Catalysis of the Abramov Reaction under Conditions of Microwave Activation
- Authors: Davletshin R.R.1, Sedov A.N.1, Davletshina N.V.1, Ivshin K.A.1, Fedonin A.P.1, Osogostok A.P.1, Cherkasov R.A.1
-
Affiliations:
- Kazan Federal University
- Issue: Vol 97, No 7 (2023)
- Pages: 960-964
- Section: CHEMICAL KINETICS AND CATALYSIS
- Submitted: 15.10.2023
- Published: 01.07.2023
- URL: https://ogarev-online.ru/0044-4537/article/view/136619
- DOI: https://doi.org/10.31857/S0044453723070063
- EDN: https://elibrary.ru/SKJDND
- ID: 136619
Cite item
Full Text
Abstract
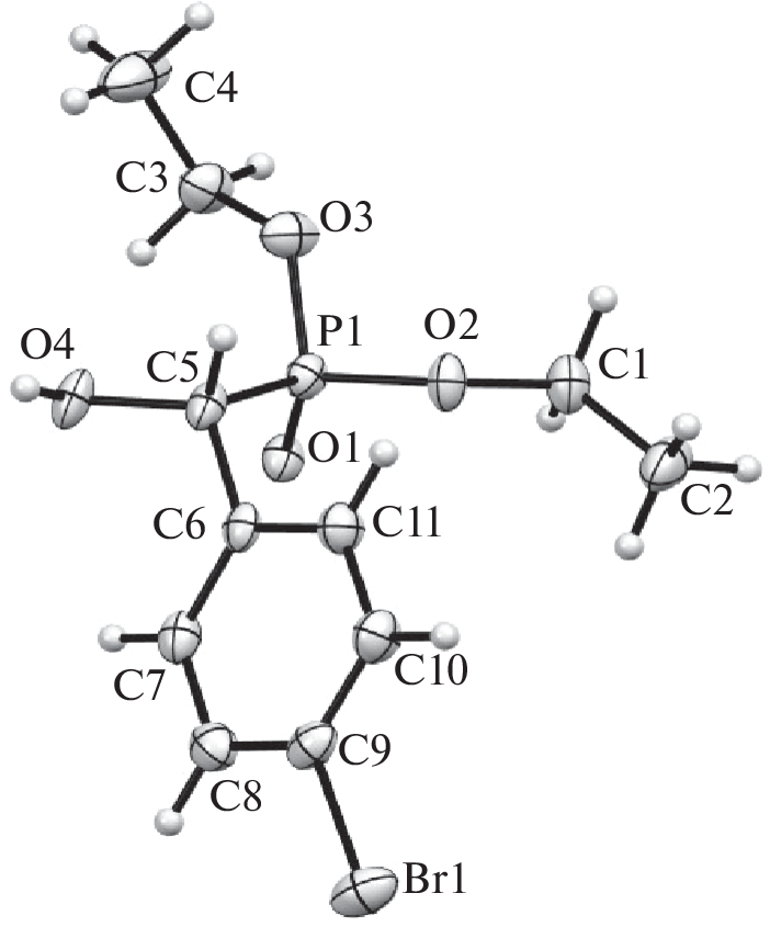
Two series of α-hydroxyphosphonate synthesis according to the Abramov reaction are conducted under conditions of microwave activation. Acidic and basic catalysts are used along with 4-bromobenzaldehyde and 3-methoxy-4-hydroxybenzaldehyde. O,O-Diethylphosphite is used as a phosphorylating agent. The conversion of the reaction products is monitored via NMR spectroscopy. The optimum conditions for the synthesis of α-hydroxyphosphonates are selected. The crystal structure of reaction product O,O‑diethyl((4-bromophenyl(hydroxy)methyl)phosphonate 2, which crystallizes in the space group P21/n and is stabilized by multiple C–H⋅⋅⋅O and C–H⋅⋅⋅π interactions, is described for the first time.
About the authors
R. R. Davletshin
Kazan Federal University
Email: alchemy-rus@yandex.ru
420008, Kazan, Russia
A. N. Sedov
Kazan Federal University
Email: alchemy-rus@yandex.ru
420008, Kazan, Russia
N. V. Davletshina
Kazan Federal University
Email: alchemy-rus@yandex.ru
420008, Kazan, Russia
K. A. Ivshin
Kazan Federal University
Email: alchemy-rus@yandex.ru
420008, Kazan, Russia
A. P. Fedonin
Kazan Federal University
Email: alchemy-rus@yandex.ru
420008, Kazan, Russia
A. P. Osogostok
Kazan Federal University
Email: alchemy-rus@yandex.ru
420008, Kazan, Russia
R. A. Cherkasov
Kazan Federal University
Author for correspondence.
Email: alchemy-rus@yandex.ru
420008, Kazan, Russia
References
- Tezel U., Pavlostathis S.G. // Curr Opin Biotechnol. 2015. V. 33. P. 296. https://doi.org/10.1016/j.copbio.2015.03.018
- Buffet-Bataillona S., Tattevinc P., Bonnaure-Mallet M., et al. // Int. J. Antimicrob. Agents. 2012. V. 39. № 5. P. 381. https://doi.org/10.1016/j.ijantimicag.2012.01.011
- Pateiro-Moure M., Arias-Estevez M., Simal-Gandara J. // Environ. Sci. Technol. 2013. V. 47. № 10. P. 4984. https://doi.org/10.1021/es400755h
- Galkina I.V., Khayarov K.R., Davletshin R.R. et al. // Phosphorus, Sulfur Silicon Relat. Elem. 2019. V. 194. № 4–6. P. 463. https://doi.org/10.1080/10426507.2018.1539848
- Gayneev A., Davletshin R., Davletshina N. et al. // Phosphorus, Sulfur Silicon Relat. Elem. 2022. V. 197. № 5–6. online https:/doi.org/.https://doi.org/10.1080/10426507.2021.2021527
- Davletshin R.R., Gayneev A.M., Ermakova E.A. et al. // Mendeleev Commun. 2022. V. 32. P. 180. https://doi.org/10.1016/j.mencom.2022.03.009
- Lima Y.R., Da Costa G.P., Xavier M.C.D.F. et al. // ChemistrySelect. 2020. V. 5. P. 12487. https://doi.org/10.1002/slct.202003761
- Kiss N.Z., Radai Z., Keglevich G. // Phosphorus, Sulfur Silicon Relat. Elem. 2019. V. 194. № 10. P. 1003. https://doi.org/10.1080/10426507.2019.1630407
- Sampath S., Raju C.N., Rao C.V. // Phosphorus, Sulfur Silicon Relat. Elem. 2016. V. 191. № 1. P. 95. https://doi.org/10.1080/10426507.2015.1032412
- Kalla R.M.N., Lee H.R., Cao J. et al. // New J. Chem. 2015. V. 39. P. 3916. https://doi.org/10.1039/C4NJ01695E
- Колодяжный О.И. // Успехи химии. 2006. Т. 75. № 3. С. 254. Kolodiazhnyi O.I. // Russ. Chem. Rev. 2006. V. 75. P. 227. https://doi.org/10.1070/RC2006v075n03ABEH001193
- Prechelmacher S., Mereiter K., Hammerschmidt F. // Org. Biomol. Chem. 2018. V. 16. P. 3672. https://doi.org/10.1039/C8OB00419F
- Vincze D.A., Abranyi-Balogh P., Bagi P. et al. // Molecules. 2019. V. 24. № 21. P. 3859. https://doi.org/10.3390/molecules24213859
- Cytlak T., Skibinska M., Kaczmarek P. et al. // New J. Chem. 2018. V. 8. P. 11957. https://doi.org/10.1039/C8RA01656A
- Iorga B., Eymery F., Savignac P. // Tetrahedron. 1999. V. 55. P. 2671. https://doi.org/10.1016/S0040-4020(99)00822-4
- Baccari Z., Sanhoury M.A.K., Crousse B. et al. // Synth. Commun. 2018. V. 48. № 10. P. 1199. https://doi.org/10.1080/00397911.2018.1439175
- Desai J., Wang Y., Wang K. et al. // ChemMedChem. 2016. V. 11. P. 2205. https://doi.org/10.1002/cmdc.201600343
- Mahato A.K., Sahoo B.M., Banik B.K. // J. Indian Chem. Soc. 2018. V. 95. P. 1.
- Sanseverino A.M. // Quim. Nova. 2002. V. 25. № 4. P. 660. https://doi.org/10.1590/s0100-40422002000400022
- Sobhani S., Tashrifi Z. // Tetrahedron. 2010. V. 7. № 66. P. 1429. https://doi.org/10.1016/j.tet.2009.11.081
- Iranpoor N., Firouzabadi H., Khalili D. // Phosphorus, Sulfur Silicon Relat. Elem. 2011. V. 186. № 11. P. 2166. https://doi.org/10.1080/10426507.2011.582594
- Kalla R.M.N., Zhang Y., Kim I. // New J. Chem. 2017. V. 41. № 13. P. 5373. https://doi.org/10.1039/C6NJ03948K
- Yeswanth S., Sekhar K.C., Chaudhary A., Sarma P.V.G.K. // Med Chem Res. 2018. V. 27. № 3. P. 785. https://doi.org/10.1007/s00044-017-2102-8
- Radai Z., Szeles P., Kiss N.Z. et al. // Heteroat. Chem. 2018. V. 29. № 4. P. e21436. https://doi.org/10.1002/hc.21436
- Radai Z., Keglevich G. // Molecules. 2018. V. 23. № 1493. https://doi.org/10.3390/molecules23061493
- Radai Z., Hodula V., Kiss N.Z. et al. // Mendeleev Commun. 2019. V. 29. № 2. P. 153. https://doi.org/10.1016/j.mencom.2019.03.011
- Radai Z., Kiss N.Z., Czugler M. et al. // Acta Crystallogr. C Struct. Chem. 2019. V. 75. № 3. P. 283. https://doi.org/10.1107/S2053229619001839
- Radai Z. // Phosphorus, Sulfur Silicon Relat. Elem. 2019. V. 194. № 4. P. 425. https://doi.org/10.1080/10426507.2018.1544132
- Gundluru M., Mallu K.K.R., Sarva S. et. al. // J. Mol. Struct. 2022. T. 1256. P. 132554. https://doi.org/10.1016/j.molstruc.2022.132554
- Krause L., Herbst-Irmer R., Sheldrick G.M. et al. // J. Appl. Crystallogr. 2015. № 48 P. 3. https://doi.org/10.1107/S1600576714022985
- Sheldrick G.M. // Acta Crystallogr., Sect. A: Found. Adv. 2015. № 71. P. 3. https://doi.org/10.1107/S2053273314026370
Supplementary files






