Analysis of influence of functionally graded polymer coatings thickness on the distribution of filler particles
- Authors: Nizin D.R., Morozov M.A., Chernov A.N., Sitnikova O.N., Karpov D.S.
- Issue: Vol 4, No 5 (2016)
- Section: Articles
- Submitted: 14.03.2025
- Accepted: 14.03.2025
- URL: https://ogarev-online.ru/2311-2468/article/view/283560
- ID: 283560
Cite item
Full Text
Abstract
The article presents the results of modeling of constrained sedimentation of the filler particles in the functionally graded coatings of varying thickness. We used software package that allows to simulate the process of constrained sedimentation of polydisperse suspension in the process of polymer systems curing depending on the size and density of the filler particles, the degree of filling and changing of binder viscosity. The authors have revealed changes in the thickness of layers according to the degree of filling, filler ratio varying and thickness of formed coating. It is shown that the process of fractional separation is observed both in highly and lightly filled composites.
Full Text
Разработка современных эффективных систем защиты материалов от старения и коррозии невозможна без создания нетрадиционных покрытий, обладающих особым набором свойств. Опыт эксплуатации строительных конструкций с полимерными покрытиями показывает, что функциональная нагрузка на различные части защитных покрытий неодинакова. Так, например, наружные слои покрытия должны защищать материал от агрессивных воздействий окружающих факторов, а внутренние слои обеспечивать высокую прочность композита и его хорошую адгезию к бетону. К такому классу материалов относятся функционально-градиентные композиты, изменение физико-механических характеристик которых по высоте поперечного сечения происходит по определенному закону [1–3].
В последние годы защитные покрытия на основе полимерных связующих претерпевают второе рождение [4; 5]. Значительно расширился ассортимент выпускаемых покрытий; к разрабатываемым составам предъявляются повышенные требования. При этом необходимо отметить, что разработка современных эффективных систем защиты материалов от старения и коррозии невозможна без создания нетрадиционных покрытий, обладающих особым набором свойств. Задача создания функционально-градиентных материалов (ФГМ), свойства которых меняются по объему или высоте поперечного сечения в соответствии с функциональными требованиями, несомненно, является перспективным направлением строительного материаловедения. Технология ФГМ позволяет получать материалы с заданными, различными по объему свойствами без перерасхода дорогостоящих материалов [1; 6]. Среди множества методов и способов создания функционально-градиентных материалов наиболее технологически простым и эффективным является получение ФГМ путем варьирования вязкости полимерного связующего, а также плотности и крупности наполнителей [2; 7; 8].
Известно, что неотвержденные полимерные системы представляют собой суспензии частиц наполнителя в связующем. Подобные системы принято описывать, используя теорию седиментации, основанную на формуле Стокса. Однако необходимо отметить, что это справедливо лишь для монодисперсных малонаполненных систем. При этом практически все наполненные композиции полидисперсны, что влияет на скорость осаждения частиц в зависимости от размера их фракции. Реальные скорости осаждения могут значительно отличатся от стоксовской скорости, особенно для высоконаполненных полидисперсных суспензий. Это связано с тем, что частицы, движущиеся с разными скоростями и на небольшом расстоянии друг от друга, могут взаимодействовать между собой. Поэтому при исследовании высоконаполненных полидисперсных полимерных систем целесообразно рассматривать процессы стесненной седиментации частиц наполнителя.
Исследование процессов стесненной седиментации является, несомненно, сложной задачей. Знание условий осаждения частиц наполнителей для высоконаполненных систем является необходимым для многих отраслей промышленности. Наиболее полно вопросы исследования стесненной седиментации полидисперсной суспензии на примере наполненного эпоксидного клея рассмотрены в работе [9]. Однако в данном случае исследовалось осаждение частиц наполнителей в процессе хранения, т.е. в неотвержденной системе с постоянными вязкостью и температурой. В ходе отверждения наполненных полимерных систем процессы стесненной седиментации еще более усложняются [2; 7; 8].
Наиболее мощным инструментом анализа процесса седиментации в полидисперсной суспензии является механика многоскоростных континуумов. Многоскоростной континуум представляет собой совокупность 𝑛 континуумов, каждый из которых относится к своей составляющей смеси и заполняет один и тот же объем, занятый смесью [10]. Для каждого из этих составляющих континуумов в каждой точке определяются плотность 𝜌𝑖, скорость 𝑣𝑖, и другие параметры, относящиеся к своему континууму и своей составляющей смеси.
При рассмотрении процесса седиментации полидисперсной системы, содержащей неброуновские частицы, необходимо учитывать следующие допущения:
- частицы каждой фракции движутся с установившейся в данном слое скоростью (силы инерции равны нулю);
- в начальный момент времени частицы всех фракций равномерно распределены по высоте;
- прямыми столкновениями частиц пренебрегают, и учитывают лишь межфазное взаимодействие частиц всех фракций со сплошной средой.
При определенном диапазоне частиц наполнителя происходит так называемая пофракционная сепарация, когда каждый слой осадка состоит практически только из частиц одной фракции, что обусловливает неравномерное распределение свойств по высоте поперечного сечения [9]. Крупные частицы, осаждаясь с очень большой скоростью, интенсивно вытесняют жидкость вверх, которая увлекает за собой мелкие частицы и приводит к их всплыванию [10–12].
Как известно, в процессе отверждения вязкость системы повышается, что оказывает существенное влияние на седиментацию наполненных полимерных структур. Кинетику нарастания динамической вязкости в процессе отверждения предлагается задавать с помощью уравнения, коэффициенты которого могут быть определены по результатам экспериментальных исследований:
где 𝜂о – начальная динамическая вязкость; 𝑣1 – скорость на первоначальном этапе отверждения; 𝑇 – текущее время отверждения; A, 𝑇𝑘, 𝑇₃ – параметры уравнения, характеризующие скорость набора вязкости на втором этапе отверждения.
Для наглядной реализации моделирования стесненной седиментации частиц наполнителей в процессе отверждения полимерной системы был использован программный продукт, интерфейс которого приведен на рис. 1. Перечень основных функций, реализуемых в программном комплексе, получаемые результаты и их анализ изложен в работах [11–13]. Сопоставление результатов, полученных с помощью расчетных методов и разработанного программного продукта, показало их высокую сходимость.
Рис. 1. Интерфейс программного комплекса для моделирования стесненной седиментации частиц наполнителя в процессе отверждения полимерной системы.
Используемый программный комплекс позволяет оценить влияние процессов стесненной седиментации в зависимости от радиуса частиц наполнителя, степени наполнения каждой из фракций и изменения вязкости связующего в процессе отверждения. В качестве модельных были выбраны наполнители с радиусом частиц 𝑟₁ = 0.1 мм и 𝑟₂ = 0.05 мм; параметры уравнения (1), используемые при моделировании: 𝜂о = 0,4; 𝑣1 = 0,5; A= 3; 𝑇𝑘 = 0,8; 𝑇₃ = 0,3. Динамика распределения частиц наполнителя в процессе седиментации с учетом времени представлена на рисунке 2.
Проведенный анализ результатов моделирования показал, что при увеличении доли мелкого наполнителя (𝑟₂ = 0.05 мм) с 10 до 40% при фиксированном (10%) содержании крупного наполнителя (𝑟₁ = 0.1 мм) наблюдается (рис. 3, а – в) увеличение толщины переходного слоя. Толщина слоя осадка, содержащего как крупные, так и мелкие частицы наполнителя, для этих составов практически не меняется. Повышение в составе наполнителей крупных частиц (𝑟₁ = 0.1 мм) с 10 до 30% при постоянном содержании мелких частиц (𝑟₂ = 0.05 мм; 𝑉2 = 10%) приводит к значительному увеличению максимально-наполненного слоя осадка (рис. 3, а, г) с последующим снижением его толщины в интервале от 30 до 50% (рис. 3, г – е). Толщина слоя, содержащего частицы наполнителя во взвешенном состоянии, для этих же соотношений наполнителей существенно возрастает. Изменение соотношения крупного и мелкого наполнителей, особенно для высоконаполненных систем (например, при 𝑉₁ + 𝑉2 = 50%), позволяет значительно варьировать распределение частиц наполнителей, а, следовательно, и свойств по высоте поперечного сечения (рис. 3, д, ж – и). Проведенное моделирование показало, что процесс пофракционной сепарации наблюдается как в высоконаполненных, так и в малонаполненных композитах.
Рис. 3. Результаты моделирования распределения частиц наполнителей по высоте поперечного сечения отвержденных полимерных композитов (размеры частиц наполнителя – 𝑟₁ = 0.1 мм, 𝑟₂ = 0.05 мм).
Моделирование процесса стесненной седиментации было также проведено на основе реальных экспериментальных данных. В качестве полимерного связующего использовалась композиция на основе эпоксидной смолы ЭД-20, отвержденной полиэтиленполиамином; в качестве наполнителя – комплексный наполнитель, содержащий (по массе) 70% мела и 30% маршалита. Объемная доля наполнителя составляла 75% от общего объема композита; толщина покрытий варьировалась от 1 до 4 мм. Используемые для моделирования размеры частиц наполнителей (соответственно, 0.04 и 0.14 мм для мела и маршалита) были выбраны на основе анализа кривых плотности распределения эквивалентных радиусов, определенных с помощью программного комплекса «Анализатор распределения частиц наполнителя по размерам» [14]. Для описания процесса нарастания динамической вязкости эпоксидного связующего в процессе твердения использовались следующие значения параметров уравнения (1): 𝜂о = 13,72; 𝑣1 = 0,001; A= 4,285; 𝑇𝑘 = 0.79; 𝑇₃ = 1,095, определенные по экспериментальным кривым. Результаты проведенного моделирования приведены на рис. 4.
Рис. 4. Результаты моделирования распределения частиц наполнителей по высоте поперечного сечения эпоксидного композита (степень наполнения 75%; вид наполнителя – 70% мела + 30% маршалита) через 1 час отверждения в зависимости от толщины покрытия: а – 1 мм; б – 2 мм; г – 3 мм; д – 4 мм.
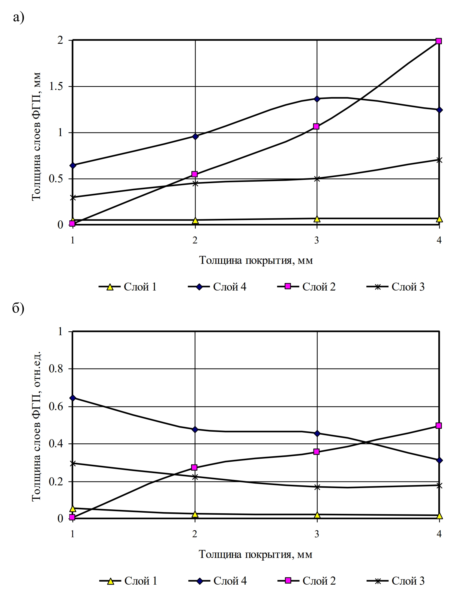
На основе проведенного анализа полученных результатов моделирования выявлено, что высота слоя 1 практически не зависит от толщины покрытия (рис. 5). Наибольшее увеличение в зависимости от толщины покрытия наблюдается для формируемого в процессе седиментации слоя 2 (как в абсолютных, так и в относительных величинах), содержащего как крупные, так и мелкие частицы наполнителя. Абсолютная толщина слоя осадка (слой 3) и монодисперсного слоя 4, содержащего только частицы мелкого наполнителя, повышаются с увеличением толщины полимерного покрытия (рис. 5, а).
Рис. 5. Изменение высоты слоев в эпоксидных композитах в зависимости от толщины покрытия в абсолютных (а) и относительных (б) величинах: слой 1 – ненаполненное связующее; слой 2 – слой со взвешенным расположением наполнителя обоих видов; слой 3 – слой осадка; слой 4 – монодисперсный слой, содержащий только мелкий наполнитель.
Используемый программный продукт позволяет оценить распределение частиц наполнителя в процессе стесненной седиментации с учетом реальных параметров изменения динамической вязкости связующего в процессе отверждения, распределения частиц наполнителей по размерам, а также толщины наносимого покрытия. Предложенный подход позволяет подобрать оптимальные составы функционально-градиентных композитов с учетом необходимого распределения частиц, а, следовательно, и свойств по высоте поперечного сечения без проведения натурного эксперимента.
About the authors
D. R. Nizin
Author for correspondence.
Email: ogarevonline@yandex.ru
Russian Federation
M. A. Morozov
Email: ogarevonline@yandex.ru
Russian Federation
A. N. Chernov
Email: ogarevonline@yandex.ru
Russian Federation
O. N. Sitnikova
Email: ogarevonline@yandex.ru
Russian Federation
D. S. Karpov
Email: ogarevonline@yandex.ru
Russian Federation
References
- Селяев В. П., Карташов В. А., Клементьев В. А., Лазарев А. Л. Функционально- градиентные композиционные строительные материалы и конструкции. – Саранск: Изд-во Мордов. ун-та, 2005. – 160 с.
- Низина Т. А. Защитно-декоративные покрытия на основе эпоксидных и акриловых связующих. – Саранск: Изд-во Мордов. ун-та, 2007. – 258 с.
- Селяев В. П., Низина Т. А., Ланкина Ю. А., Цыганов В. В. Функционально-градиентный материал для защитных покрытий // Известия ТулГУ. Серия: Строительные материалы, конструкции и сооружения. – Вып. 7. – Тула: Изд-во ТулГУ, 2004. – С. 222–227.
- Селяев В. П., Баженов Ю. М., Соколова Ю. А., Цыганов В. В., Низина Т. А. Полимерные покрытия для бетонных и железобетонных конструкций. – Саранск: Изд-во СВМО, 2010. – 224 с.
- Селяев В. П., Иващенко Ю. Г., Низина Т. А. Полимербетоны: монография. – Саранск: Изд-во Мордов. ун-та, 2016. – 284 с.
- Селяев В. П., Низина Т. А., Ланкина Ю. А., Цыганов В. В. Моделирование распределения свойств полимерных композитов по сечению // Известия ТулГУ. Серия: Строительные материалы, конструкции и сооружения. – Вып. 8. – Тула: Изд-во ТулГУ, 2005. – С. 141–145.
- Селяев В. П., Низина Т. А., Ланкина Ю. А. Теоретические основы создания функционально-градиентных материалов на основе полимерных связующих // Региональная архитектура и строительство. – 2007. – № 2. – С. 20–25.
- Селяев В. П., Низина Т. А., Лазарев А. Л., Ланкина Ю. А., Цыганов В. В. Функционально- градиентные покрытия на основе полимерных связующих // Известия ВУЗов. Строительство. – 2007. – № 7. – С. 36–40.
- Абиев Р. Ш. Исследование стесненной седиментации полидисперсной суспензии и влияния дисперсного состава наполнителя на качество наполненного эпоксидного клея // Пластические массы. – 2002. – № 4. – С. 31–36.
- Нигматулин Р. И. Динамика многофазных сред. Ч.1. – М.: Наука, 1987. – 134 с.
- Селяев В. П., Низина Т. А., Ланкина Ю. А., Зимин А. Н., Низин Д. Р. Моделирование процесса стесненной седиментации частиц наполнителя в твердеющей полимерной системе // Вестник отделения строительных наук. – Вып. 16. Т. 2. – Москва, 2012. – С. 126–134.
- Селяев В. П., Низина Т. А., Ланкина Ю. А., Зимин А. Н., Низин Д. Р. Программный комплекс для моделирования стесненной седиментации частиц наполнителей в процессе отверждения полимерных систем // Строительные материалы, оборудование, технологии XXI века. – 2012. – № 8. – С. 34–37.
- Селяев В. П., Низина Т. А., Низин Д. Р., Зимин А. Н. Анализ процесса стесненной седиментации частиц наполнителя в твердеющей полимерной системе // Сборник научных трудов по материалам II Всероссийской научно-практической конференции «Ресурсоэнергоэффективные технологии в строительном комплексе региона». – Саратов, 2012. – С. 9–12.
- Селяев В. П., Низина Т. А., Минеев В. А. Анализатор распределения частиц наполнителя по размерам // Свидетельство об официальной регистрации программы для ЭВМ №2007611001 от 6.03.2007 г. в Роспатенте по заявке №2007610002 от 11.01.2007 г.
Supplementary files












