Закономерности формирования нулевого заряда на поверхности глинистых частиц, подверженных давлению
- Авторы: Середин В.В.1, Шеина К.В.1, Ситева О.С.1
-
Учреждения:
- Пермский государственный национальный исследовательский университета
- Выпуск: Том 335, № 1 (2024)
- Страницы: 102-111
- Раздел: Статьи
- URL: https://ogarev-online.ru/2500-1019/article/view/267040
- DOI: https://doi.org/10.18799/24131830/2024/1/4238
- ID: 267040
Цитировать
Полный текст
Аннотация
Актуальность исследования обусловлена необходимостью изучить влияние высокого давления на изменение величины водородного показателя точки нулевого заряда глинистых минералов. Точка нулевого заряда – одна из важнейших характеристик дилюента. Величина заряда во многом контролируется значениями водородного показателя порового раствора. Как известно, глины разного генезиса имеют различные физико-химические свойства, что непосредственно влияет на величину точки нулевого заряда.
Цель: выявить закономерности формирования точки нулевого заряда глинистых частиц, подверженных воздействию давления.
Объекты: каолиновая глина Нижне-Увельского месторождения Челябинской области и бентонитовая глина Зыряновского месторождения Курганской области.
Методика. Потенциометрическое титрование, определение точки нулевого заряда проводилось с помощью построение кривых потенциометрического титрования. Использовано программное обеспечение Microsoft Excel, SigmaPlot, Statistica.
Результаты экспериментальных исследований показали, что при обработке глин давлением наблюдается уменьшение содержания ионов алюминия (Al3+) в пакетах каолинита и монтмориллонита, переход ионов Al3+ в диффузный слой глинистой частицы, где ионы алюминия связывают гидроксильные ионы, в то время как освободившиеся ионы водорода повышают кислотность суспензии. Активация давлением каолиновой и бентонитовой глин разнонаправленно влияет на изменение ионообменной емкости глин и, как следствие, на водородный показатель точки нулевого заряда поверхности глинистых частиц. Были разработаны статистические модели, которые позволяют прогнозировать рН точки нулевого заряда по данным давления активации глин. Знание о характеристиках заряда на поверхности глинистых частиц дает возможность объяснения механизма сорбции и других процессов.
Ключевые слова
Полный текст
Введение
Для объяснения механизма сорбции веществ различной природы на поверхности глинистых минералов необходима количественная информация о поверхностном заряде. Для улучшения адсорбционных свойств разработаны различные методы активации глины, которые влияют на изменение состава и структуры глин. Наиболее распространенными методами активации глин являются: термообработка [1–4], химическая [5–9], физическая [10–15], механическая [16–20] и комплексная [21, 22]. Несмотря на то, что разработано множество методов обработки глин, не многие используют в своих экспериментах активацию глин давлением. Результаты изученности влияния давления на различные свойства глин можно увидеть в работах [23–25]. При взаимодействии твердой компоненты с поровым раствором протекают обменные процессы, которые формируют величину и вид заряда на поверхности частиц. Глины различных месторождений отличаются физико-химическими свойствами, что непосредственно влияет на величину точки нулевого заряда (ТНЗ). Наиболее детально этими вопросами занимались М.В. Федоров, В.В. Середин, И.В. Лунегов [26], Д.С. Нестеров [27], Gang Yang, Q. Li и др. [28]. Величина и заряд во многом контролируются значениями водородного показателя порового раствора. ТНЗ – одна из важнейших характеристик дилюента. Изучению закономерности формирования ТНЗ на поверхности глин посвящено много работ, таких как [29–32]. Теоретические исследования показали, что вопросы оценки влияния высокого давления на изменения pH ТНЗ изучены недостаточно полно, поэтому была поставлена цель выявить закономерности формирования ТНЗ глинистых частиц, подверженных давлению.
Объект исследования
Объектами исследований являлись каолиновая глина Нижне-Увельского месторождения Челябинской области и бентонитовая глина Зыряновского месторождения Курганской области. Состав исследуемых глин определен результатами рентгеноструктурного анализа. По данным исследований [27], используемые глины имеют следующий состав:
- каолиновая глина состоит из каолинита (76,7 %), монтмориллонита (15,6 %), кварца (7,7 %);
- бентонитовая глина состоит из монтмориллонита (81,1 %), кварца (14,1 %), плагиоклазов (1,9 %), каолинита (0,8 %), гидрослюды (0,8 %), кальцита (0,9 %), калиево-полевых шпатов (0,4 %).
Методика
Для проведения исследования в качестве образцов были выбраны глины Челябинского каолинита и Курганского бентонита. Подготовка образцов проходила в несколько этапов.
На первом этапе глину отмучивают, согласно ГОСТ 3594.9-77, для получения чистой глинистой фракции. Данный метод позволяет разделять измельченные материалы на фракции по крупности, также определять их дисперсный состав [33].
Отмученные образцы глинистой фракции были высушены, перетерты и обработаны высоким давлением по специальной методике [34]. После подготовки образца производят градуировку ph-метра по буферным растворам и производят титрование.
Титрование раствора без глины
Сначала титруют растворы без глины. Для получения кривой титрования в отсутствие адсорбента (глины) отбирали 30 мл 0,1 М раствора KCl и помещали в колбу для титрования, в которую также добавляли 30 мл дистиллированной воды. Далее погружали в раствор электрод (использовался комбинированный стеклянный электрод ЭСК-10601/7) и проводили титрование, во время которого фиксировали:
- значение рН до добавления титранта;
- значение рН после каждого добавления титранта в объеме V=100–1000 мкл;
Титрование проводили до стабилизации рН и фиксировали объем титранта, при котором произошла стабилизация рН.
После каждого добавления титранта в раствор значение рН выводились на экран рН-метра «анион 4100». Время установления каждого записанного значения рН составляло примерно 30 секунд.
Для титрования в кислой области раствор (KCl+H2O) титровали 0,1 М раствором HCl. Раствор титранта добавляли по 0,1 мл (100 мкл) с помощью микродозатора. В щелочной области титрование осуществляли 0,1 М раствором NaOH, который добавляли в аналогичных количествах.
Приготовленный исходный раствор KCl объемом 60 мл разделяли на две части: одну часть титровали кислотой, вторую часть – щелочью.
Титрование глинистых суспензий
В сухие колбы помещали навески глин по 0,6 г, наливали 30 мл 0,1 М раствора KCl и добавляли 30 мл воды, таким образом, общий объем жидкости составил 60 мл.
Колбы, закрытые пробками, помещали в аппарат для встряхивания на протяжении одного часа. После встряхивания суспензии в колбах были оставлены до полного процесса адсорбции на сутки.
Из подготовленной глинистой суспензии отбирали несколько параллельных проб и определяли рН исходной не фильтрованной суспензии. Наличие глины в виде взвеси при измерении рН обеспечивает получение более точных результатов.
В качестве титранта в кислой области использовали раствор 0,1 М HCl, а в щелочной – 0,1 М NaOH. Важно отметить, что соляная кислота и гидроксид натрия также выступали в качестве регулятора рН среды.
Затем добавляли титрант в объеме V=100–1000 мкл, и измеряли рН. Эксперимент повторяли до тех пор, пока значение водородного показателя не стабилизировалось. В этом случае катионный обмен считается равновесным. Исследования проводили для образцов глин, обработанных давлением Р=0–800 МПа. Результаты эксперимента заносили в таблицу.
По данным значений рН в зависимости от объема титранта для каждого давления Р=0–800 МПа строились кривые титрования суспензий в программе SigmaPlot и определяли значение ТНЗ.
Следующим этапом рассчитывают ТНЗ.
Результаты исследования и их обсуждение
Изменение водородного показателя суспензии каолиновой глины
Экспериментальные данные по изменению водородного показателя суспензии каолиновой глины, обработанной давлением, в растворе KCl и дистиллированной воды показали, что при увеличении давления до 150 МПа (класс 1) наблюдается уменьшение величины водородного показателя, с увеличением давления от 200 до 800 МПа (класс 2) рН практически не изменяется.
Уменьшение величины водородного показателя суспензии каолиновой глины обуславливается уменьшением содержания ионов Al3+ в пакетах каолинита, переход ионов Al3+ в диффузный слой глинистой частицы, где ионы Al3+ связывают гидроксильные ионы, а освободившиеся ионы водорода повышают кислотность суспензии.
При добавлении к суспензии каолиновой глины, обработанной давлением, в растворе KCl и дистиллированной воды раствора 0,1 М HCl значение водородного показателя возрастает вместе с увеличением давления, однако при добавлении раствора 0,1 М NaOH закономерность изменения водородного показателя от давления отсутствует.
Изменение водородного показателя суспензии бентонитовой глины
Экспериментальные данные по изменению водородного показателя суспензий бентонитовой глины, обработанной давлением, в растворе KCl и дистиллированной воды показали, что с увеличением давления величина рН практически не изменяется. Добавление к суспензии бентонитовой глины раствора 0,1 М HCl и 0,1 М NaOH также не оказывает существенного влияния на формирование закономерности изменения водородного показателя.
Результаты экспериментальных данных отображены на рис. 1.
Кривые потенциометрического титрования бентонитовой и каолиновой глин при давлениях 0 и 800 МПа приведены на рис. 2.
Из рис. 2 видно, что обработка глин давлением оказывает влияние на объем титранта. Для формирования рН=3 при Р=0 МПа к бентонитовой глине необходимо добавить 1300 мкл HCl, при Р=800 МПа – 2500 мкл HCl. Для достижения величины рН=3 при Р=0 МПа к каолиновой суспензии необходимо добавить 550 мкл HCl, при Р=800 МПа – 2600 мкл HCl. Это объясняется тем, что при выходе ионов Al3+ из кристаллической решетки глинистых минералов при обработке их давлением образуются отрицательно заряженные энергетические центры, которые компенсируются ионами водорода из раствора. При увеличении давления число таких центров увеличивается, значит, и необходимый объем HCl становится больше.
Выход ионов Al3+ из октаэдрического слоя в каолините происходит более активно, чем в бентоните, что обусловлено их кристаллическим строением. В случае каолинита вытеснение ионов алюминия происходит как с поверхности минерала, так и с боковых сколов, в то время как у бентонита вытеснение преимущественно только с боковых сколов.
Влияние давления на изменения рН суспензии при объеме титранта V=3000 мкл HCl приведено на рис. 3.
Рис. 1. Графики зависимости изменения водородного показателя суспензии бентонитовой (а) и каолиновой (б) глин при давлении Р=0–800 МПа
Fig. 1. Dependence of changes in the hydrogen index of a bentonite (a) and kaolin (b) clays suspensions at pressure P=0–800 MPa
Рис. 2. Кривые потенциометрического титрования бентонитовой (а) и каолиновой (б) глин при давлениях 0 и 800 МПа
Fig. 2. Potentiometric titration of bentonite (a) and kaolin (b) clays at pressure of 0 and 800 MPa
Рис. 3. Влияние давления на изменения рН суспензии бентонитовой (а) и каолиновой (б) глин при объеме титранта V=3000 мкл
Fig. 3. Influence of pressure on pH changes of bentonite (a) and kaolin (b) clay suspensions at titrant volume V=3000 mcl
Из рис. 3 видно, что рН суспензии бентонитовой и каолиновой глин, достигнутая добавлением в суспензию 3000 мкл HCl, возрастает с увеличением давления. Таким образом, давление обработки глин оказывает существенное влияние на изменение рН порового раствора.
Оценка ионообменной емкости глин, обработанных давлением
Для оценки процессов ионного обмена между твердой и жидкой компонентами грунта необходимо знать время достижения равновесия катионного и анионного обмена поверхности минералов и порового раствора. Для каолиновой и бентонитовой глин время равновесия составило 24 часа. На основании экспериментальных данных по кривым потенциометрического титрования бентонитовой и каолиновой глин при давлении Р=0–800 МПа рассчитаны их ионообменные емкости QH+/OH– (ммоль/г) по зависимости:
QH+/OH– =C(V–V0)/m,
где С=0,1М – концентрация титранта; V и V0 – объем титранта с ионитом глины и без него, мл; m – навеска глины, г.
Если ионный обмен протекает положительно, то считается, что происходит катионный обмен, в противном случае анионный.
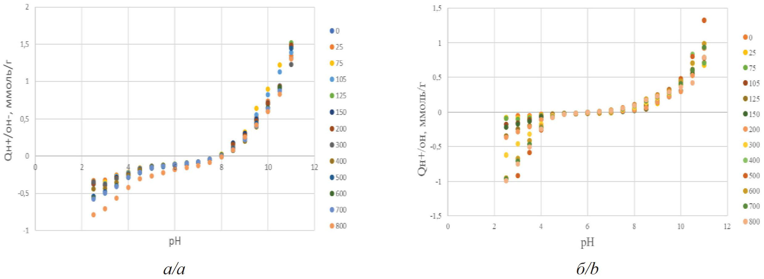
Результаты расчетов ионообменной емкости глин представлены на рис. 4. Из рисунков видно, что давление оказывает большее влияние на анионную емкость, чем на катионную. В каолине эта закономерность выражена более четко, чем в бентонитовой глине.
Минеральный состав также оказывает влияние на ионную емкость глин. Так, катионная емкость в бентонитовой глине составляет QH+/OH–=0,94 ммоль/г при Р=0 МПа и рН=10,5, а в каолине QH+/OH– = =0,56 ммоль/г при Р=0 МПа и рН=10,5. Результаты влияния минерального состава на ионную емкость глин приведены на рис. 4.
Рис. 4. Зависимость ионообменной емкости QH+/OH– бентонитовой (а) и каолиновой (б) глины от pН и давления
Fig. 4. Dependence of the ion exchange capacity of QH+/OH– bentonite (a) and kaolin (b) clay on pH and pressure
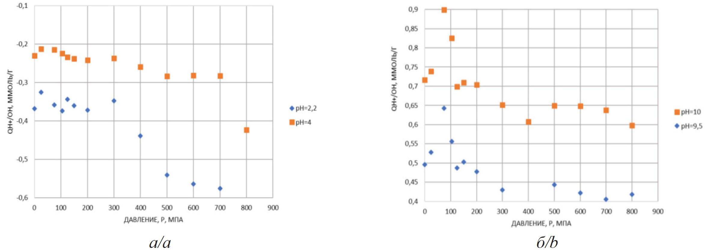
Рис. 5. Зависимость анионообменной емкости QH+/OH– бентонитовой глины от давления при рН=2,2 и рН=4 (а) и зависимость катионообменной емкости QH+/OH– бентонитовой глины от давления при рН=10 и рН=9,5 (б)
Fig. 5. Dependence of the anion exchange capacity QH+/OH– of bentonite clay on pressure at pH=2,2 and pH=4 (a) and dependence of the cation exchange capacity QH+/OH– of bentonite clay on pressure at pH=10 and pH=9,5 (b)
Из рис. 5 видно, что при увеличении давления до Р=75–125 МПа катионная емкость бентонитовой глины возрастает, в то время как анионная, наоборот, снижается. При увеличении давления до Р=800 МПа наблюдается обратная закономерность, катионообменная емкость снижается, анионообменная возрастает.
Определение водородного показателя рН ТНЗ поверхности глинистых минералов определяется путем снятия отсчета в точке пересечения кривой с осью абсцисс на графике ионообменной емкости. Результаты определений рН ТНЗ приведены в таблице и на рис. 6.
Из рис. 6 видно, что рН ТНЗ бентонитовой глины снижается при давлениях до 150–200 МПа (класс 1) и возрастает при Р=200–800 МПа (класс 2). рН ТНЗ каолиновой глины снижается как при давлениях до Р=150–200 МПа (класс 1), так и при Р=200–800 МПа (класс 2). Обоснование граничного значения Р=150–200 МПа приведено в работе [35].
Таблица. Расчетные значения точки нулевого заряда глин
Table. Calculated values of the point of zero charge of clays
Давление, МПа Pressure, MPa | рН точки нулевого заряда рН of the point of zero charge | |
Бентонитовая глина Bentonite clay | Каолиновая глина Kaolin clay | |
0 | 8,05 | 7,06 |
25 | 8,03 | 7,25 |
75 | 7,94 | 7,14 |
105 | 7,91 | 6,95 |
125 | 7,88 | 6,66 |
150 | 7,95 | 6,88 |
200 | 7,92 | 6,65 |
300 | 7,85 | 6,33 |
400 | 7,92 | 6,21 |
500 | 7,86 | 6,09 |
600 | 8,00 | 6,00 |
700 | 7,99 | 6,14 |
800 | 8,04 | 6,12 |
Рис. 6. Влияние давления активации бентонитовой (а) и каолиновой (б) глины на pH ТНЗ
Fig. 6. Influence of the activation pressure of bentonite (a) and kaolin (b) clay on the pH of the point of zero charge
Для разработки математических моделей использованы данные по двум классам. Результаты расчетов прогноза водородного показателя рН ТНЗ, при котором заряд на поверхности глинистой частицы равен нулю, в зависимости от давления (Р) активации глин по выделенным классам:
- Класс 1 рН ТНЗ=8,0376–0,001*Р; r=–0,8455; p=0,0339;
- Класс 2 рН ТНЗ=7,8114+0,0003*Р; r=0,7679; p=0,0438.
Для каолиновой глины (рис. 6) изменение рН ТНЗ от давления подчиняется иной закономерности. С увеличением давления до 600 МПа наблюдается закономерное уменьшение водородного показателя рН ТНЗ с 7,25 до 6,00.
Уравнения связи имеют следующий вид:
- Класс 1 рН ТНЗ=7,198–0,0026*Р; r=–0,7267; p=0,1018;
- Класс 2 рН ТНЗ=6,6093–0,0008*Р; r=–0,7802; p=0,0385.
Таким образом, активация давлением каолиновой и бентонитовой глин разнонаправленно влияет на изменение ионообменной емкости глин и, как следствие, на водородный показатель точки нулевого заряда поверхности глинистых частиц. Предложенные математические модели позволяют прогнозировать рН ТНЗ по данным давления активации глин.
Формирование нулевого заряда на поверхности глинистых частиц, обработанных давлением
Водородный показатель ТНЗ – это значение рН, при котором общий чистый заряд поверхности частицы равен нулю. Значение pH ТНЗ является важной электрохимической характеристикой. Если значение рН порового раствора будет превышать значение pH ТНЗ (рНпор>рН ТНЗ), то минерал будет способен к поглощению, в основном катионов. Если значение рHпор<рH ТНЗ, то минерал поглощает преимущественно анионы.
Глинистые минералы способны менять знак потенциала на боковых сколах при изменении рН среды. Так, в кислой среде поверхности глинистых частиц гетеропотенциальные: базальные поверхности имеют отрицательный потенциал, боковые сколы – положительный. В щелочной среде базальные поверхности минералов и их сколы несут одинаковый отрицательный потенциал [36].
Каолиновая глина. Экспериментально установлено, что при увеличении давления активации глины водородный показатель ТНЗ уменьшается с 7,3 до 6,0. Это свидетельствует о том, что давление формирует на поверхности глинистых частиц энергетические центры, заряженные преимущественно отрицательно. Данный вывод согласуется с результатами исследований В.В. Середина и др. [37]. Для формирования нулевого заряда на поверхности частиц каолина его необходимо компенсировать положительно заряженными ионами. Повышение кислотности порового раствора на 1,3 единицы (рН ТНЗ с 7,3 до 6,0), то есть увеличение в поровом растворе ионов водорода, свидетельствует о том, что положительно заряженные ионы Н+ порового раствора компенсируют отрицательный заряд поверхности частицы каолина, тем самым формируя рН ТНЗ.
Бентонитовая глина. Выявлено, что при увеличении давления до 200 МПа водородный показатель ТНЗ уменьшается с 8,05 до 7,85. При увеличении давления до 800 МПа водородный показатель ТНЗ возрастает до 8,04. Выявленная закономерность свидетельствует о том, что давление активации глин изменяет незначительно величину положительно заряженных боковых поверхностей частиц. Для формирования нулевого заряда на поверхности частиц их необходимо компенсировать отрицательно заряженными ионами гидроксильных групп ОН–. Уменьшение щелочности порового раствора на 0,2 единицы (рН ТНЗ с 8,05 до 7,85), то есть увеличение в поровом растворе ионов ОН–, свидетельствуют о том, что отрицательно заряженные ионы ОН– порового раствора компенсируют положительный заряд поверхности частицы, тем самым формируя рН ТНЗ.
Таким образом, обработка глин давлением формирует дефектность структуры минералов каолинита и монтмориллонита [38]. Изменение структуры минералов оказывает разнонаправленное влияние на энергетический потенциал поверхности частиц. Поэтому величина рН ТНЗ также разнонаправленно реагирует на активацию давлением глин. При этом рН ТНЗ порового раствора в бентонитовой глине реагирует на давление в 6 раз меньше, чем в каолиновой глине.
Заключение
В результате эксперимента были сделаны следующие выводы:
- При обработке глин давлением наблюдается уменьшение содержания ионов Al3+ в пакетах каолинита и монтмориллонита, переход ионов Al3+ в диффузный слой глинистой частицы, где ионы Al3+ связывают гидроксильные ионы, а освободившиеся ионы водорода повышают кислотность суспензии.
- Активация давлением каолиновой и бентонитовой глин разнонаправленно влияет на изменение ионообменной емкости глин и, как следствие, на водородный показатель точки нулевого заряда поверхности глинистых частиц.
По результатам лабораторных исследований были получены статистические модели, которые позволяют прогнозировать рН ТНЗ по величине давления на глины.
Об авторах
Валерий Викторович Середин
Пермский государственный национальный исследовательский университета
Автор, ответственный за переписку.
Email: seredin@nedra.perm.ru
ORCID iD: 0000-0002-9234-7831
доктор геолого-минералогических наук, профессор, заведующий кафедрой инженерной геологии и охраны недр
Россия, г. ПермьКсения Валерьевна Шеина
Пермский государственный национальный исследовательский университета
Email: k.shieina@mail.ru
ORCID iD: 0009-0007-2636-7854
магистрант кафедры инженерной геологии и охраны недр
Россия, г. ПермьОльга Сергеевна Ситева
Пермский государственный национальный исследовательский университета
Email: ol_sit@rambler.ru
преподаватель кафедры инженерной геологии и охраны недр
Россия, г. ПермьСписок литературы
- Кара-Сал Б.К., Сапелкина Т.В. Повышение адсорбционных свойств глинистых пород Тувы в зависимости от методов активации // Актуальные проблемы современной науки. – 2012. – № 5. – С. 158–162.
- Мосталыгина Л.В., Елизарова С.Н., Костин А.В. Бентонитовые глины Зауралья: экология и здоровье человека: монография. – Курган: Изд-во Курганского государственного университета, 2010. – 148 с.
- Zhu H.Y., Ma Q., Lu G.Q. Influence of heat treatments on the pore and adsorption characteristics of sodium doped alumina pillared bentonite // Journal of Porous Materials. – 1999. – Vol. 6. – P. 135–142. doi: 10.1023/A:1009683422478
- Barakan S., Aghazadeh V. The advantages of clay mineral modification methods for enhancing adsorption efficiency in wastewater treatment: a review // Environmental Science and Pollution Research. – 2021. – Vol. 28. – P. 2572–2599. doi: 10.1007/s11356-020-10985-9
- Sorption behavior and mechanism of simulated radionuclide Nd(III) from aqueous solution by bentonite / F.Y. Huang, Z. Wang, F.C. Yi, Y. Liu, Y.D. Wu, Y. Luo, W.J. Jia // Russian Journal of Physical Chemistry A. – 2022. – Vol. 96. – P. 1077–1084. doi: 10.1134/S0036024422050107
- Исследование эффективности сорбции ионов Cu (II) и Pb (II) нативными формами монтмориллонитовых глин Белгородской области / А.И. Везенцев, Л.Ф. Голдовская, Н.А. Воловичева, С.В. Королькова // Сорбционные и хроматографические процессы. – 2008. – Т. 8. – № 5. – С. 807–811.
- Adsorptive behaviour of rutile phased titania nanoparticles supported on acid-modified kaolinite clay for the removal of selected heavy metal ions from mining wastewater / M.A. Ajala, A.S. Abdulkareem, J.O. Tijani, A.S. Kovo // Applied Water Science. – 2022. – Vol. 12. – Article number 19. doi: 10.1007/s13201-021-01561-8
- Zirconia-intercalated kaolinite: synthesis, characterization, and evaluation of metal-ion removal activity / K.S. Abou-El-Sherbini, M.A. Wahba, E.A. Drweesh, A.I.M. Akarish, S.A. Shaban, E.A.M. Elzahany // Clays and Clay Minerals. – 2021. – Vol. 69. – P. 463–476. doi: 10.1007/s42860-021-00134-9
- Potential use of alkali activated clay from common deposit for removal of methylene blue dye / F. Al-Slaty, K. Ibrahim, S. Fayez, E.N. Mahmoud // Arabian Journal of Geosciences. – 2022. – Vol. 15. – 1355. doi: 10.1007/s12517-022-10550-3
- Removal of crystal violet cationic dye from aqueous solution by adsorption onto bentonite clay: experimental, DFT, NBO, and molecular dynamics studies / F.Z. Ankouri, H. Lamkhanter, A. Jaafar, Z. Lakbaibi, H. Mountacer // Chemistry Africa. – 2022. doi: 10.1007/s42250-022-00579-y
- Microstructure-related Pb2+ adsorption capability of Ti-pillared montmorillonite in aqueous solution / J. Liu, R. Chen, Y. Li, J. Chen, L. Chen, J. Gao, G. Li // Clays and Clay Minerals. – 2018. – Vol. 66. – P. 466–473. doi: 10.1346/CCMN.2018.064112
- Ультразвуковая обработка дисперсий глинистых минералов / Н.Н. Круглицкий, С.П. Ничипоренко, В.В. Симуров, В.В. Минченко. – Киев: Наукова Думка, 1971. – 198 с.
- Скорик Ю.И. Получение и исследование органических производных каолина и хризотил-асбеста: автореф. дис. … канд. хим. наук. – Л., 1966. – 16 с.
- Чекмарев А.С. Акустическая обработка глинистых суспензий с целью регулирования технологических свойств глины месторождения Шеланга: дис. … канд. техн. наук. – Казань, 2010. – 192 с.
- Влияние ультразвуковой обработки на свойства трепела / Ю.Н. Пятко, Р.Т. Ахметова, А.И. Хацринов, В.Х. Фахрутдинова, А.Ю. Ахметова, А.М. Губайдуллина // Фундаментальные исследования. – 2015. – № 12-2. – С. 320–324. URL: https://fundamental-research.ru/ru/article/view?id=39413 (дата обращения: 02.03.2023).
- Болдырев В.В. Механохимия и механическая активация твердых веществ // Успехи химии. – 2006. – Т. 75. – № 3. – С. 203–216. doi: 10.1070/RC2006v075n03ABEH001205
- Anyukhina A.V., Seredin V.V. Concerning adsorption of clays subjected by heat and chemical activation // Lecture Notes in Networks and Systems. – 2022. – Vol. 342. – P. 218–226. doi: 10.1007/978-3-030-89477-1_21
- Середин В.В., Ядзинская М.Р., Маковецкий О.А. Влияние высокого давления на изменение структуры пакета, минерала, коллоида и агрегата бентонитовой глины // Известия Томского политехнического университета. Инжиниринг георесурсов. – 2022. – Т. 333. – № 12. – С. 37–45. doi: 10.18799/24131830/2022/12/3576
- Turki T., Frini-Srasra N., Srasra E. Environmental application of acid activated kaolinite-glauconite clay assisted by microwave irradiation // Silicon. – 2022. – Vol. 14. – P. 7939–7949. doi: 10.1007/s12633-021-01531-4
- Compressive behavior of kaolinitic clay under chemo-mechanical loadings / D. Yang, R. Yan, T. Ma, C. Wei // Acta Geotechnica. – 2023. – Vol. 18. – P. 77–94. doi: 10.1007/s11440-022-01554-0
- The effect of pressure on order/disorder in kaolinite under wet and dry conditions / E. Galán, P. Aparicio, Á. La Iglesia, I. González // Clays and Clay Minerals. – 2006. – Vol. 54. – P. 230–239. doi: 10.1346/CCMN.2006.0540208
- Nouri N., Tasviri M., Ghasemzadeh H. Developing an efficient catalyst based on thermal and acid-treated clay for the removal of trace olefins from aromatic compounds // Clays and Clay Minerals. – 2021. – Vol. 69. – P. 105–116. doi: 10.1007/s42860-020-00108-3
- Range K.J., Range A., Weiss A. Fire-clay type kaolinite or fire-clay mineral? Experimental classification of kaolinite-halloysite minerals // Proceedings of the International Clay Conference. – Tokyo, 1969. – Vol. 1. – P. 3–13.
- La Iglesia A. Pressure induced disorder in kaolinite // Clay Minerals. – 1993. – Vol. 28. – Iss. 2. – P. 311–319. doi: 10.1180/claymin.1993.028.2.11
- Zou Wl., Han Z., Ye Jb. Influence of external stress and initial density on the volumetric behavior of an expansive clay during wetting // Environmental Earth Sciences. – 2020. – Vol. 79. – P. 211. doi: 10.1007/s12665-020-08960-1
- Fyodorov M.V., Seredin V.V., Lunegov I.V. Change in the adhesion force of clay soils modified by hydrochloric acid and pressure // Lecture Notes in Networks and Systems. – 2022. – Vol. 342 LNNS. – P. 236–244. doi: 10.1007/978-3-030-89477-1_23
- Нестеров Д.С., Королев В.А. Факторы, определяющие поверхностный заряд частиц глинистых минералов // Argilla Studium-2017: Материалы Пятой Российской Школы по глинистым минералам. – М.: ИГЕМ РАН, 2017. – С. 158–161.
- Yang G., Li Q., Li H. Measurement of surface charges and mechanism of interfacial processes for soil clay minerals // Eurasian Soil Science. – 2021. – Vol. 54. – P. 1546–1563. doi: 10.1134/S1064229321100136
- Юдин А.А., Вареников А.С., Осипова Е.А. Определение зависимости pH точки нулевого заряда модифицированного кислотной обработкой бентонита от температуры прокаливания // Университетский комплекс как региональный центр образования, науки и культуры: Материалы Всероссийской научно-методической конференции. – Оренбург: Оренбургский государственный университет, 2020. – С. 2626–2629.
- Во Дай Ту. Изучение физико-химических особенностей процессов, протекающих на поверхности минеральных дисперсий: дис. … канд. хим. наук. – Иркутск, 2012. – 141 с.
- Криаа А., Хамди Н., Срасра Э. Химия кислотно-основных взаимодействий для монтмориллонита и бейделит-монтмориллонитного смектита // Электрохимия. – 2007. – Т. 43. – № 2. – С. 175–187.
- Change of the point of zero net proton charge (pHPZNPC) of clay minerals with ionic strength / W. Hao, S.L. Flynn, D.S. Alessi, K.O. Konhauser // Chemical Geology. – 2018. – Vol. 493. – P. 458–467. doi: 10.1016/j.chemgeo.2018.06.023
- Korolev V.A., Nesterov D.S. Regulation of clay particles charge for design of protective electrokinetic barriers // Journal of Hazardous Materials. – 2018. – Vol. 358. – P. 165–-170. doi: 10.1016/j.jhazmat.2018.06.023
- Влияние давления на структуру каолинита в огнеупорных глинах Нижне-увельского месторождения по данным ИК-спектроскопии / О.С. Ситева, Н.А. Медведева, В.В. Середин, Д.В. Иванов, К.А. Алванян // Известия Томского политехнического университета. Инжиниринг георесурсов. – 2020. – Т. 331. – № 6. – С. 208–217. doi: 10.18799/24131830/2020/6/2690
- Влияние давления на площадь активной поверхности частиц глинистых грунтов / В.В. Середин, А.В. Растегаев, Н.А. Медведева, Т.Ю. Паршина // Инженерная геология. – 2017. – № 3. – С. 18–27.
- Изучение основных закономерностей и параметров сорбции ионов цинка бентонитовой глиной Зырянского месторождения Курганской области / М.А. Щурова, Л.В. Мосталыгина, С.Н. Елизарова, А.В. Костин // Инновации в науке. – 2020. – № 9. – С. 19–-24.
- Galkin V., Seredin V. Absorption properties of pressure activated bentonite clay // AIP Conference Proceedings. – 2021. – Vol. 2442. – 030009. doi: 10.1063/5.0075378
- Изменение физико-химических свойств глин, подверженных давлению / В.В. Середин, О.С. Ситева, К.А. Алванян, А.В. Андрианов // Недропользование. – 2020. – Т. 20. – № 4. – С. 304–316. doi: 10.15593/2712-8008/2020.4.1
Дополнительные файлы








