Combustion in a chamber furnace with a tangentially swirling vortex
- Authors: Gil A.V.1, Maltsev K.I.1, Abramov N.V.1, Zavorin A.S.1, Starchenko A.V.2
-
Affiliations:
- National Research Tomsk Polytechnic University
- National Research Tomsk State University
- Issue: Vol 335, No 2 (2024)
- Pages: 7-16
- Section: Articles
- URL: https://ogarev-online.ru/2500-1019/article/view/267041
- DOI: https://doi.org/10.18799/24131830/2024/2/4475
- ID: 267041
Cite item
Full Text
Abstract
Relevance. The need to analyze the furnace processes in boiler units with vertical vortex when arranging pulverized coal combustion with the enhancement of environmental parameters through the installation of tertiary blast nozzles. Despite the carbon-free policy in modern power engineering coal remains one of the main sources of energy, so the reconstruction of boiler units in order to reduce harmful emissions is very relevant.
Aim. To study aerodynamics and combustion processes of pulverized coal fuel in the furnace chamber of a boiler unit with a tangential arrangement of burner devices using a combustion scheme with tertiary air blowing.
Methods. The Eulerian–Lagrangian approach was applied to numerical study of flow characteristics, heat transfer and combustion in a furnace with a tangential burner arrangement. Also, k-ε model of gas turbulence, particle-turbulence interaction, diffusion model of particle dispersion, P-1 radiation modeling method and pulverized coal particle combustion model based on global particle kinetics and experimental data were used for numerical calculations.
Results. Based on numerical calculations and analysis, the dependences of combustion product concentrations, temperature, hydrodynamics at combustion of Kuznetsky coal grade D in the furnace chamber with tangential arrangement of burners for brown coal, as well as at installation of tertiary blast nozzles have been obtained. Insufficient redistribution of air between burners and tertiary nozzles is revealed, as for maintenance of stable twist of vertical vortex and accordingly presence of high values of velocities at the outlet of burner devices it is not possible to increase the portion of tertiary air without reconstruction of burners. It is also established that the volume of the furnace chamber below the burners is poorly involved in heat exchange.
Keywords
Full Text
Введение
На современном этапе развития общества потребление электроэнергии возрастает вследствие роста численности населения и уровня жизни [1]. При этом, несмотря на всеобъемлющие усилия по снижению негативного воздействия на окружающую среду тепловых электрических станций, работающих на органическом топливе, их доля в энергетическом балансе не сокращается [2]. Также стоит отметить, что наименее экологически чистые пылеугольные тепловые электрические станции (ТЭС), являющиеся крупнейшими производителями тепловой и электрической энергии в мире [3]. Доля угля в энергобалансе России составляет 13 %, но прогнозируется рост до 15 % [4], соответственно, несмотря на усилия по декарбонизации, внедрению возобновляемых источников энергии, угольные ТЭС останутся одним из ключевых источников генерации энергии.
В настоящее время проводятся ряд исследований по повышению экологических параметров использования угля в виде водоугольной суспензии или в смеси с сельскохозяйственными отходами, отходами деревообработки и др. [5, 6]. Но данные технологии не нашли широкого применения для организации сжигания в энергетических котлах по экономическим и/или технологическим соображениям.
Пылеугольные котельные агрегаты с тангенциальной компоновкой прямоточных горелочных устройств широко используются на тепловых электростанциях всего мира [7, 8], поскольку позволяют обеспечивать достаточно равномерный тепловой поток к экранированным стенам топочной камеры, полноту выгорания топлива и более низкие выбросы оксидов азота при относительной простоте схемы сжигания. Но, несмотря на имеющиеся положительные факторы такой технологии, могут наблюдаться процессы шлакования, тепловая неравномерность, отклонения диаметра условной окружности, особенно при организации сжигания непроектного топлива.
Бесспорно, современные ТЭС должны стремиться к минимизации вредных выбросов в совокупности с высокой эффективностью топливоиспользования. Одним из наиболее перспективных способов снижения генерации оксидов азота является организация ступенчатого сжигания посредством установки сопел третичного дутья [9, 10].
Поскольку традиционно проектирование котельных агрегатов опирается на полуэмпирические методы, разработанные на основе испытаний пилотных установок, которые невозможно применять с высокой точностью для любых компоновочных и режимных вариантов, а проведение полномасштабных экспериментальных исследований на энергетических котельных агрегатах ограничено высокими экономическими издержками, то численное моделирование зарекомендовало себя как экономичный и эффективный исследовательский инструмент [11, 12].
В данной работе представлено исследование характеристик потока, процессов теплопередачи и горения, изменения концентраций веществ в топочной камере пылеугольного котельного агрегата мощностью 150 МВт с тангенциальной компоновкой горелочных устройств при сжигании кузнецкого угля марки Д. Наряду с этим рассмотрены варианты с установкой сопел третичного дутья с целью понижения выбросов NOx.
Объект исследования
Топочная камера пылеугольного котла спроектирована с тангенциальной компоновкой горелочных устройств (рис. 1, а; 2, а). Размеры топочной камеры: высота, ширина и глубина составляют 25050, 7424, 7808 мм, соответственно. Стены экранированы трубами контуров с естественной циркуляцией диаметром 60 мм с толщиной стенки 5,5 мм, расположенными с шагом 64 мм. Топочная камера с твердым шлакоудалением, для чего фронтовая и тыльная стены топочной камеры в нижней части образуют скаты холодной воронки. На выходе из топки тыльный экран образует аэродинамический выступ. Камера оборудована четырьмя прямоточными горелками, установленными в углах топки тангенциально к условной окружности диаметром 900 мм, ориентированной аксиально продольно к оси топки.
Рис. 1. Геометрическая модель топочной камеры (1) горелки, (2) сопла третичного дутья: а) базовая компоновка; б) с четырьмя соплами третичного дутья; в) с шестью соплами третичного дутья
Fig. 1. Geometric model of the furnace chamber of a burner (1), (2) tertiary nozzles: a) basic layout; b) with four tertiary blast nozzles; c) with six tertiary blast nozzles
Рис. 2. Схема расположения горелочных устройств и сопел третичного дутья: а) компоновка горелок и горелочное устройство; б) компоновка четырех сопел третичного дутья; в) компоновка шести сопел третичного дутья
Fig. 2. Layout of burner devices and tertiary air nozzles: a) burner arrangement and burner device; b) layout of four tertiary air nozzles; c) layout of six tertiary air nozzles
Горелки горизонтально-щелевые с чередованием каналов ввода первичного и вторичного воздуха (рис. 2, а). Для снижения генерации NOx рассмотрены схемы с установкой сопел третичного дутья выше основных горелочных устройств (рис. 2, б, в). Размеры сопел и высота их расположения рассчитаны согласно [13]. Сечение сопел составляет 286×572 мм, высота расположения – 11 986 мм, а диаметр условной окружности их ориентации – 700 мм.
Поскольку угли Кузнецкого бассейна активно предлагаются для использования в котельных агрегатах в качестве замещающего топлива вследствие исчерпания запасов проектного, то в данной работе рассмотрено сжигание кузнецкого угля марки Д, хотя исследуемая схема сжигания и тип горелок в проектном варианте ориентированы на бурые угли.
Для приведенных на рис. 1, 2 компоновочных схем при распределении объемов воздуха и оптимальных соотношений скоростей в горелочных устройствах с целью стабильного формирования тангенциально закрученного вертикального факела скорость третичного дутья составила 37 м/с при четырех соплах и 33 м/с – при шести. Во всех исследованных вариантах скорость первичного воздуха составляла 12,6 м/с, поскольку это уже достаточно низкое значение, а скорость вторичного изменялась. В базовом варианте скорость вторичного воздуха имеет значение 26,6 м/с, а с соплами третичного дутья 24,0 м/с – при четырех и 23,0 м/с – при шести.
Математическая модель
В качестве расчетной области принят объем топочной камеры от устья холодной воронки до горизонтального газохода. Для получения более точных результатов моделирования выполнена дискретизация объекта с использованием структурированной сетки. В зоне размещения горелочных устройств сетка имеет меньшие размеры ячеек для уменьшения численных ошибок. Чтобы избежать чрезмерно высоких вычислительных затрат дискретизация расчетной области составила 91200 ячеек.
Численные расчеты проводились с использованием пакета прикладных программ FIRE 3D, разработанного сотрудниками Томского государственного и Томского политехнического университетов [14]. Непрерывная фаза решается с использованием усредненных по Рейнольдсу уравнений Навье–Стокса в эйлеровой системе отсчета, тогда как горение топливных частиц моделируется в лагранжевой системе отсчета [15, 16]. Турбулентность моделируется с использованием реализуемой модели k-ε [16, 17].
Осредненные по времени уравнения в частных производных сохранения массы, импульса, энергии, концентрации газообразных компонентов решены для прогнозирования скорости, температуры и концентрации частиц в объеме топочной камеры. Газовая фаза описывается осредненными по времени уравнениями Эйлера сохранения массы, импульса, энергии, компонента газовой смеси, кинетической энергии турбулентности и скорости ее диссипации.
Модель P-1 используется для расчета радиационного теплообмена. Данная модель точна для учета процессов сжигания, где оптическая толщина сравнительно велика, ее можно легко применить к сложной геометрии, и она потребляет мало процессорного времени [18, 19].
Учитывая размер частиц угля и их объемную долю по сравнению с газовой фазой, пылевидный уголь можно рассматривать как дискретную фазу, для которой используется лагранжево описание [20, 21]. Таким образом, необходимо смоделировать эволюцию массы и температуры каждой из частиц угля вдоль их траектории, а также обмен массой и энергией с газовой фазой. Соответственно дисперсная фаза описывалась в лагранжевом поле совместно с диффузионной моделью дисперсии частиц. Предполагается, что частицы имеют сферическую форму.
Уравнения импульса были связаны с уравнением неразрывности с помощью алгоритма SIMPLE [22, 23].
В качестве топлива в расчетах использовался кузнецкий уголь марки Д со следующим составом рабочей массы: зольность 10,2 %, влажность 17,6 %, содержание углерода 56 %, водорода 4 %, кислорода 10 %, серы 0,3 %, азота 1,9 %. Теплота сгорания топлива на рабочую массу 4949 ккал/кг при расходе топлива 26,51 т/ч.
Результаты исследования
Аэродинамическая структура потока является основой стабильной работы котла, так как направление и величина скорости подачи первичного и вторичного воздуха важны для воспламенения угольной пыли, распространения пламени и теплопередачи в топке. Котлы с тангенциальной топкой характеризуются вращением газо-топливно-воздушного потока внутри топки. Этот поток, вращающийся вокруг вертикальной оси топки, улучшает смешивание воздуха с топливом и способствует сгоранию пылевидного угля, но может вызывать отклонения скорости и температуры, влияет на теплообмен в топочной камере и пароперегревателе. На рис. 3 показаны профили скорости газовой фазы по продольной оси топочной камеры в трех исследуемых вариантах.
Рис. 3. Распределение скоростей (м/с) в продольном сечении топочной камеры: а) базовая компоновка; б) с четырьмя соплами; в) с шестью соплами
Fig. 3. Velocity distribution (m/s) in the longitudinal section of the furnace chamber: a) basic layout; b) with four nozzles; c) with six nozzles
Во всех вариантах наблюдается тороидальный вертикальный вихрь (рис. 3, 4). В нижней части топки до уровня горелочных устройств вихрь менее заметен из-за низкой скорости потоков. В зоне горения из четырех прямоточных горелок поступает большое количество воздуха и топлива, которое интенсивно сгорает, что приводит к значительному повышению скорости вихря. В верхней части топки, после аэродинамического выступа, вихрь имеет тенденцию к затуханию.
Рис. 4. Распределение скоростей (м/с) в горизонтальном сечении топочной камеры по оси горелок: а) базовая компоновка; б) с четырьмя соплами; в) с шестью соплами
Fig. 4. Distribution of velocities (m/s) in the horizontal section of the furnace chamber along the burner axis: a) basic layout; b) with four nozzles; c) with six nozzles
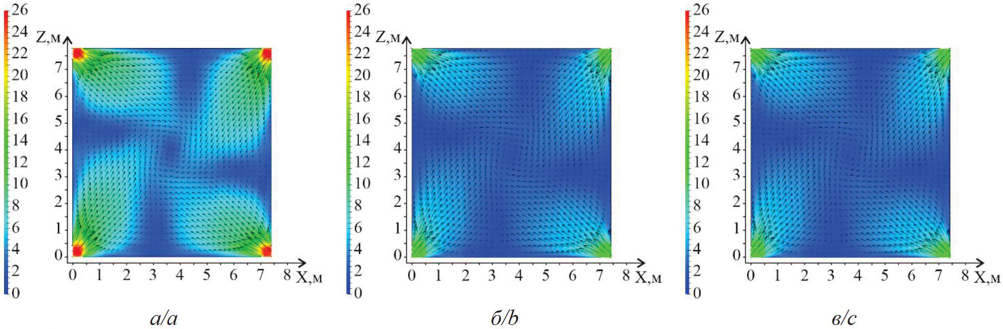
При установке сопел третичного дутья количество вторичного воздуха, подаваемого в основные горелочные устройства, снижается, соответственно, интенсивность вращения воздушного потока уменьшается, а размер касательной окружности увеличился. На уровне расположения сопел третичного дутья (рис. 5) отчетливо наблюдается расширение вихря, связанное не только с изменением расхода воздуха в основные горелки, но и с установкой сопел в противоположном направлении относительно вращения вихря.
Рис. 5. Распределение скоростей (м/с) в горизонтальном сечении топочной камеры по оси сопел третичного дутья: а) базовая компоновка; б) с четырьмя соплами; в) с шестью соплами
Fig. 5. Distribution of velocities (m/s) in the horizontal section of the furnace chamber along the tertiary nozzles axis: a) basic layout; b) with four nozzles; c) with six nozzles
При этом, несмотря на снижение интенсивности вихревого движения под воздействием меньших объемов подаваемого воздуха в горелочные устройства, воздушные потоки от сопел третичного дутья не проникают вглубь вихря, поскольку он обладает существенной кинетической энергией по отношению к струям третичного дутья и даже разворачивает их по направлению своего вращения (рис. 5). Данный факт обусловлен несоответствием значений скоростей третичного воздуха рекомендованным значениям [24], поскольку к моделированию приняты проектные горелочные устройства для бурого угля с большими сечениями щелей по первичному и вторичному воздуху (рис. 2, а). Соответственно это ухудшает синергетический эффект от взаимодействия основных горелочных устройств и сопел третичного дутья.
На рис. 6 представлены температурные поля внутри топочной камеры по продольной оси топки. Значения и конфигурация температурных полей в нижней части топочной камеры различаются незначительно во всех представленных вариантах. В данной области температура относительно невысокая, поскольку в ней не происходит интенсивного горения, но стоит отметить эжекцию раскаленных продуктов сгорания и топливных частиц через центральную часть холодной воронки вследствие столкновения двух горизонтальных вихрей (рис. 3).
Рис. 6. Распределение температуры (К) в продольном сечении топочной камеры: а) базовая компоновка; б) с четырьмя соплами; в) с шестью соплами
Fig. 6. Temperature distribution (K) in the longitudinal section of the furnace chamber: a) basic layout; b) with four nozzles; c) with six nozzles
В зоне активного горения угольные частицы воспламеняются с выделением большого количества теплоты, и температура в топочной камере возрастает до максимальной. После этого за счет теплообмена между высокотемпературными продуктами сгорания и экранами топочной камеры температура постепенно снижается.
В соответствии с аэродинамикой топочной камеры в горизонтальной плоскости поля температур с максимальными значениями располагаются в центральной части топки в виде кольцевой структуры (рис. 7). При рассмотрении горизонтальных сечений на уровне расположения сопел третичного дутья можно выделить различие в конфигурации полей температур с наличием сопел третичного дутья и без них (рис. 7). В частности, при отсутствии сопел третичного дутья температурное поле имеет эллиптическую форму, вытянутую по одной из диагоналей топки (рис. 7, а). Это может негативно отразиться на равномерности обогрева стен топочной камеры, а также на шлаковании экранных поверхностей. При наличии сопел третичного дутья профиль высокотемпературного поля приближен к окружности и, соответственно, способствует более равномерному распределению температур по ширине и глубине топки (рис. 7, б, в).
Рис. 7. Распределение температуры (К) в горизонтальном сечении топочной камеры по оси сопел третичного дутья: а) базовая компоновка; б) с четырьмя соплами; в) с шестью соплами
Fig. 7. Temperature distribution (К) in the horizontal section of the furnace chamber along the axis of tertiary blast nozzles: a) basic layout; b) with four nozzles; c) with six nozzles
Распределение температур по высоте топочной камеры (рис. 8, а) не имеет выраженной закономерности влияния сопел третичного дутья. Так, в области холодной воронки температура возрастает до 1100 °С во всех случаях. На уровне расположения основных горелочных устройств температуры незначительно снижаются в базовом варианте и с четырьмя соплами под воздействием горелочных струй первичного (70 °С) и вторичного (250 °С) воздуха, а в варианте с шестью соплами продолжают возрастать, поскольку в последнем случае скорость горелочных струй наиболее низкая из рассматриваемых вариантов, что привело к смещению высокотемпературных областей. Выше горелок температуры достигают максимальных значений до 1400 °С, и после высоты 12 м происходит постепенное охлаждение продуктов сгорания.
Рис. 8. Распределение в горизонтальных сечениях по высоте топки среднеинтегральной величины: а) температуры; б) кислорода; в) монооксида углерода
Fig. 8. Distribution in horizontal sections along the height of the furnace of the average integrated magnitude of: a) temperature; b) oxygen; c) carbon monoxide
На основе распределения температур выполнено сравнение результатов математического моделирования с аналитическим расчетным значением температуры на выходе из топки, которое, согласно [13], составляет 1030 °С. При этом расхождение значения температуры не превышает 50 °С.
Распределение концентрации О2 в исследуемых вариантах имеет одинаковые профили при графическом представлении (рис. 8, б). Максимальные значения наблюдаются на уровне расположения основных горелок, при этом наибольшее значение относится к варианту без сопел третичного дутья. В зоне горения содержание О2 значительно снижается из-за интенсивной реакции горения. На уровне расположения сопел третичного дутья подается дополнительно воздух, что приводит к повышению концентрации О2 на 1 % на выходе из топки по отношению к базовому варианту.
На рис. 8, в представлены профили концентрации CO по высоте топочной камеры для различных исследованных вариантов. Концентрация CO имеет противоположные профили кривых по отношению к О2. В топочной камере CO является промежуточным продуктом сгорания угольной пыли, который образуется в результате окисления угля и может вступать в реакцию с O2 и NOx. Соответственно в области с высоким содержанием О2 появляется низкое содержание СО.
Заключение
При длительной эксплуатации котельных агрегатов на пылеугольных ТЭС зачастую возникают предложения по их переводу на сжигание непроектных марок углей, в том числе по переходу на сжигание бурых углей взамен каменных или наоборот. Определяющими являются факторы, связанные с эффективностью топочных процессов и возможностью эксплуатации системы пылеприготовления с минимальными реконструкционными мероприятиями.
В данном исследовании представлены результаты численного моделирования топочных процессов в камерной топке с тангенциальной компоновкой горелочных устройств, спроектированной для сжигания бурого угля. Как представлено в работе, при организации сжигания каменного угля без реконструкции горелочных устройств существенный объем топочной камеры «не загружен», поэтому от середины холодной воронки и до зоны активного горения не наблюдается высокотемпературных полей.
Вследствие наличия больших проектных сечений горизонтальных щелей в горелочных устройствах затруднительно обеспечение требуемого количества воздуха на третичное дутье, поскольку необходимо выдерживать скоростной режим истечения аэропыли и вторичного воздуха для обеспечения формирования вертикального вихря. В соответствии с принятыми при моделировании значениями доли третичного воздуха можно констатировать, что данные объемы незначительны и не оказывают существенного влияния на топочные процессы. Тем не менее рекомендуется при организации схем сжигания с третичным дутьем и при переводе на непроектный уголь реконструировать горелочные устройства с целью обеспечения рационального соотношения между аэропылью, вторичным воздухом и третичным.
About the authors
Andrey V. Gil
National Research Tomsk Polytechnic University
Author for correspondence.
Email: andgil@tpu.ru
ORCID iD: 0000-0001-6816-7876
Cand. Sc., Associate Professor
Russian Federation, TomskKirill I. Maltsev
National Research Tomsk Polytechnic University
Email: kim3@tpu.ru
Postgraduate Student
Russian Federation, TomskNikita V. Abramov
National Research Tomsk Polytechnic University
Email: nva12@tpu.ru
Postgraduate Student
Russian Federation, TomskAlexander S. Zavorin
National Research Tomsk Polytechnic University
Email: zavorin@tpu.ru
Dr. Sc., Professor
Russian Federation, TomskAlexander V. Starchenko
National Research Tomsk State University
Email: starch@math.tsu.ru
Dr. Sc., Professor
Russian Federation, TomskReferences
- Bhatia K., Palai A., Kumar A., Bhatia R., Patel A., Thakur V., Yang Y. Trends in renewable energy production employing biomass-based biochar. Bioresource Technology, 2021, vol. 340, 125644.
- Morris J., Kheshgi H., Paltsev S., Herzog H. Scenarios for the deployment of carbon capture and storage in the power sector in a portfolio of mitigation options. Climate Change Economics, 2021, vol. 12, 2150001.
- Constenla I., Ferrín J.L., Saavedra L. Numerical study of a 350 MWe tangentially fired pulverized coal furnace of the as pontes power plant. Fuel Processing Technology, 2013, vol. 116, pp. 189–200.
- In Russia by 2050, the share of coal in energy generation may increase (In Russ.) Available at: https://www.vedomosti.ru/business/articles/2023/08/25/991818-v-rossii-k-2050-godu-dolya-uglya-v-generatsii-energii-mozhet-virasti (accessed 10 November 2023).
- Yankovskii S.A., Kuznetsov G.V., Galaktionova A.A. Experimental substantiation of the sulfur oxide concentration reduction mechanism in coal and biomass particle mixture pyrolysis products. Thermal power engineering, 2022, no. 8, pp. 64–71. (In Russ.)
- Kurgankina M.A., Vershinina K.Yu., Ozerova I.P., Medvedev V.V. Thermal power plants switching from traditional fuels to coal water slurries containing petrochemicals. Bulletin of the Tomsk Polytechnic University. Geo Assets Engineering, 2018, vol. 329, no. 9, pp. 72–82. (In Russ.)
- Habib M.A., Mansour R.B., Antar M.A. Flow field and thermal characteristics in a model of a tangentially fired furnace under different conditions of burner tripping. Heat and Mass Transfer, 2005, vol. 41, pp. 909–920.
- Liu Y.C., Fan W.D., Wu M.Z. Experimental and numerical studies on the gas velocity deviation in a 600 MWe tangentially fired boiler. Applied Thermal Engineering, 2017, vol. 110, pp. 553–563.
- Park Y., Kim Baek S., Tae H., Dong S., Dong W. Numerical and experimental investigations on the gas temperature deviation in a large scale, advanced low NOx, tangentially fired pulverized coal boiler. Fuel, 2013, vol. 104, no. 2, pp. 341–346.
- Yongqiang W., Yuegui Z. Numerical optimization of the influence of multiple deep air-staged combustion on the NOx emission in an opposed firing utility boiler using lean coal. Fuel, 2020, vol. 269, 116996.
- Gil A.V., Zavorin A.S., Koksharev O.M., Vorontsova E.S. Numerical study of effect of primary air excess on combustion in a furnace chamber of a utility boiler with multi-channel swirl burners. Bulletin of the Tomsk Polytechnic University. Geo Assets Engineering, 2020, vol. 331, no. 9, pp. 18–27. (In Russ.)
- Williams A., Backreedy R., Habib R., Jones J., Pourkashanian M. Modeling coal combustion: the current position. Fuel, 2002, vol. 81, no. 5, pp. 605–618.
- Boiler thermal design (standard approach). St Petersburg, NPO CKTI Publ., 1998. 256 p. (In Russ.)
- Gil A.V., Zavorin A.S., Krasilnikov S.V., Obukhov S.V., Starchenko A.V. Study of aerodynamics and combustion in the furnace of the BKZ-420-140 boiler in relation to options for replacing the design fuel. Bulletin of the Tomsk Polytechnic University, 2007, vol. 310, no. 1. pp. 175–181. (In Russ.)
- Guojia Y., Xiaoju H., Zuodong L., Hong T., Yongqing Z., Zhi W. Low-NOx study of a 600 MW tangentially fired boiler based on pulverized coal preheating method. Case Studies in Thermal Engineering, 2023, vol. 48, 103156.
- Haopeng W., Haoze J., Zhi Y., Shanshan D., Xuehong W., Jingxue A., Ranran S., Shuguang T. CFD modeling of flow, combustion and NOx emission in a wall-fired boiler at different low-load operating conditions. Applied Thermal Engineering, 2024, vol. 236, 121824.
- Jingwen L., Yifan Z., Hao Z. Numerical simulation study on combustion characteristics and NOx emission of COREX gas swirl burner and boiler. Fuel, 2023, vol. 352, 129128.
- Krawczyk P., Kurkus-Gruszecka M., Dzido A., Badyda K. A method of designing an SNCR installation for small pulverized coal-fired boilers on the example of OP-50 boiler. Applied Thermal Engineering, 2023, vol. 235, 121321.
- Jin W., Si F., Cao Y., Ma H., Wang Y. Numerical optimization of separated overfire air distribution for air staged combustion in a 1000 MW coal-fired boiler considering the corrosion hazard to water walls. Fuel, 2022, vol. 309, 122022.
- Modliński N., Janda T. Mathematical procedure for predicting tube metal temperature in the radiant superheaters of a tangentially and front fired utility boilers. Thermal Science and Engineering Progress, 2023, vol. 40, 101763.
- Kang W., Jo H., Lee J, Jang K., Ryu C. Numerical investigations on overfire air design for improved boiler operation and lower NOx emission in commercial wall-firing coal power plants. Applied Thermal Engineering, 2023, vol. 219, 119604.
- Li Z., Yi Q., Zhang Y, Zhou H., Zhao Y., Huang Y., Gao D., Hao Y. Numerical study and design strategy for a low emission coke oven system using oxy-fuel combustion of coke oven gas. Journal of Cleaner Production, 2020, vol. 252, 119656.
- Chernetskiy M.Yu., Dekterev A.A., Burdukov A.P. Numerical research of pulverized combustion of micro-grinded lignocellulose raw materials. Journal of Siberian Federal University. Engineering & Technologies, 2013, vol. 6, no. 6, pp. 625–636. (In Russ.)
- Fursov I.D. Design and thermal calculation of steam boilers. Barnaul, AltSTU Publ., 2016. 297 p. (In Russ.)
Supplementary files









