Полный текст
Введение
Водомасляные эмульсии представляют собой коллоидные системы, состоящие из двух несмешивающихся жидкостей масла и воды, одна из которых диспергирована в другой [1]. В нефтяной промышленности водомасляные эмульсии являются полидисперсными и синтезируются при перемешивании нефти и пластовой воды, то есть в местах интенсивного контакта фаз [2]. Из-за наличия эмульгаторов, которые являются, как правило, асфальтенами и смолами, глобулы, образуемые в непрерывной жидкой среде, имеют прочные адсорбционные оболочки, которые делают эмульсии устойчивыми к гравитационному расслоению.
Задача разрушения устойчивых нефтяных эмульсий является одной из ключевых в нефтяной промышленности. Существует множество решений для разделения эмульсий, таких как использование физических (механическое воздействие, нагревание и электрическая обработка), химических (применение разнообразных деэмульгаторов и наночастиц) и биологических (биоэмульгаторы) методов. Кроме того, применяются комбинированные подходы, объединяющие несколько методов для достижения наибольшей эффективности [35].
На сегодняшний день одним из наиболее популярных методов разложения нефтяных эмульсий является использование химических деэмульгаторов. Однако их применение ведет к образованию промежуточных слоев, которые нуждаются в специальной обработке и являются отходами, полное разрушение которых с помощью традиционных методов затруднительно или невозможно. Для минимизации негативного воздействия этих промежуточных слоев на окружающую среду необходимо постоянно их удалять, помещать в специальные шламонакопители и перерабатывать. Таким образом, большой интерес представляет поиск альтернативных методов разложения эмульсий, исключающих применение деэмульгаторов.
В различных технологических процессах, таких как увеличение нефтеотдачи, снижение вязкости тяжелой нефти, подготовка месторождений и интенсификация процессов переработки активно применяется акустическое воздействие [610]. Частота акустического воздействия при этом зависит от поверхностного натяжения и плотности дисперсной фазы, а также от размеров глобул дисперсной фазы [11]. Квазимонодисперсная эмульсия содержит глобулы дисперсной фазы с близкими значениями радиусов, соответственно, для её разрушения необходим узкий диапазон частот акустического воздействия, в отличие от полидисперсных эмульсий. Таким образом, предлагаемый авторами альтернативный метод разрушения полидисперсной эмульсии заключается в её предварительном преобразовании в квазимонодисперсную версию для последующего разрушения водомасляной эмульсии с применением акустических излучателей звуковых и ультразвуковых частот.
Анализ седиментационной устойчивости водомасляной эмульсий
Приведем аналитическое исследование устойчивости водонефтяных эмульсий и оценим время оседания дисперсной фазы в дисперсной среде. Для этого рассмотрим уравнение, описывающее процесс осаждения дисперсных частиц под воздействием гравитационной силы гравитационную седиментацию. Запишем закон Ньютона для сферической водной частицы, движущейся в вязкой (масляной) среде, с учетом силы Стокса, которая воздействует на частицу в виде (1):
(1)
где r радиус; v скорость частиц; μ [кг/(мс)] динамическая вязкость среды, а также силы Архимеда гравитационного потенциала. Сила Архимеда записывается в виде (2):
(2)
где rв=103 [кг/м3], ρср=1030,8 [кг/м3] плотности воды и среды (нефти, масла); g=9,81 м/с2 ускорение свободного падения. Запишем второй закон Ньютона в виде (3):
(3)
Проведем поиск решения дифференциального уравнения с учетом того, что оно может быть представлено в виде суммы свободной и вынужденной составляющих в виде (4):
(4)
Здесь A это постоянная интегрирования, которая определяется из исходных условий; а p корень характеристического уравнения.
Чтобы найти вынужденную составляющую скорости vв, рассматриваем установившийся режим, когда производная скорости равна нулю. Запишем вынужденную составляющую в виде (5)
(5)
Находим корень характеристического уравнения p, для этого запишем (6)
(6)
Теперь решение можно записать в виде суперпозиции свободной и вынужденной составляющих и указать явную зависимость от времени в виде выражения (7)
(7)
С учетом того, что начальная скорость частицы равна нулю, константа интегрирования рассчитывается как выражение (8):
(8)
Подставим найденную константу в выражения для скорости и явно выделим зависимость скорости от радиуса частицы, тогда получим (9):
(9)
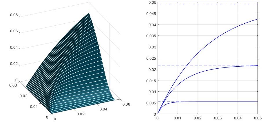
Как видно из графика, зависимость скорости от радиуса и времени v(t,r) может быть неоднородной для частиц с разными радиусами из-за различий в их инерционных свойствах и взаимодействии с окружающей средой. Капли меньшего радиуса быстрее достигают установившегося режима движения, чем капли большего радиуса. Кроме того, при исследовании производной скорости по радиусу ∂v(t,r)/∂r можно получить информацию об относительном количестве частиц, движущихся с заданной скоростью. Зависимость ∂v(t,r)/∂r это дифференциальное распределение скорости частицы по радиусу в зависимости от времени, показывающая, что мелкодисперсная эмульсия является более устойчивой, чем крупнодисперсная.
Из графика на рис. 2 видно, что изначально движение начинается с наиболее мелких частиц, что объясняется их более быстрым достижением установившегося режима движения из-за их меньшей инерции. По мере прохождения времени к этому движению присоединяются и более крупные частицы, что приводит к увеличению скорости движения и среднего радиуса частиц в системе. Таким образом, начальное различие в радиусе частиц со временем сглаживается, и распределение частиц по радиусам становится более равномерным. Графики на рис. 2, а, б показывают, что мелкодисперсная эмульсия является более устойчивой по сравнению с крупнодисперсной.

Рис. 1. Распределение скорости частиц v(t,r) от времени и радиуса: а) пространственное распределение скорости; б) изменение скорости частицы во времени при фиксированном радиусе. Пунктиром показаны установившиеся значения скорости во времени
Fig. 1. Distribution of particle speed v(t,r) versus time and radius: a) spatial distribution of velocity; b) change in particle velocity over time at a fixed radius. The dotted line shows the

Рис. 2. Дифференциальное распределение скорости частиц по времени и по радиусу v(t,r): а) пространственное дифференциальное распределение скорости частиц по времени и радиусу; б) нормированное дифференциальное распределение скорости частиц во времени при фиксированном радиусе. График дифференциального распределения скорости частиц при фиксированном радиусе делится на максимальную величину распределения
Fig. 2. Differential distribution of particle speed over time and radius v(t,r): a) spatial differential distribution of particle speed over time and radius; b) normalized differential distribution of particle speed over time at a fixed radius. The graph of the differential distribution of particle speed at a fixed radius is divided by the maximum value of the distribution
Результирующую скорость частицы можно определить как векторную сумму (декомпозицию) вертикальной и горизонтальной компонент. Зная вертикальную скорость частиц, вызванную гравитацией можно записать выражение (10)
(10)
Очевидно, что горизонтальная составляющая скорости во времени остается неизменной и определяется её начальным значением. В частности, горизонтальная компонента скорости частицы может равняться нулю v||=0 и тогда можно записать систему уравнений (11)
(11)
После интегрирования получаем выражения для траектории частицы r=ix+jy и ее компонент вертикальной y и горизонтальной x координат, соответственно, получаем (12)
(12)
Процесс седиментации можно представить в виде графика на рис. 3 (поперечные размеры преувеличены). Длительность процесса 0,4 часа, поперечный размах клина 0,08 м. В верхней части графика находится горизонтальная линия просветления. На графике показаны погружения глобул воды во времени. По вертикали и горизонтали шкалы указаны в метрах.

Рис. 3. Траектории глобул с различными радиусами. По вертикали отображается координата y(t), по горизонтали координата x(t). На графике представлены кривые для частиц с радиусами r, 2r, 3r, 4r и 5r, расположенные сверху вниз. Чем больше радиус глобул, тем больше размер меток
Fig. 3. Trajectories of globules with different radii. Along the vertical axis is the coordinate y(t), along the horizontal axis is the coordinate x(t). From top to bottom, graphs are presented for particles with radii r, 2r, 3r, 4r, 5r
Оценки длительности процесса гравитационной седиментации показывают, что время, необходимое для осаждения частиц, составляет от нескольких часов до суток для высокодисперсных сред (рис. 3).
Для форсирования процесса седиментации авторами предлагается использовать механический центробежный метод седиментации, основанный на сведении полидисперсной среды в квазимонодисперсную среду. Далее квазимонодисперсная среда подвергается ультразвуковому воздействию с резонансной частотой [11, 12] с целью полного разрушения эмульсии.
Описание механического процесса получения квазимонодисперсной эмульсии
Приведем качественные вспомогательные рисунки изотерм и изобар фазовых переходов (рис. 4, 5). На рис. 4 приведенный химический потенциал воды обозначен как μ1, а масла как μ2. Производная химического потенциала по давлению при фиксированной температуре есть удельный объем [13, 14]. Плотность воды ρ1 выше плотности масла ρ2, следовательно, наклон химического потенциала масла μ2, круче, чем химического потенциала воды μ1, . Пересечение графиков даёт нам точку положения равновесия. Система стремится к минимуму химического потенциала, и поэтому до положения равновесия и после положения равновесия следует выбирать нижние кривые, выделенные пунктиром.
Производная химического потенциала μ по температуре при постоянном давлении есть энтропия системы S=(∂μ/∂T)p. Система стремится к максимуму энтропии. Энтропия выше в той среде, где меньше плотность, поэтому наклон фазовой кривой для масла будет круче, чем для воды (рис. 5). Поскольку фазовые переходы имеют скачки производных, они являются фазовыми переходами первого рода.

Рис. 4. Изотерма. Химический потенциал фаз при постоянной температуре. Наклон на графиках означает объем V= (∂μ/∂p)T. Объем изменяется скачком
Fig. 4. Isotherm. Chemical potential of phases at constant temperature. The slope on the graphs means volume V= (∂μ/∂p)T. The volume changes abruptly

Рис. 5. Изобара. Химический потенциал фаз при постоянном давлении. Наклон на графиках означает энтропию S=(∂μ/∂T)p. Энтропия увеличивается скачком
Fig. 5. Isobar. Chemical potential of phases at constant pressure. The slope on the graphs means entropy S=(∂μ/∂T)p. Entropy increases abruptly
Рассмотрим процесс образования капли в зависимости от её размеров.
Энергия Гиббса системы капля, находящаяся в масло-водяной среде, описывается свободной энергией, состоящей из суммы свободных молярных энергий масла F1, молярной энергии воды F2 и поверхностной энергии образующейся капли FΣ=σΣ записывается в виде (13)
(13)
Здесь N1 число молей в воде; V1 молярный объем воды; N2 число молей в масле; V2 молярный объем масла; Σ=4πr2 площадь поверхности капли; r радиус капли; σ поверхностное натяжение; P0 давление в среде.
Перепишем последнее выражение, записывая свободную энергию Гельмгольца F в естественных координатах [15, 16], тогда (13) переходит в (14)
(14)
Условия равновесия системы означают минимум энергии Гиббса (2) при фиксированных значениях её естественных координат P0 давления системы и T температуры. Эти параметры системы P0, T будем считать не изменяющимися. В качестве независимых переменных выберем величины N1, N2, r. Перепишем уравнение (14) так, чтобы в него входили только независимые переменные. Для этого будем использовать дополнительные условия связи. Полное число частиц в системе не изменяется и записывается в виде (15):
(15)
объем капли определяется выражением (16)
(16)
Выражение для объема капли дает нам вспомогательные выражения (17)
(17)
Минимизируя потенциал Гиббса как функцию трех переменных, найдем значения переменных, при которых система находится в положении устойчивого равновесия
Последняя система уравнений преобразуется в следующую систему (18) с учетом выражений (15)(17):
(18)
Последняя система дает соотношения (19) для давлений в средах, информацию о радиусе образующейся капли и о химических потенциалах сред.
(19)
Прокомментируем полученные результаты.
Когда две среды находятся в в термодинамическом равновесии, на границе раздела имеет место равенство химического потенциала μ1(T,Pн)=μ2(T,Pн), температуры T и давления Pн. Будем называть это давление Pн давлением насыщения (рис. 6). Для появления капли необходимо дополнительное давление, потому что капля выпуклая и, следовательно, в ней избыток давления, который компенсируется поверхностным натяжением среды.

Рис. 6. График для вывода формулы (22)
Fig. 6. Plot for derivation of condition (22)

Рис. 7. Капля
Fug. 7. Droplet
При добавлении дополнительного давления появляется капля, радиус которой, в соответствии с уравнением (19), определяется выражением (20)
(20)
При этом в среде образуется новое положение равновесия, при котором выполняется равенство химических потенциалов (рис. 6, точки 1, 2) и последнее выражение системы (19). Очевидно, что капли, давление которых находится в интервале между точками P1 и P2, будут расти, так как радиус капель растет в соответствии с выражением (20). Капли, у которых внутренне давление выше P1, будут распадаться, потому что в этом случае химический потенциал увеличивается, что термодинамически не выгодно, чтобы удержать каплю с таким маленьким радиусом. Следовательно, точку давления P1 можно назвать критической, P1=Pкр, то есть это тот минимальный радиус капли, меньше которого капли распадаются, поскольку являются неустойчивыми. Критический радиус капли определяется выражением (21)
(21)
Теперь приведем связь критического радиуса rкр (минимальный радиус устойчивой капли) с избыточным давлением ΔP=P2Pн, на которое нужно увеличить давление насыщения Pн, чтобы получить желаемый радиус капли. Для этого разложим в ряд Тейлора химический потенциал в последнем выражении системы (19) в окрестности точки давления насыщения Pн
С учетом последних выражений получаем формулу (22)
(22)
Учитывая, что из соотношения Максвелла [1316] производная химического потенциала по давлению есть удельный объем введя обозначение ΔP=(P2Pн) и учитывая, что в соответствии с рис. 6
выражение (22) можно переписать в виде (23)
(23)
Теперь с учетом (12) выражение для критического радиуса (21) можно переписать в виде
(24)
Здесь ΔP величина пресыщения давления. Если перейти к плотности жидкостей, то формула (24) примет вид (25)
(25)
Таким образом, можно изменять радиус критической капли за счет подвода или отвода тепла, варьируя температурой T и давлением пресыщения ΔP.
Из формулы (14) видно, что та часть энергии Гиббса, которая несет ответственность за образование капель, определяется соотношением (26) [13, 16]
(26)
Можно определить минимальную энергию, которую нужно вложить в эмульсию для того, чтобы получить каплю с радиусом rкр
(27)
При известной функции распределения частиц по радиусам можно определить результирующую поверхностную энергию Гиббса дисперсной среды по формуле (28)
(28)
Здесь f(r) функция распределения частиц по радиусам.
Таким образом, получена формула, позволяющая оценить минимальный радиус капли при известных температуре, давлении, плотностях сред и поверхностном натяжении между ними.
Формула для радиуса капли позволяет определить поверхностную энергию Гиббса, если известна функция распределения частиц по радиусам.
На качественных графиках рис. 4, 5 показаны изломы производных фазовых кривых, которые говорят о том, что изменение состава эмульсии происходит при изменении давления и энтропии. Энтропия системы должна увеличиваться, и тогда происходит потребление теплоты. Полученное авторами выражение (27) позволяет связать количественно радиус образовавшихся глобул с избыточным давлением и поверхностным натяжением.
Для оценки степени дисперсности среды авторами предлагается использовать критерий коэффициента монодисперсности, определяемый выражением
(29)
Или тот же критерий можно записать для непрерывной функции. Если задана непрерывная функция распределения частиц по размерам f(r), формулы (29) преобразуются в формулы (30):
(30)
Очевидно, что по мере приближения дисперсной среды к её монодисперсному состоянию коэффициент монодисперсности стремится к единице.
Приведем пример расчета коэффициента дисперсности для экспериментальных значений, полученных авторами. Для получения функции распределения частиц по размерам использовался гранулометрический метод, который включал в себя микроскоп и компьютерный комплекс с программным обеспечением [12].

Рис. 8. Пример построения функции распределения частиц по размерам. Слева изображение, справа функция распределения частиц по размерам. Непрерывное распределение интерполировалась кубическим сплайном
Fig. 8. Example of constructing a particle size distribution function. The image is on the left, the particle size distribution function is on the right. The continuous distribution was interpolated by a cubic spline

Рис. 9. Пример построения функции распределения частиц по размерам. Слева изображение, справа функция распределения частиц по размерам. Непрерывное распределение интерполировалась кубическим сплайном
Fig. 9. Example of constructing a particle size distribution function. The image is on the left, the particle size distribution function is on the right. The continuous distribution was interpolated by a cubic spline
Далее приводится результат распределения частиц по размерам после внесения дополнительной энергии с целью приближения дисперсной среды к квазимонодисперной (рис. 10).

Рис. 10. Вращающийся диск
Fig. 10. Rotating disk
Монодисперсной средой можно считать такое распределения частиц дисперсной фазы эмульсии, при котором критерий монодисперсности близок к 0,60,7.
Для изменения функции распределения частиц по радиусу необходимо вложить дополнительную энергию, которая препятствует процессам седиментации и коалесценции. Для этого можно использовать перемешивание жидкости, например, вращением диска у основания цилиндра с жидкостью. Вкладывая энергию, можно смещать максимум функции распределения частиц по размерам, добиваясь расположения максимума вблизи резонансного радиуса.
Приведем один из возможных методов вклада энергии в эмульсию. При перемешивании жидкостей возникает седиментация, обусловленная центробежными силами. Для анализа седиментации, обусловленной центробежными силами, приведем полуаналитическое решение уравнения гидродинамики. Поскольку нас интересует качественный анализ процесса, будем рассматривать асисимметричное вращение жидкости в цилиндре, в основании которого лежит бесконечный диск. Такой качественный подход позволит свести систему дифференциальных уравнений в частных производных НавьеСтокса к системе обыкновенных дифференциальных уравнений.
Приведем систему уравнений НавьеСтокса [15, 1721] для вышеупомянутой системы в цилиндрических координатах y, r, , вязкость среды будем обозначать буквой μ без индекса.
(31)
(32)
(33)
Уравнение непрерывности
(34)
где vr, v, vy радиальная, тангенциальная и аксиальная компоненты вектора скорости,
На поверхности диска выполняются очевидные граничные условия
(35)
Здесь ω угловая скорость вращения диска. В окрестности вращающегося диска жидкость также начинает вращаться вместе с ним согласно условиям тангенциальной составляющей скорости v. Ввиду воздействующего на жидкость вращения диска вблизи его поверхности формируется радиальная составляющая скорости, направленной от центра к краю диска. Очевидно, при этом существует вертикальное движение жидкости. И, следовательно, можно записать граничные условия
(36)
Не умоляя общности значение U0, можно выбрать значение равное нулю. Давление жидкости будем считать постоянным вдоль радиуса ∂p/∂r=0. Тогда систему уравнений (31)(33) можно переписать в виде
(37)
(38)
(39)
Будем искать решения уравнения (38)(40), удовлетворяющие уравнению непрерывности (34) и граничным условиям (35), (36), в виде (40)
(40)
Такая подстановка позволит свести систему уравнения в частных производных в систему обыкновенных дифференциальных уравнений. Приведем полученную систему уравнений (41)(44):
(41)
(42)
(43)
(44)
Здесь штрих означает производную по безразмерной переменной ξ. Граничные условия (36), (37) перепишутся в виде
Из последней системы уравнения в линейном приближении сразу находится доминирующий корень характеристического уравнения, то есть корень, близкий к границе устойчивости и определяющий процесс при его окончании. Этот процесс можно записать в виде (45)
(45)
На начальном этапе процесса при линейном приближении будем иметь зависимости (46)
(46)
Более точное решение можно получить, используя численный метод РунгеКутта четвертого порядка, записав уравнения (41)(44) в виде системы из пяти нелинейных уравнений.
Здесь
X={x1,x2,x3,x4,x5,x6}={F,G,H,F',G',P} вектор состояния,
.
При решении системы обыкновенных дифференциальных уравнений будем использовать начальные условия, определяемые уравнением (36) в виде X0={F(0),G(0),H(0),F'(0),G'(0),P}={0,1,0,a,b,0}, получим решения X={x1,x2,x3,x4,x5,x6}={F,G,H,F',G',P}. Здесь a, b производные функций F', G', выбраны таким образом, чтобы выполнялась непрерывность всех функций {F,G,H,F',G',P}, a=0,51, b=0,616. Эти коэффициенты выбираются методом стрельбы [22] для согласования условий (35) и (36). При расчетах получились следующие значения A=0,93, B=1,21.
Заметим, что полученные графики совпадают с асимптотическими значениями функций (45), (46). Это функции радиальной, азимутальной и вертикальной скоростей в зависимости от вертикальной координаты.
Из графика на рис. 11 видно, что можно провести условную границу пороговое значение вертикальной координаты , или . При значениях, больше порогового значения y>δ0, определяющей скоростью является вертикальная скорость . Радиальной vr=rωF(ξ) и тангенциальной v=rωG(ξ) скоростями можно пренебречь, а следовательно, функция концентрации частиц будет зависеть только от вертикальной составляющей координаты y.

Рис. 11. График распределения скоростей и давления: а) горизонтальное; б) вертикальное представления
Fig. 11. Velocity and pressure distribution graph: a) horizontal; b) vertical representation

Рис. 12. а) поперечное распределение траекторий частиц жидкости; б) пространственное распределение траекторий частиц жидкости
Fig. 12. a) transverse distribution of trajectories of liquid particles; b) spatial distribution of trajectories of liquid particles
Для координат вертикальной оси, меньших порогового значения y<δ0, доминирующую роль начинает играть тангенциальная составляющая v=rωG(ξ). Следовательно, умножая значение квадрата скорости v=rωG(ξ) на массу частицы, можно определить энергию частицы.
Здесь в качестве G(ξ) можно брать её аналитическое приближение (46)
При известной функции распределения частиц по радиусам можно определить результирующую энергию дисперсной фазы по формуле:
(47)
Свяжем элемент механического момента сопротивления диска с тангенциальной скоростью и скорость вращения диска:
Здесь μ=ρv вязкость единицы объема.
Интегрируем последнее выражение по радиусу, получаем величину момента сопротивления диска:
(48)
Последнее выражение для момента сопротивления диска (48) содержит частоту вращения диска. Следовательно, зная частоту вращения диска, можно получить желаемую энергию частиц жидкости E(r) (47). При соответствующем выборе энергии E(r) и поверхностной энергии Гиббса GS можно получить желаемый радиус капель квазимонодисперсной фазы.
Заключение
Авторами работы предложен механический метод седиментации, основанный на сведении полидисперсной среды в квазимонодисперсную среду с последующим воздействием ультразвуковой волны с соответствующей резонансной частотой с целью полного разрушения эмульсии.
Получена дифференциальная функция распределения скоростей по координатам и времени, показывающая, что эмульсия является более устойчивой при её мелкой дисперсности. Также показано, что для водонефтяных эмульсий процесс оседания частиц дисперсной фазы составляет от нескольких часов до суток.
Получена формула, позволяющая оценить минимальный радиус капли при известных температуре, давлении, плотностях сред и поверхностного натяжения между ними. Предложено ввести критерий, позволяющий определить близость дисперсной среды к квазимонодисперной версии.
Удалось свести уравнения в частных производных НавьеСтокса, описывающих вращения диска в основании цилиндрического сосуда, к системе обыкновенных дифференциальных уравнений, и получить компоненты скоростей и давления при известной скорости вращения диска, энергию частиц, связанную со скоростью вращения диска. Удалось определить механический момент сопротивления диска и связать его с энергией воздействия на эмульсию с целью получения её квазимонодисперсной версии.