Modeling of hardware and software processes of antenna array calibration with mutual influence
- Authors: Zhigulin V.А., Kutepov V.E., Peshkov I.V., Fortunova N.А.
- Issue: Vol 12, No 13 (2024)
- Pages: 35-42
- Section: Articles
- Submitted: 03.02.2025
- Accepted: 03.02.2025
- URL: https://ogarev-online.ru/2311-2468/article/view/278799
- ID: 278799
Cite item
Full Text
Abstract
The general principles of operation of direction finding algorithms are presented. The effect of mutual influence of antenna array elements is considered, and the method of accounting for the effect when modeling the received signal is given. The ways to calibrate mutual influence are discussed.
Keywords
Full Text
Цифровые антенные решетки нашли широкое применение в современном мире. Основной концепцией их работы является спектральная оценка пространственных координат сигналов.
В настоящее время, при выдвигаемых к разработчикам и производителям антенн требованиях по уменьшению размеров антенн в целях компактности и бюджетности реализации, долгое время остаётся актуальной проблема взаимного влияния между излучателями MIMO-антенной решётки, как оптимальной конфигурации для широкого и универсального использования в телекоммуникации, в H-плоскости и Е-плоскости, улучшения свойств антенных решёток в принимающем тракте связи как, например, возможность программной перекоммутации приёмника на антенну с большей мощностью сигнала и возможность дальнейшего усиления уже принятого сигнала.
На рисунке 1 показана обобщенная схема системы оценки угловых координат сигналов, состоящая из аналоговой и цифровых частей. Аналоговая часть служит для приема сигнала антенной решеткой, в цифровой части осуществляется расчет корреляционной матрицы и псевдоспектра.
Рис. 1. Общая схема цифровой системы.
Однако взаимная связь этих элементов не учитывается. Таким образом, было решено дополнить модель системы оценки DOA таким образом, чтобы она учитывала фактор взаимной связи антенных элементов, а, именно, диаграммы направленности (ДН) каждого элемента. Для этого была дополнена формула для нахождения матрицы векторов сканирования:
(1)
где fM (θD) представляет собой величину диаграммы направленности антенного элемента M в направлении источника сигнала D.
После первичного расчёта антенного элемента выполнялась оптимизация для того, чтобы максимизировать коэффициент усиления (КУ) и минимизировать параметр S11 при импедансе, равном 50 Ом. На рисунке 2 представлены ДН изолированных элементов и элементов в составе решётки. На них отчётливо видно, как меняются ДН под действием эффекта взаимного влияния. Это особенно заметно для краевых элементов.
Рис. 2. Диаграммы направленности: а) изолированного элемента; б, в) 1–2 элементов в составе решётки.
В дополнение к изменениям в диаграммах направленности излучения, взаимная связь АЭ также может быть выражена в виде матрицы рассеяния S. Различные типы микроволновых устройств могут быть описаны с помощью падающих и отраженных волн, которые распространяются по подключенным к ним линиям (портам). Соотношение между этими волнами описывается матрицей волн рассеяния или матрицей S-параметров. Например, матрицей рассеяния будет матрица 6 ×6 для шестиэлементной антенной решетки:
(2)
где S11 представляет коэффициент отражения для порта (элемента) 1, S12 представляет коэффициент передачи от элемента 2 к элементу 1 и т.д. В общем, SNM - это коэффициент передачи от порта M к порту N в многопортовой сети.
Формула для матрицы C показывает, зависит ли матрица взаимной связи от S- параметров и может быть записана в виде:
(3)
где diag – функция, которая возвращает главную диагональ или создает диагональную матрицу, I – единичная матрица. Таким образом, матрица взаимной связи выглядит как:
(4)
Показано, что в режиме приема антенная решетка принимает волну, а также является источником переизлучения на соседние антенны. Таким образом, можно сделать вывод, что форма диаграммы направленности отдельных элементов искажена из-за взаимной связи. Таким образом, C представляет собой матрицу взаимной связи, учитывающую S-параметры, вида:
(5)
где S – матрица S-параметров антенной решетки, размерностью NxN, diag – оператор для получения главной диагонали матрицы. Матрицы S-параметров антенных решеток были получены после электродинамического моделирования по методу моментов.
Аппаратные средства калибрования взаимного влияния. Наиболее популярными способами решения проблемы взаимного влияния между излучающими элементами антенных решёток в последних исследованиях и разработках стали одноплоскостные структуры электромагнитной запрещенной зоны (EBG).
В данной работе исследуется структура в виде спирально-меандровой линии, применяемой для уменьшения взаимной связи между близко расположенными копланарными излучающими микрополосковыми антеннами в E-плоскости. Элементарная ячейка структуры электромагнитной запрещённой зоны выполнена в виде сочетания свастики и четырёх структур квадратной гребенчатой формы с поворотом относительно друг друга 90°, как показано на рисунке 3.
Рис. 3. а – микрополосковая патч-антенная решётка беспроводной связи (вид сверху), б. – свастично-гребенчатая структура полупроводников в плоскости земли антенной решётки (вид снизу).
Антенная решётка состоит из четырёх патч-антенн (рисунок. 3) с зазором между краями друг друга, который равен 7,86 мм, что соответствует 0,15 длины волны и расстоянием 0,45 длины волны между центральными точками. Электромагнитное поле в данной решётке передаётся с помощью неизлучающих краёв. Элементарные ячейки вытравлены в поверхности земли (с нижней стороны антенны) между неизлучающими краями (рисунок 3.б).
Рис. 4. ДН антенной решётки: а) без структур полупроводников электромагнитной запрещённой зоны; б) со встроенными структурами.
На основе полученных диаграмм направленности (рис. 4) по коэффициенту усиления антенны (дБи) в среднем равных 6,55 дБи и 9,21 дБи, мы можем увидеть усиление на 2,66 дБи, что является хорошим показателем коэффициента усиления сигнала, но при этом так же является пропорциональным к узконаправленности сигнала для каждого излучающего элемента, что является преимуществом в рамках поставленных для нас задач.
Программный способ калибровки. На рис. 2 показана диаграмма направленности изолированного элемента, представляющая собой ДН одного антенного элемента в отсутствие других элементов решётки Fиз(θ). Диаграмма направленности элемента в составе решётки обозначается как Fвстр (θ) и оценивается при условии, что остальные антенные элементы этой же решётки являются пассивными с отключёнными выходами. Для восстановления ДН изолированных элементов (т.е. компенсации взаимного влияния) используется следующее преобразование:
(6)
где – калибровочная матрица. Для определения калибровочной матрицы необходимо умножить обе части выражения (6) на матрицу, обратную квадратов получаем: . Применяя метод наименьших квадратов получаем:
(7)
Рассчитанная таким образом матрица может быть использована для калибровки принятого антенной решёткой сигнала:
(8)
где – матрица принятого сигнала, – откалиброванная матрица.
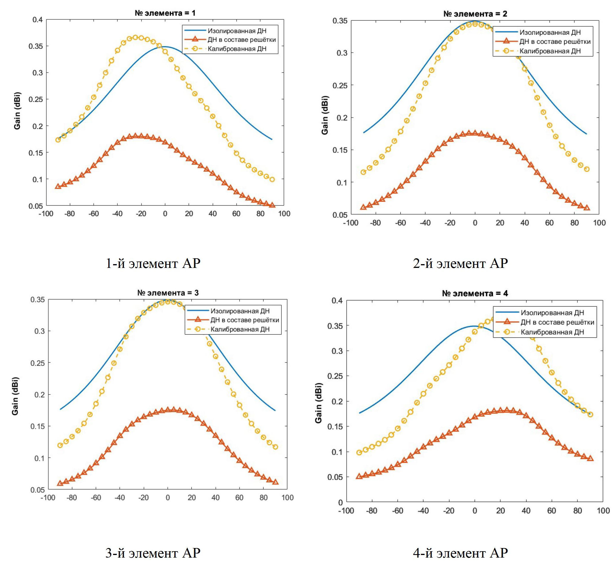
Рассмотренный алгоритм калибровки основан на идее «восстановления» изолированных диаграмм направленности. Как видно из формулы (8), перемножив элементы матрицы калибровки и матрицы ДН элементов в составе решётки можно получить ДН изолированных элементов. На рис. 5 представлены рассчитанные таким методом диаграммы направленности.
Рассмотрим полученные диаграммы. Видно, что форма калиброванной ДН в целом стремится к форме изолированной, однако степень их соответствия разнится между элементами. Лучше всего восстановились ДН центральных элементов, что объясняется меньшей искажённостью их формы под действием взаимного влияния по сравнению с ДН краевых элементов. Общей особенностью для всех элементов является неполное восстановление формы ДН. Это объясняется применением метода наименьших квадратов при расчёте калибровочной матрицы (7). Решить данное уравнение напрямую невозможно, т.к. требуется найти обратную матрицу , которая является прямоугольной. В связи с этим приходится прибегать к нахождению псевдообратной матрицы и аппроксимации по методу наименьших квадратов.
Рис. 5. Диаграммы направленности изолированных элементов, элементов в составе решётки после проведения калибровки.
В итоге, по результатам моделирования можно уверенно утверждать, что за счёт использования структур EBG и E-SMLUC-EBG, а также программных средств калибрования удалось увеличить коэффициент усиления антенных решёток. Данный результат доказывает жизнеспособность модели и необходимость реализации с последующей серией контрольных опытов для выяснения работоспособности и вероятных отклонений в значениях в «неидеальных» условиях.
About the authors
V. А. Zhigulin
Author for correspondence.
Email: ogarevonline@yandex.ru
V. E. Kutepov
Email: ogarevonline@yandex.ru
I. V. Peshkov
Email: ogarevonline@yandex.ru
N. А. Fortunova
Email: ogarevonline@yandex.ru
References
- Al-Hasan M. J., Denidni T. A., Sebak A. R. Millimeterwave compact EBG structure for mutual coupling reduction applications // IEEE Transactions on Antennas and Propagation. – 2015. – Vol. 63, No. 2. – P. 823–828.
- Arora A., Kumar N. To reduce mutual coupling in microstrip patch antenna arrays elements using electromagnetic band gap structures for X-band // 2017 International Conference on Nextgen Electronic Technologies: Silicon to Software (ICNETS2). – Chennai (China), 2017.
- P. 228–230.
- Seker I. Calibration methods for phased array radars // Defense, Security, and Sensing. – 2013. – Vol. 87. – P. 294–308.
- Zorkun A. E., Salas-Natera M. A., Pinto A. A., Rodríguez-Osorio R. M., Pérez M. S. A Mutual Coupling-Based Full Self-Online Calibration Method for Antenna Arrays in Uplink// IEEE Open Journal of Antennas and Propagation. – 2024. – No. 4. – P. 1026–1040.
- Huang Q., Zhou H., Bao J., Shi X. Accurate DOA Estimations Using Microstrip Adaptive Arrays in the Presence of Mutual Coupling Effect // International Journal of Antennas and Propagation. – 2013. – No. 3. – P. 1–8.
- Huang Q., Zhou H., Bao J., Shi X. Mutual Coupling Calibration for Microstrip Antenna Arrays via Element Pattern Reconstruction Method // IEEE Antennas and Wireless Propagation Letters. – 2014. – No. 13. – P. 51–54.
- Жигулин В. А. Разработка модели цифрового радиопеленгатора на базе алгоритма Бартлетта по методу совмещённого программно-аппаратного моделирования на ПЛИС // Информатика: проблемы, методы, технологии: Материалы XXIV Международной научно-практической конференции им. Э. К. Алгазинова, Воронеж, 14–15 февраля 2024 года. – Воронеж: Воронежский государственный университет, 2024. – С. 261–271.
- Пешков И. В., Жигулин В. А., Фортунова Н. А. Моделирование процесса радиопеленгации цифровыми антенными решетками с учетом эффекта взаимного влияния антенных элементов // Надежность и качество сложных систем. – 2023. – № 3. – С. 40–52.
Supplementary files











