On the application of WENO schemes to modeling reacting gas flows
- Authors: Potapkina Y.Y., Peskova E.E.
- Issue: Vol 11, No 16 (2023)
- Pages: 60-65
- Section: Articles
- Submitted: 23.11.2024
- Accepted: 23.11.2024
- URL: https://ogarev-online.ru/2311-2468/article/view/271170
- DOI: https://doi.org/10.15507/огарёв-online.v11i16.271170
- ID: 271170
Cite item
Full Text
Abstract
The 5th and 7th order WENO schemes with optimal weight coefficients without solution's smoothness indicators and with solution's smoothness indicators are investigated in the article. It is shown that the 5th order WENO scheme with optimal weight coefficients gives a more accurate result with less complexity of calculations to solve problems of multicomponent gas dynamics with chemical reactions, diffusion, viscosity and thermal conductivity.
Full Text
Введение. В настоящее время широкое распространение получило исследование газодинамических течений в задачах химической промышленности, поскольку технологам для получения целевых продуктов необходимо знать большое количество параметров проведения реакции. Наиболее значимым методом исследования стало математическое моделирование, которое позволяет рассмотреть поведение различных реакций в разных условиях без проведения лабораторных экспериментов. Аппарат математического моделирования расширяется и улучшается в прямой зависимости от появления новых задач: создаются новые математические модели, эффективные вычислительные алгоритмы, повышается точность расчетов. Настоящая работа направлена на исследование применения схем высокого порядка точности (WENO-схема 5 и 7 порядка) к решению задач теплопроводности и химических реакций.
Математическая модель и численный алгоритм. Поскольку нас интересует исследование возможности повышения порядка точности расчетов с помощью WENO-схем, в настоящей работе мы рассматриваем одномерную модель уравнений вязкой дозвуковой динамики химически активной газовой смеси:
Векторы 𝑈, 𝐹(𝑈), 𝐻(𝑈), 𝑊(𝑈) имеют следующий вид:
В этой системе уравнений 𝑚 = 1, … , M, M - число компонент в газовой смеси, 𝜌 - плотность смеси, 𝑌m - массовая доля -ой компоненты смеси, u - скорость, h - энтальпия смеси, Jmx - диффузионный поток, Rm - скорость образования или расхода 𝑚-ой компоненты смеси, 𝜋 = 𝑝−𝑝0 - динамическая составляющая давления, 𝑝0 - термодинамическая составляющая давления, постоянная в области, 𝜏xx – вязкий поток, 𝑞𝑥 - потока тепла.
Система дополняется условием на дивергенцию вектора скорости:
Здесь C𝑝 – теплоемкость смеси при постоянном давлении, T – температура смеси, 𝜆 – теплопроводность смеси, Dm,mix – коэффициент диффузии, ℎm – энтальпия образования компоненты смеси, Mw – молекулярная масса смеси, Mwm – молекулярная масса компоненты смеси. Более подробно математическая модель представлена в работе [1].
Для построения вычислительного алгоритма используем равномерную сетку отрезков:
Численный алгоритм строится по схеме расщепления по физическим процессам [2]. На первом этапе в этом расщеплении решается система уравнений химической кинетики, на втором этапе интегрируются уравнения законов сохранения без учета давления, далее рассчитывается поле поправок к давлению из решения уравнения Пуассона, на последнем этапе корректируются поле давления и поле скорости [2]. Поскольку мы исследуем применение WENO-схем, приведем подробно алгоритм второго этапа. Для интегрирования законов сохранения используется разностная схема вида:
Здесь H𝑖+½, H𝑖−½ – диффузионные, вязкие и тепловые потоки на границе 𝑖 и 𝑖 + 1, 𝑖 − 1 и 𝑖 ячейками соответственно, которые рассчитываются по схеме с центральными разностями, 𝐹𝑖+1/2, 𝐹𝑖−1/2 – конвективные потоки на границе 𝑖 и 𝑖 + 1, 𝑖 − 1 и 𝑖 ячейками соответственно, которые рассчитываются с использованием потоков Русанова [3]:
где и – значения вектора переменных U справа и слева от границы между i и i+1 ячейками, которые рассчитываем с использованием WENO схем 5 и 7 порядка точности [4; 5]. Их суть заключается в следующем. Для нахождения значения вектора переменных U справа и слева от границы между i и i+1 используется выражение:
Здесь K = 3 для случая схемы 5-го порядка, K = 4 для схемы 7-го порядка точности, Ω(v) – оптимальные весовые коэффициенты, – значение на границе, полученное на шаблоне
В случае использования весовых коэффициентов с индикаторами гладкости значения вектора переменных U справа и слева от границы между i и i+1 находятся из выражения:
Здесь IS(v) – это индикаторы гладкости, 𝜀– некоторое малое число, вводимое, чтоб предотвратить деление на ноль. Величины 𝑐vp, Ω(v), IS(v) для K = 3, K = 4 приведены в работах [4; 5].
Вычислительные эксперименты. Рассмотрим следующую одномерную постановку задачи. Размер области 0.2 м, шаг по пространству 2 ∙ 10−3 м, шаг по времени 1 ∙ 10−5 с, расчет ведем до 0.2 секунд. Принимаются следующие начальные данные: в области от 0 м до 0.1 м температура газа 800⁰С; в области от 0.1 м до 0.2 м температура газа 1200⁰С; скорость потока 0.1 м/c; давление 101325Па; состав газовой смеси – метан 100% (CH4). Граничные условия: на границе слева со скоростью 0.1 м/c втекает метан с температурой 800⁰С, на границе справа задаются условия вытекания. Такая постановка задачи принята для того, чтобы выяснить какая из схем будет лучше считать в области перепада температур. В этой же области начнут происходить интенсивные реакции с расходом метана и образования продуктов реакции.
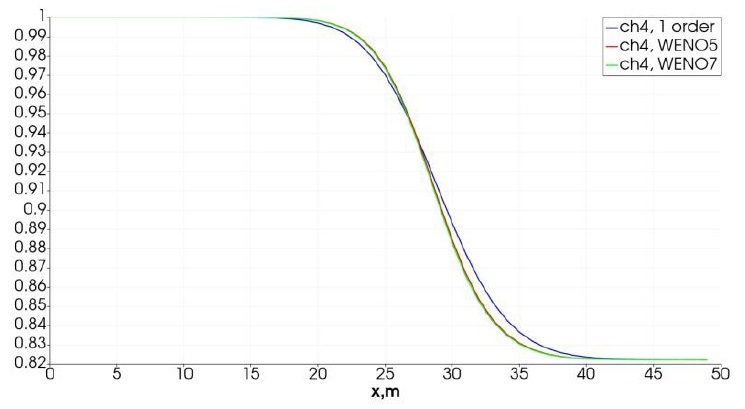
Рассматриваем 3 варианта расчета значений вектора U на границе ячеек: 1) схемой первого порядка точности, т.е. ; 2) WENO схемой 5-го порядка аппроксимации; 3) WENO-схемой 7-го порядка аппроксимации. На рисунках 1 и 2 представлены распределения температуры и метана. Из графиков можно сделать вывод, что схема первого порядка аппроксимации сглаживает решение в областях резкого изменения газодинамических параметров, разница температур составляет величину 10⁰С. Такой результат является достаточно большим расхождением в случае проведения лабораторных экспериментов. Расчет по схемам WENO 5-го и 7-го порядка практически совпадает, что говорит о преимуществе схемы WENO5, поскольку она использует более компактный шаблон. На рисунках 9 и 10 представлены расчеты по WENO-схемам с оптимальными весами и с расчетом индикаторов гладкости. Из графиков можно сделать вывод, что для рассматриваемых задач использование WENO-схем с оптимальными весами является преимущественным, поскольку графики полностью совпадают, а они являются менее трудоемкими. Полученный результат полного совпадения графиков можно объяснить преобладанием диффузионных процессов над конвективным переносом.
Рис. 1. Распределение температуры. Расчет по схемам 1-го порядка (синяя линия), WENO5 (красная линия), WENO7 (зеленая линия).
Рис. 2. Распределение метана. Расчет по схемам 1-го порядка (синяя линия), WENO5 (красная линия), WENO7 (зеленая линия).
Рис. 3. Распределение температуры. Расчет по схеме WENO5 (красная линия) и схеме WENO5 с оптимальными весами (бирюзовый пунктир).
Рис. 4. Распределение температуры. Расчет по схеме WENO7 (зеленая линия) и схеме WENO7 с оптимальными весами (синий пунктир).
Выводы. В работе проведено исследование применения WENO-схем 5-го и 7-го порядка точности с оптимальными весовыми коэффициентами и с весовыми коэффициентами, рассчитанными с использованием индикаторов гладкости к задачам многокомпонентных реагирующих течений с вязкостью, диффузией и теплопроводностью. Показано, что по сравнению со схемами первого порядка точности WENO-схемы меньше сглаживают решение в областях резкого изменения газодинамических параметров и концентраций компонент смеси. Сравнение результатов вычислительных экспериментов, в которых весовые коэффициенты в WENO-схеме принимались оптимальными и рассчитывались с индикаторами гладкости показало, что результаты расчетов совпадают. Таким образом, можно сделать вывод о преимуществе использования оптимальных весовых коэффициентов в WENO-схеме, поскольку в данном случае алгоритм является менее трудоемким.
About the authors
Yu. Yu. Potapkina
Author for correspondence.
Email: ogarevonline@yandex.ru
Russian Federation
E. E. Peskova
Email: ogarevonline@yandex.ru
Russian Federation
References
- Жалнин Р. В., Пескова Е. Е., Стадниченко О. А., Тишкин В. Ф. Моделирование течения многокомпонентного химически активного газа на примере пиролиза углеводородов // Препринты ИПМ им. М.В. Келдыша. – 2017. – № 101. – 16 с.
- Пескова Е. Е., Снытников В. Н. Численное исследование конверсии метановых смесей под воздействием лазерного излучения // Журнал Средневолжского математического общества. – 2023. – Т. 25, № 3. – С. 159–173.
- Русанов В. В. Расчет взаимодействия нестационарных ударных волн с препятствиями // Журнал вычислительной математики и математической физики. – 1961. – Т. 1, № 2. – С. 267–279.
- Shu C.-W. Essentially non-oscillatory and weighted essentially non-oscillatory schemes for hyperbolic conservation laws // Advanced Numerical Approximation of Nonlinear Hyperbolic Equations. – 2006. – Vol. 1697. – P. 325–432.
- Евстигнеев Н. М. О построении и свойствах WENO-схем пятого, седьмого, девятого, одиннадцатого и тринадцатого порядков. Часть 1. Построение и устойчивость // Компьютерные исследования и моделирование. – 2016. – Т. 8, № 5.– С. 721–753.
Supplementary files










