Use of Metabolic Inert Mycobacterium abscessus Cells to Study the Efficiency Of Drugs
- Autores: Martini B.A.1, Salina E.G.1,2
-
Afiliações:
- A.N. Bach Institute of Biochemistry, Research Center of Biotechnologies Russian Academy of Sciences
- Shemyakin and Ovchinnikov Institute of Bioorganic Chemistry, Russian Academy of Sciences
- Edição: Volume 59, Nº 6 (2023)
- Páginas: 599-604
- Seção: Articles
- URL: https://ogarev-online.ru/0555-1099/article/view/232496
- DOI: https://doi.org/10.31857/S0555109923060089
- EDN: https://elibrary.ru/CKTHEU
- ID: 232496
Citar
Texto integral
Resumo
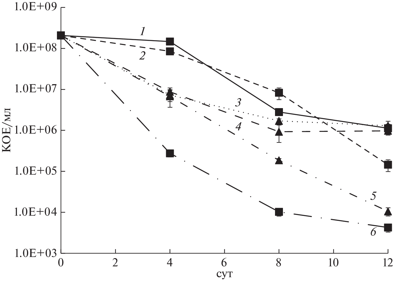
We investigated the effectiveness of antibiotics (amikacin, bedaquiline, linezolid, moxifloxacin, rifampicin) on metabolically inert M. abscessus obtained under conditions of potassium deficiency in vitro. It was found that bedaquiline led to a significant decrease in the ability of bacteria to form colonies on solid media, but did not lead to their death, since it was shown that during cultivation in a liquid medium, they reverted to a state of active division and growth. Moxifloxacin had a bactericidal effect against metabolically inert bacteria, irreversibly and significantly reducing the number of viable cells in culture, which emphasizes the effectiveness of its use for the treatment of infections caused by M. abscessus.
Palavras-chave
Sobre autores
B. Martini
A.N. Bach Institute of Biochemistry, Research Center of Biotechnologies Russian Academy of Sciences
Email: elenasalina@yandex.ru
Russia, 119071, Moscow
E. Salina
A.N. Bach Institute of Biochemistry, Research Center of Biotechnologies Russian Academy of Sciences; Shemyakin and Ovchinnikov Institute of Bioorganic Chemistry, Russian Academy of Sciences
Autor responsável pela correspondência
Email: elenasalina@yandex.ru
Russia, 119071, Moscow; Russia, 117997, Moscow
Bibliografia
- Johansen M.D., Herrmann J.L., Kremer L. // Nat. Rev. Microbiol. 2020. V. 18. № 1. P. 392–407. https://doi.org/10.1038/s41579-020-0331-1
- Recchia D., Stelitano G., Stamilla A., Gutierrez D.L., Degiacomi G., Chiarelli L.R., Pasca M.R. // Int. J. Mol. Sci. 2023. V. 24. № 5. P. 4635. https://doi.org/10.3390/ijms24054635
- Sepulcri C., Vena A., Bassetti M. // Curr. Opin. Infect. Dis. 2023. V. 36. № 2. P. 74–80. https://doi.org/10.1097/QCO.0000000000000905
- Berube B.J., Castro L., Russell D., Ovechkina Y., Parish T. // Front Microbiol. 2018. V. 9. P. 2417. https://doi.org/10.3389/fmicb.2018.02417
- Yam Y.K., Alvarez N., Go M.L., Dick T. // Front Microbiol. 2020. V. 11. P. 359. https://doi.org/10.3389/fmicb.2020.00359
- Shleeva M., Mukamolova G.V., Young M., Williams H.D., Kaprelyants A.S. // Microbiology. 2004. V. 150. P. 1687–1697. https://doi.org/10.1099/mic.0.26893-0
- Salina E.G., Waddell S.J., Hoffmann N., Rosenkrands I., Butcher P.D., Kaprelyants A.S. // Open Biol. 2014. V. 4. P. 140106. https://doi.org/10.1098/rsob.140106
- Connell N. // Methods Cell Biol. 1994. V. 45 P. 107–125. https://doi.org/10.1016/s0091-679x(08)61848-8
- Shleeva M.O., Kudykina Y.K., Vostroknutova G.N., Suzina N.E., Mulyukin A.L., Kaprelyants A.S. // Tuberculosis (Edinb). 2011. V. 91. P. 146–154. https://doi.org/10.1016/j.tube.2010.12.006
- de Man J.C. // J. Appl. Microbiol. 1975. V. 1. P. 67–78. https://doi.org/10.1007/BF01880621
- Palomino J.C., Martin A., Camacho M., Guerra H., Swings J., Portaels F. // Antimicrob. Agents Chemother. 2002. V. 46. № 8. P. 2720–2722. https://doi.org/10.1128/AAC.46.8.2720-2722.2002
- Coban A.Y., Deveci A., Sunter A.T., Palomino J.C., Martin A. // Int J Mycobacteriol. 2014. V. 3. № 4. P. 230–241. https://doi.org/10.1016/j.ijmyco.2014.09.002
- Performance Standards for Antimicrobial Susceptibility Testing. // Clinical and Laboratiry Standard Institute Wayne, V. 27(1). 17th Information Supplement.
- Myers A. // J. Biol. Educ. 1990. V. 24. № 2. P. 123–127. https://doi.org/10.1080/00219266.1990.9655123
- Salina E., Ryabova O., Kaprelyants A., Makarov V. // Antimicrob. Agents Chemother. 2014. V.58. № 1. P. 55–60. https://doi.org/10.1128/AAC.01308-13
- Hurst-Hess K.R., Saxena A., Rudra P., Yang Y., Ghosh P. // Mol. Cell. 2022. V.82. № 17. P. 3166–3177. https://doi.org/10.1016/j.molcel.2022.06.034
- Vesenbeckh S., Schönfeld N., Roth A., Bettermann G., Krieger D., Bauer T.T., Rüssmann H., Mauch H. // Eur. Respir. J. 2017. V. 49. № 5. P. 1700083. https://doi.org/10.1183/13993003.00083-2017
Arquivos suplementares



