании, что снижало рН раствора до 4 (контроль рН-метром). На осаждение гидроксидов уходило примерно 50 см3 аммиачного буферного раствора (рН 10).
Способ 3. Для очистки раствора от примесных ионов кальция и алюминия применяли метод химического осаждения с использованием 8-гидроксихинолина в водно-щелочном растворе. В этом варианте впервые предложена методика, исключающая использование органических растворителей (хлороформ, четыреххлористый углерод и др.), которые обычно применяют при выделении гидроксихинолятов.
Осаждение гидроксихинолятов кальция и алюминия осуществляли по следующей методике: к исследуемому образцу добавляли твердую щелочь NaOH в соотношении: исследуемый раствор:8-гидроксихинолин:щелочь – 20:1:0,2. Осаждение проводили при атмосферном давлении и комнатной температуре. Время формирования осадка составляло 1,5 часа. После протекания реакции раствор отфильтровывали от гидроксихинолятов алюминия и кальция.
Результаты исследования и их обсуждение
В литературе при получении высокочистого моногидрата лития из литийсодержащих отходов различных производств обычно приводится химическая схема получения высокочистого LiOH∙H2O из технического карбоната лития, в которой примесные ионы удаляли методом осаждения в виде нерастворимых соединений: CaCO3, Mg(OH)2, Fe2O3×3H2O, Al(OH)3, CaSiO3, MgSiO3 [18, 19].
Очистка методом осаждения (способ 1) в виде нерастворимых соединений примесных ионов из исследуемых технологических растворов при их кипячении с упариванием показала достаточную эффективность, то есть наблюдалось уменьшение концентрации как ионов кальция, так и алюминия (табл. 2).
Эти данные можно объяснить тем, что в щелочной среде образуется коллоид Al(OH)3 с отрицательно заряженными коллоидными частицами (см ниже).
Таблица 2. Содержание ионов кальция и алюминия в технологических растворах после упаривания с последующей кристаллизацией, мг/л
Table 2. Content of calcium and aluminum ions in process solutions after evaporation followed by crystallization, mg/l
Примесные ионы Impurity ions | Исходный технологический раствор Initial process solution | Раствор после упаривания Solution after evaporation | Степень извлечения, % Extraction rate, % |
Раствор после каустификации/Solution after caustification | |||
Al3+ | 13,9 ±0,21 | 9,87 ±0,15 | 29 |
Ca2+ | 33,2 ±0,50 | 14,74 ±0,22 | 56 |
Известно, что особенно сильно влияние рН среды на гидрозоль Al(OH)3, являющийся амфотерным соединением [20]. В слабощелочной среде (рН 7,5–8) ионизация по основному типу невозможна из-за избытка ОН–-ионов:
Al(OH)3=Al(OH)2O–+H+.
При более высоких значениях рН ионизация происходит следующим образом:
Al(OH)2O–+H+=AlO2–+H++Н2О.
Потенциалобразующими ионами в мицелле золя гидроксида алюминия являются ионы AlO2–, и коллоидные частицы приобретают отрицательный заряд.
{nAl(OH)3mAlO2–(m–x)H+}x–×H+.
За счет электростатических сил притяжения к отрицательно заряженным коллоидным частицам катионы входят в диффузную часть двойного электрического слоя, вытесняя при этом противоионы Н+. На отрицательно заряженных коллоидных частицах гидрозоля преимущественно адсорбируются катионы, имеющие больший заряд, так как они сильнее притягиваются к коллоидным частицам. При упаривании катионы, включая кальций, осаждаются в виде нерастворимых соединений. C повышением температуры увеличивается кинетическая энергия противоионов в мицеллах золя. Преодолевая электростатические и ван-дер-ваальсовые силы притяжения, противоионы переходят из адсорбционного слоя в диффузный слой. При дальнейшем повышении температуры процессы десорбции ионов захватывают уже более глубокие области двойного электрического слоя, начинается отрыв потенциалобразующих ионов AlO2– от твердой поверхности микрокристаллов и они переходят в раствор.
По второму способу от коллоида гидроксида алюминия технологический раствор очищали аммиачным буферным раствором, состоящим из смеси гидроксида и хлорида аммония. Гидроксид алюминия осаждали раствором аммиака в присутствии солей аммония, которые способствуют проведению осаждения, так как ионы аммония составляют с аммиаком буферную смесь и тем самым дают возможность создать в растворе требуемое значение рН не менее 8; кроме того, соли аммония вызывают флокуляцию коллоидных частиц. Значение рН раствора, необходимое для полного осаждения гидроксида алюминия, определяли с помощью рН-метра (способ 2). Следует отметить, что контроль щелочности раствора необходим, поскольку при очистке технологического раствора нельзя допустить понижения рН, которое может привести к появлению в гидроксиде лития его солей и, соответственно, к снижению чистоты искомого гидроксида. Данные о содержании примесных ионов кальция и алюминия представлены в табл. 3.
Таблица 3. Содержание ионов кальция и алюминия в технологических растворах после очистки аммиачным буфером, мг/л
Table 3. Content of calcium and aluminum ions in process solutions after cleaning with ammonia buffer, mg/l
Раствор после каустификации/Solution after caustification | |||
Примесные ионы Impurity ions | Исходный технологический раствор Initial process solution | Раствор, после осаждения коллоидов Solution after precipitation of colloids | Степень извлечения, % Extraction rate, % |
Al3+ | 13,9 ±0,21 | 0,55 ±0,01 | 96 |
Ca2+ | 33,2 ±0,50 | 10,80 ±0,16 | 67 |
Представленный способ показал высокоэффективную очистку технологического раствора от ионов кальция и алюминия, т. к. при осаждении коллоида Al(OH)3 осаждаются ионы кальция, адсорбированные на коллоидных частицах. Единственным недостатком этого эффективного метода очистки технологического раствора после каустификации является применение раствора гидроксида аммония, обладающего резким, неприятным запахом, что в условиях производства требует дополнительного применения местной вентиляции и других защитных мер.
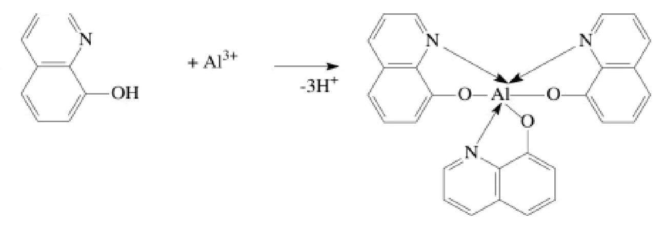
Из литературных источников известно, что одним из высокоэффективных методов удаления алюминия и кальция является извлечение ионов этих металлов методом экстракции с применением органических растворителей с помощью 8-гидроксихинолина (рисунок) из-за образования гидроксихинолятов. Реагент образует с алюминием и кальцием внутрикомплексные соединения при рН=10–13 [21, 22].
Образующиеся комплексные гидроксихиноляты алюминия и кальция в известных способах подвергают экстракции органическими растворителями, такими как хлороформ и четыреххлористый углерод, с последующим отделением органического слоя, содержащего гидроксихиноляты металлов от водного технологического раствора гидроксида лития.
Рисунок. Реакция образования гидроксихинолятов алюминия
Figure. Reaction of formation of aluminum hydroxyquinolates
Во избежание использования органических растворителей на стадии экстракции мы применили способ, включающий реакцию водно-щелочного раствора 8-гидроксихинолина с технологическим раствором гидроксида лития после каустификации. При этом примесные металлы выпадали в осадок в виде гидроксихинолятов, что давало возможность удалять их простым фильтрованием, исключая стадию экстракции органическим растворителем. Отделение примесных металлов в виде нерастворимых гидроксихинолятов потребовало коренного изменения технологической схемы этого важного производства.
Данные по осаждению ионов алюминия и кальция в виде гидроксихинолятов представлены в табл. 4.
Таблица 4. Содержание ионов кальция после осаждения 8-гидроксихинолином в щелочной среде, мг/л
Table 4. Content of calcium ions after precipitation with 8-hydroxyquinoline in an alkaline medium, mg/l
Примесные ионы Impurity ions | Исходный технологический раствор Initial process solution | Раствор после очистки Solution after purification with | Степень извлечения, % Extraction rate, % |
Раствор после каустификации/Solution after caustification | |||
Al3+ | 13,9 ±0,21 | 11,10 ±0,17 | 20 |
Ca2+ | 33,2 ±0,50 | 7,85 ±0,12 | 76 |
Данные табл. 4 объясняются тем, что в исходном растворе ионов кальция почти в 2,5 раза больше, чем ионов алюминия, поэтому при осаждении 8-гидроксихинолином гидроксихинолятов кальция образуется больше, чем алюминия.
Заключение
- Показана эффективность примененных способов очистки технологического раствора гидроксида лития от ионов кальция и алюминия: упаривание с последующей кристаллизацией, осаждение аммиачным буферным раствором, осаждение в виде гидроксихинолятов.
- Способ с упариванием и кристаллизацией технологического раствора не требует применения специальных реагентов, однако является весьма энергозатратным из-за применения большого количества водяного пара в производственных условиях для обогрева реактора.
- В способе с использованием аммиачного буферного раствора для удаления примесных ионов металлов, несмотря на простоту и эффективность данного метода, требуется вентиляция для удаления паров аммиака для защиты персонала на рабочем месте.
- Впервые предложенный нами способ очистки технологического раствора после каустификации с применением водно-щелочного раствора 8-гидроксихинолина и фильтрацией образующихся осадков исключает недостатки известных методов, в которых используются органические, огнеопасные и токсичные растворители при экстракции гидроксихинолятов.
Об авторах
Наталья Ивановна Полежаева
Сибирский государственный университет науки и технологий имени академика М.Ф. Решетнева
Email: piv-80@mail.ru
кандидат химических наук, доцент кафедры фундаментальной химии
Россия, 660037, Красноярск, пр. им. газеты Красноярский рабочий, 31Татьяна Анатольевна Лунева
Сибирский государственный университет науки и технологий имени академика М.Ф. Решетнева
Email: luneva@sibsau.ru
ORCID iD: 0000-0001-5681-3658
кандидат технических наук, доцент кафедры фундаментальной химии
Россия, 660037, Красноярск, пр. им. газеты Красноярский рабочий, 31Дмитрий Геннадьевич Слащинин
Сибирский государственный университет науки и технологий имени академика М.Ф. Решетнева
Email: sdg1987@mail.ru
ORCID iD: 0000-0002-0153-6822
кандидат химических наук, доцент кафедры фундаментальной химии
Россия, 660037, Красноярск, пр. им. газеты Красноярский рабочий, 31Михаил Семенович Товбис
Сибирский государственный университет науки и технологий имени академика М.Ф. Решетнева
Автор, ответственный за переписку.
Email: tovbis@bk.ru
ORCID iD: 0000-0002-5936-0401
доктор химических наук, профессор, научный консультант Института химических технологий
Россия, 660037, Красноярск, пр. им. газеты Красноярский рабочий, 31Список литературы
- Lithium extraction from salt lakes with different hydrochemical types in the Tibet Plateau / Tao Ding, Mianping Zheng, Suping Peng, Yuhan Lin, Xuefei Zhang, Mingming Li // Geoscience Frontiers. – 2023. – Vol. 14 (101485). – P. 1–17.
- Environmental impacts of lithium hydroxide monohydrate production from spodumene concentrate. A simulation-based life cycle assessment / H. Lappalainen, M. Rinne, H. Elomaa, J. Aromaa, M. Lundstrom // Minerals Engineering. – 2024. – Vol. 209 (108632). – P. 1–9.
- Fluorinated electrolyte formulations design enabling high-voltage and long-life lithium metal batteries / Yuxin Rao, Xue Li, Shangquan Zhao, Pengfei Liu, Fanglin Wu, Xiang Liu, Naigen Zhou, Shan Fang, Stefano Passerini // Nano Energy. – 2024. – Vol. 123 (109362). – P. 1–12.
- Pressure leach of β-spodumene with carbonic acid: Weak acid process for extraction of lithium / M.F. Alhadad, H.C. Oskierski, J. Chischi, G. Senanayake, B. Schulz, A.A. Suvorova, S.E.M. Gain, B.Z. Dlugogorski // Minerals Engineering. – 2023. – Vol. 204 (108398). – P. 1–17.
- Classification and mineralization of global lithium deposits and lithium extraction technologies for exogenetic lithium deposits / Mian-ping Zheng, En-yuan Xing, Xue-fei Zhang, Ming-ming Li, Dong Che, Ling-zhong Bu, Jia-huan Han, Chuan-yong Ye // China Geology. – 2023. – Vol. 6. – P. 547−566.
- Lithium extraction from hard rock lithium ores (spodumene, lepidolite, zinnwaldite, petalite): technology, resources, environment and cost / Tian-ming Gao, Na Fan, Wu Chen, Tao Dai // China Geology. – 2023. – Vol. 6. – P. 137–153.
- Yasaman Boroumand, Amir Razmjou. Adsorption-type aluminium-based direct lithium extraction: the effect of heat, salinity and lithium content // Desalination. – 2024. – Vol. 577. – 117406.
- Desemond C., Soucy G., Laroche N. Reductive thermal plasma conversion of a spodumene concentrate and impact on lithium extraction // Minerals Engineering. – 2024. – Vol. 211. – 108682.
- Selective lithium extraction from spent lithium-ion batteries through polyvinyl chloride thermal decomposition-based gas-solid reaction / Biyuan Yang, Xinyu Lu, Xiaowei Wang, Jiafeng Zhang // Heliyon. – 2024. – Vol. 10. – e25575.
- Литий, его химия и технология / Ю.И. Остроушко, П.И., Бучихин В.В. Алексеева, Т.Ф. Набойщикова, Г.А. Ковда, С.А. Шелкова, Р.Н. Алексеева, М.А. Маковецкая. – М.: Атомиздат, 1960. – 199 с.
- Реализация комплексной технологии переработки рассолов хлоридного кальциевого типа с получением безбромного литиевого концентрата / А.Д. Рябцев, Н.П. Коцупало, Л.Т. Менжерес, А.А. Кураков, Н.М. Немков // Химическая технология. – 2023. – Т. 24. – № 9. – С. 337–342.
- Способ получения моногидрата гидроксида лития из рассолов: пат. Рос. Федерация № 2713360 C2; заявл. 25.09.2019; № 2019130117; опубл. 04.02.2020.
- Способ получения моногидрата гидроксида лития из рассолов и установка для его осуществления: пат. Рос. Федерация № 2656452 C2; заявл. 04.02.2016; № 2016103702; опубл. 05.06.2018.
- Способ получения литиевого концентрата из литиеносных природных рассолов и его переработки в хлорид лития или карбонат лития: пат. Рос. Федерация № 2656452 C2; заявл. 04.02.2016; № 2016103702; опубл. 05.06.2018.
- Получение высокочистого моногидрата гидроксида лития из природных хлоридных рассолов / А.Д. Рябцев, Н.М. Немков, Н.П. Коцупало, Е.В. Мамылова, О.И. Чаюкова // Химическая технология. – 2018. – Т. 19. – № 6. – С. 256–263.
- Способ получения моногидрата гидроксида лития высокой степени чистоты из материалов, содержащих соли лития: пат. Рос. Федерация № 2769609 C2; заявл. 31.03.2021; № 2021108817; опубл. 04.04.2022.
- Зимина Г.В., Потапова А.М., Смирнова И.Н. Химия и технология лития. – М.: МИТХТ им. М.В. Ломоносова, 2014. – 60 с.
- Немков Н.М., Рябцев А.Д., Мухин В.В. Получение высокочистого моногидрата гидроксида лития из литийсодержащих отходов различных производств // Известия Томского политехнического университета. – 2004. – Т. 307. – № 7. – С. 80–84.
- Способ получения моногидрата лития высокой степени чистоты из материалов, содержащих карбонат лития: пат. Рос. Федерация № 2196735; заявл. 26.07.2001; опубл. 20.01.2003. Бюл. № 2.
- Бабенков Е.Д. Очистка воды коагулянтами. – М.: Наука, 1977. – 356 с.
- Шарло Г. Методы аналитической химии. Количественный анализ неорганических соединений. Часть вторая. – М.: Химия, 1969. – 1206 с.
- Аликина Е.Н. Аналитическая химия. Качественный анализ. – Пермь, 2019. – 202 с. URL: https://elis.psu.ru/node/605211 (дата обращения 12.05.2024).
Дополнительные файлы



