Новые двусторонние оценки полных эллиптических интегралов первого и второго рода
- Авторы: Алексеева Е.С., Рассадин А.Э.
- Выпуск: Том 9, № 12 (2021)
- Страницы: 16-24
- Раздел: Статьи
- Статья получена: 10.02.2025
- Статья одобрена: 10.02.2025
- URL: https://ogarev-online.ru/2311-2468/article/view/279404
- ID: 279404
Цитировать
Полный текст
Аннотация
В работе доказаны две теоремы, в которых установлены оценки снизу и сверху для полных эллиптических интегралов первого и второго рода, выражающиеся через элементарные функции. Эти теоремы применены к модельному геометрическому примеру. Кроме того, в статье представлены графики зависимостей от модуля этих интегралов как полученных оценок, так и их относительных погрешностей. Применимость найденных аппроксимаций для технических приложений также обсуждена.
Ключевые слова
Полный текст
Необходимость в вычислении значений полных эллиптических интегралов первого:
(1)
и второго рода:
(2)
часто возникает в самых разнообразных задачах (см., например, [1, 2]).
При фиксированном k Î(0,1) существует целый ряд алгоритмов для определения величин интегралов (1) и (2). Например, полный эллиптический интеграл первого рода можно вычислять методом арифметико-геометрического среднего, который предложил ещё К.Ф. Гаусс [3, с. 160], а полный эллиптический интеграл второго рода можно найти способом, описанным в [4]. Однако для теоретического исследований выражений, содержащих функции (1) и (2), эти методы неудобны. Более эффективными в такой ситуации являются двусторонние оценки интегралов (1) и (2). Примеры таких оценок дают следующие теоремы.
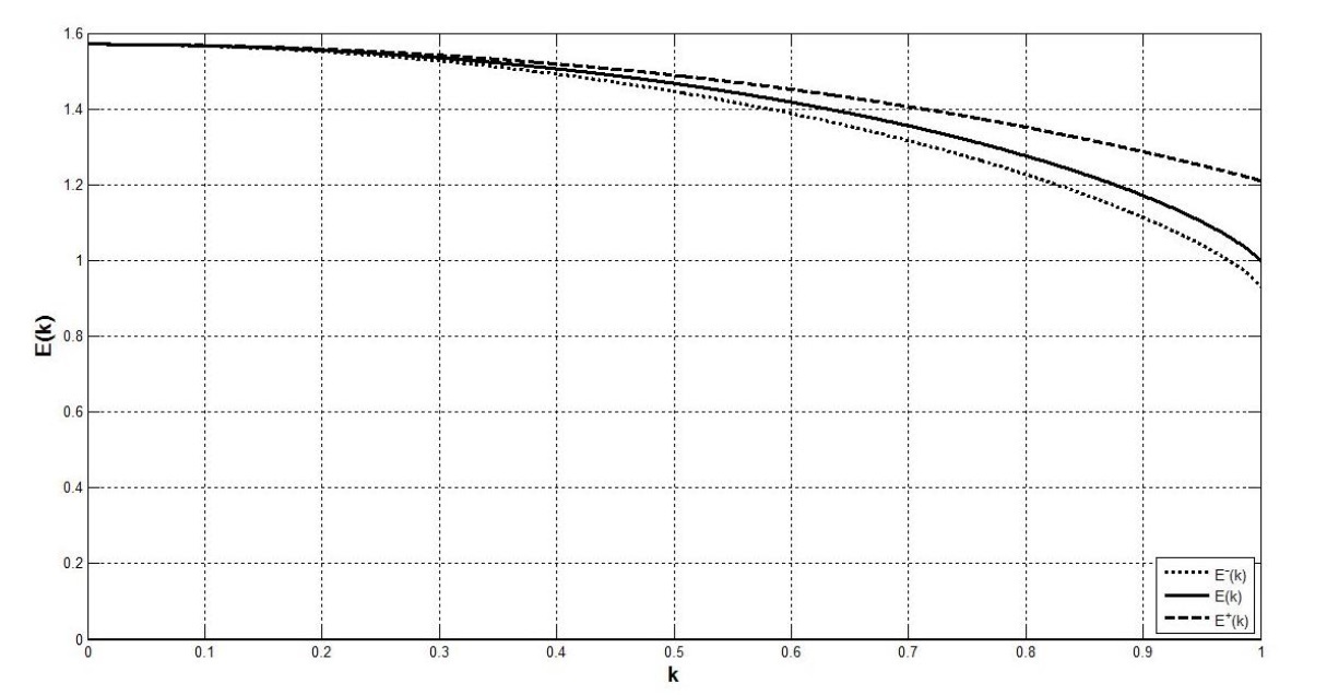
Теорема 1. При k Î[0, 1] полный эллиптический интеграл второго рода удовлетворяет неравенствам:
(3)
где
(4)
и
(5)
Доказательство. При k Î[0,1) производная от функции (2) по модулю k имеет вид:
(6)
Представим подинтегральное выражение в правой части формулы (6) как произведение двух функций: , и применим к этому интегралу как прямое, так и обратное неравенство Гёльдера [5, с. 11].
Сначала выберем следующие значения показателей Гёльдера: , тогда прямое неравенство Гёльдера есть не что иное, как неравенство Коши-Буняковского, а равенство (6) при даёт:
(7)
Интегралы в правой части этого неравенства вычисляются элементарно. Таким образом, неравенство (7) сводится к следующей оценке для производной от функции (2):
(8)
Интегрируя неравенство (8) по модулю эллиптического интеграла от 0 до k , используя свойства интеграла Римана и учитывая, что E(0) = p 2 , получим, что при с функцией (4) в левой части этого неравенства. Справедливость неравенства при k = 0 и k = 1 проверяется непосредственно.
Далее, применим к выражению (6) обратное неравенство Гёльдера [5, с. 16] с показателями Гёльдера p = 1 2 (для функции f (j) ) и q = -1 (для функции g (j ) ):
(9)
Неравенство (9) даёт для производной функции (2) следующую оценку:
(10)
Обращаясь с неравенством (10) так же, как и в предыдущем случае, для получим неравенство E(k ) £ E+ (k ) с функцией (5) в правой части этого неравенства. Справедливость неравенства при k = 0 и k = 1 проверяется непосредственной проверкой. Теорема доказана.
Теорема 1 иллюстрируется рис. 1, на котором представлены графики двусторонней оценки (3). Они демонстрируют, что при k Î(0,1) функции (4) и (5) приближают функцию (2) весьма неплохо.
Рис. 1. Оценки полного эллиптического интеграла второго рода.
Для того, чтобы выразить количественно, насколько хорошо приближают полный эллиптический интеграл второго рода его оценки снизу (4) и сверху (5), введём относительные погрешности:
(11)
Графики функций (11) в зависимости от модуля k полного эллиптического интеграла приведены на рис. 2. Из этого рисунка видно, что dE- (k ) < 0,05 при k Î[0, 0, 9] , а dE+ (k ) < 0,05 при k Î[0, 0, 76] , следовательно, при k Î[0, 0, 76] функции (4) и (5) можно применять при решении прикладных задач для оценки полного эллиптического интеграла второго рода с инженерной точностью.
Рис. 2. Относительная погрешность оценок полного эллиптического интеграла второго рода.
Аналогичная теорема может быть доказана и для функции (1).
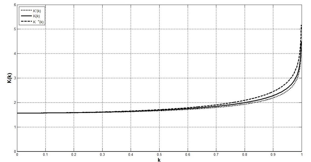
Теорема 2. При k Î[0,1) полный эллиптический интеграл первого рода удовлетворяет неравенствам:
(12)
где
(13)
и
(14)
Доказательство. В работе [6] выведена следующая нелокальная связь между функциями (1) и (2), справедливая при k Î[0,1) :
(15)
Комбинируя соотношение (15) с двусторонней оценкой (3) с функциями (4) и (5) и выполняя элементарное интегрирование, придём к двусторонней оценке (12) с функциями (13) и (14). Теорема доказана.
На рис. 3, который иллюстрирует утверждение теоремы 2, приведены графики двусторонней оценки (12).
Рис. 3. Оценки полного эллиптического интеграла первого рода.
Из этого рисунка видно, что при k Î[0,1) функции (13) и (14) приближают функцию (1) довольно хорошо.
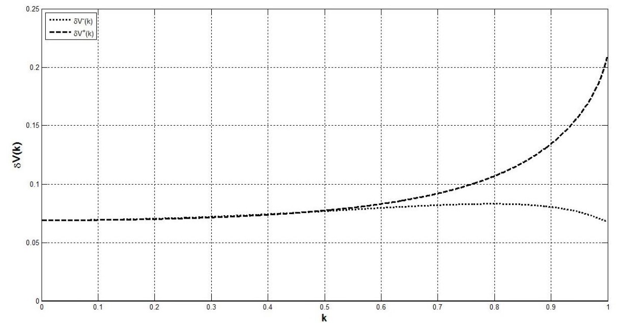
Для того, чтобы выразить количественно, насколько хорошо приближают полный эллиптический интеграл первого рода его оценки снизу (13) и сверху (14), введём относительные погрешности:
(16)
Графики зависимостей функций (16) от модуля k полного эллиптического интеграла приведены на рис. 4. По нему можно заметить, что dK- (k) < 0,05 при k Î[0, 0, 99] , а dK+ (k) < 0,05 при k Î[0, 0, 81] , значит, при k Î[0, 0, 81] функции (13) и (14) можно применять при решении прикладных задач для оценки полного эллиптического интеграла первого рода с инженерной точностью.
Рис. 4. Относительная погрешность оценок полного эллиптического интеграла первого рода.
Продемонстрируем применение доказанных теорем на следующем примере.
Рассмотрим два круговых цилиндра радиусов 1 и k ( 0 < k < 1), оси которых пересекаются под прямым углом (см. рис. 5).
Рис. 5. Круговые цилиндры разных радиусов с осями, пересекающимися под прямым углом.
Объём тела, ограниченного ими, равен [7, с. 214]:
(17)
Комбинируя неравенства (3) и (12), для величины (17) легко получить следующую двустороннюю оценку:
(18)
где
(19)
и
(20)
Графики функций (17), (19) и (20) в зависимости от модуля k полного эллиптического интеграла приведены на рис. 6.
Рис. 6. Оценки объёма пересечения двух круговых цилиндров разных радиусов с осями, пересекающимися под прямым углом.
Для количественной характеризации качества приближения объёма (17) величинами (19) и (20), построенными с помощью функций (4), (5), (13), (14), как и ранее, введём относительные погрешности:
(21)
Графики зависимостей функций (21) от модуля k полного эллиптического интеграла приведены на рис. 7.
Рис. 7. Относительная погрешность оценок объёма пересечения двух круговых цилиндров разных радиусов с осями, пересекающимися под прямым углом.
Из этого графика видно, что dV ± (k) > 0,05 при всех k Î (0,1) , при этом кривая dV + (k ) уходит вверх до заметных значений. Однако кривая dV - (k ) остаётся ограниченной и снизу, и сверху: 0,068 < dV - (k ) < 0,084 , следовательно, формула (19) вполне пригодна для определения по заданному k значения объёма (17) с инженерной точностью.
Таким образом, теоремы 1 и 2, доказанные в этой работе, применимы для оценки величин как полных эллиптических интегралов первого и второго рода, так и их линейных комбинаций, с инженерной точностью.
В заключение отметим следующее обстоятельство: как хорошо известно, полные эллиптические интегралы первого и второго рода выражаются через гипергеометрические функции [3, c. 151]:
(22)
следовательно, утверждения теорем 1 и 2 означают, что специальные функции (22), являющиеся решениями линейных дифференциальных уравнений второго порядка с переменными коэффициентами, могут быть эффективно приближены с помощью элементарных функций.
Об авторах
Е. С. Алексеева
Автор, ответственный за переписку.
Email: ogarevonline@yandex.ru
А. Э. Рассадин
Email: ogarevonline@yandex.ru
Список литературы
- Карпухин М. А. Немаксимальность экстремальных метрик на торе и бутылке Клейна // Математический сборник. – 2013. – Т. 204, № 2. – С. 31-48.
- Rassadin A. E., Agalarov A. M.-Z. The modified Whitham modulation theory for transmission line with ferroelectric capacitors // Ferroelectrics. – 2021. – vol. 576, No. 1. – pp. 40-49.
- Ахиезер Н. И. Элементы теории эллиптических функций. – М.: Наука, 1970. – 304 с.
- Алексеева Е. С., Рассадин А. Э. Новый метод вычисления полного эллиптического интеграла второго рода // Алгебра, теория чисел и дискретная геометрия: современные проблемы, приложения и проблемы истории: Материалы XVIII Международной конференции, посвящённой столетию со дня рождения профессоров Б. М. Бредихина, В. И. Нечаева и С. Б. Стечкина. – Тула: Тул. гос. пед. ун-т им. Л. Н. Толстого, 2020. С. 249-251.
- Соболев С. Л. Некоторые применения функционального анализа в математической физике. – М.: Наука, 1988. – 336 с.
- Алексеева Е. С. Двусторонняя оценка полного эллиптического интеграла первого рода // Международный научно-практический журнал «Глобальная наука и инновация 2020: Центральная Азия». Серия «Физико-математические науки». – 2020. – № 5 (10). – С. 63-66.
- Фихтенгольц Г. М. Курс дифференциального и интегрального исчисления. Том II. – М.: Наука, 1966. – 800 с.
Дополнительные файлы













