INFLUENCE OF THE DIRECTION OF SOURCES ON THE PHASE INVARIANTS OF VECTOR-SCALAR FIELDS IN A SHALLOW SEA
- Authors: Kuznetsov G.N.1, Stepanov A.N.1,2
-
Affiliations:
- Prokhorov General Physics Institute of the Russian Academy of Sciences
- Samara National Research University
- Issue: Vol 512, No 1 (2023)
- Pages: 17-23
- Section: ФИЗИКА
- URL: https://ogarev-online.ru/2686-7400/article/view/232958
- DOI: https://doi.org/10.31857/S2686740023050073
- EDN: https://elibrary.ru/OVJEMS
- ID: 232958
Cite item
Full Text
Abstract
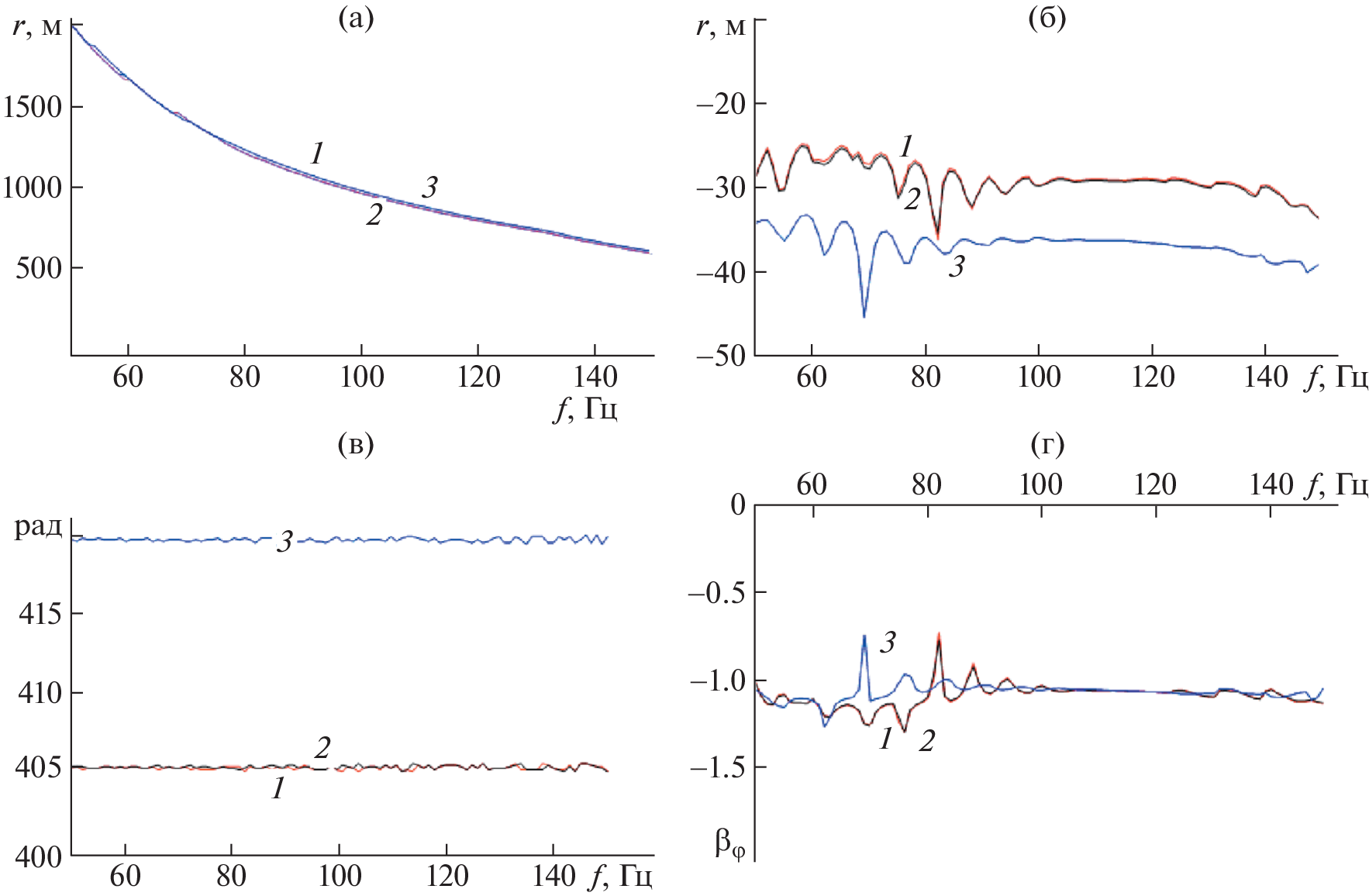
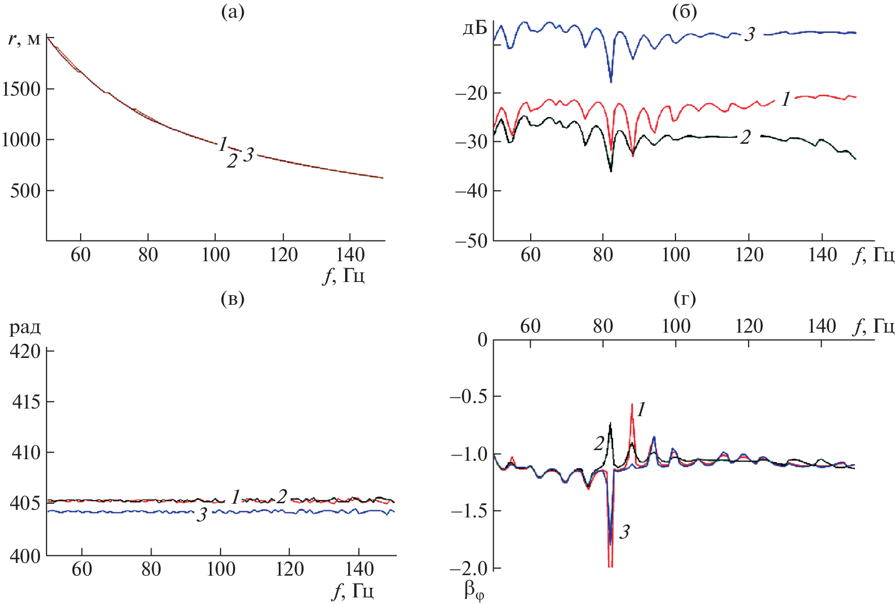
For the first time, the properties of the phase invariant of sound to vector-scalar fields formed in a waveguide by directional multipole sources are studied. It is shown that when even such complex sources are used, the phase invariant is valid for sound pressure and for projections of the vibrational velocity vector. It practically does not depend on the directivity and frequency of the source, the distance between the receiver and the source, and on the parameters of the waveguide.
About the authors
G. N. Kuznetsov
Prokhorov General Physics Institute of the Russian Academy of Sciences
Author for correspondence.
Email: skbmortex@mail.ru
Russia, Moscow
A. N. Stepanov
Prokhorov General Physics Institute of the Russian Academy of Sciences; Samara National Research University
Email: skbmortex@mail.ru
Russia, Moscow; Russia, Samara
References
- Чупров С.Д. Интерференционная структура звукового поля в слоистом океане // Акустика океана. Современное состояние. М.: Наука, 1982. С. 71–91.
- Kuznetsov G.N., Stepanov A.N. Interference and Phase Invariants of Sound Fields // Physics of Wave Phenomena. 2021. V. 29. № 3. P. 285–292.
- Бреховских Л.М. Волны в слоистых средах. М.: Наука, 1973. 279 с.
- Кузнецов Г.Н., Степанов А.Н. Векторно-скалярные поля мультипольных гидроакустических источников, эквивалентных шумоизлучению морских объектов. М.: Буки-Веди, 2022. 304 с.
Supplementary files







