Isolation and Physicochemical Characteristics of Water-Soluble Polysaccharide from Locally Growing and Cultivated Basidium Raw Materials of Ganoderma lucidum
- Авторлар: Khaytmetova S.B.1, Turaev A.S.1, Khalilova G.A.1, Muhitdinov B.I.1, Makkamboeva S.R.1
-
Мекемелер:
- Sadykov Institute of Bioorganic Chemistry, Academy of Sciences of Republic of Uzbekistan
- Шығарылым: Том 65, № 5 (2023)
- Беттер: 362-373
- Бөлім: ПРИРОДНЫЕ ПОЛИМЕРЫ
- URL: https://ogarev-online.ru/2308-1120/article/view/233623
- DOI: https://doi.org/10.31857/S2308112023600084
- EDN: https://elibrary.ru/DDDUQO
- ID: 233623
Дәйексөз келтіру
Толық мәтін
Аннотация
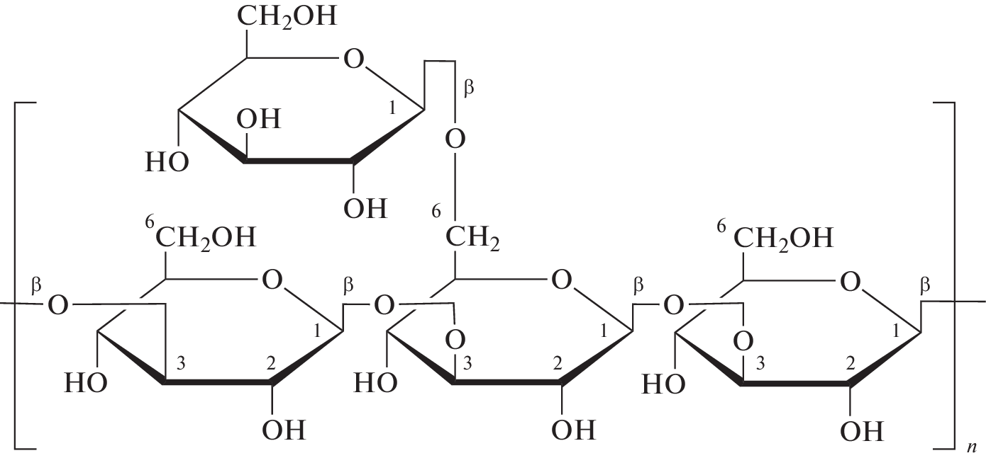
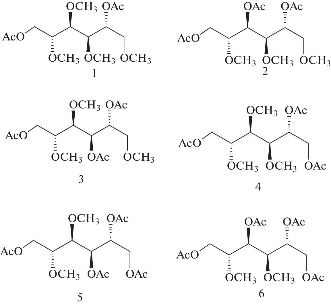
Branched polysaccharides have been isolated from basidiomycete raw materials of locally growing and cultivated Ganoderma lucidum. It has been found that the isolated fractions contain branched polysaccharides in the form of complexes with melanin. After purification of polysaccharides by ion exchange chromatography from locally growing and cultivated basidial raw materials, two fractions have been obtained: neutral polysaccharides of locally growing Ganoderma lucidum (GW-1), cultivated Ganoderma lucidum (GWL-1) with a yield of 25.71 and 29.85%, respectively, and anionic polysaccharides of locally growing Ganoderma lucidum (GW-2), cultivated Ganoderma lucidum (GWL-2), with a yield of 5.26 and 4.19%. The physicochemical properties of the obtained samples have been studied by IR and UV spectroscopies. The purity degree of fractions of branched polysaccharides has been determined. Using gas chromatography, one-dimensional (13C NMR, 1H NMR), and two-dimensional (COSY, TOCSY, HSQC, HMBC, NOESY) NMR spectroscopies, the compositions and molecular structures of the obtained polysaccharide samples have been determined. The results showed that the isolated and purified polysaccharides are β-glucan-type branched polysaccharides that have branch point (1,4,6)- and (1,3,6)-linked glucopyranose residues.
Авторлар туралы
S. Khaytmetova
Sadykov Institute of Bioorganic Chemistry, Academy of Sciences of Republic of Uzbekistan
Email: xsb75@mail.ru
100125, Tashkent, Uzbekistan
A. Turaev
Sadykov Institute of Bioorganic Chemistry, Academy of Sciences of Republic of Uzbekistan
Email: xsb75@mail.ru
100125, Tashkent, Uzbekistan
G. Khalilova
Sadykov Institute of Bioorganic Chemistry, Academy of Sciences of Republic of Uzbekistan
Email: xsb75@mail.ru
100125, Tashkent, Uzbekistan
B. Muhitdinov
Sadykov Institute of Bioorganic Chemistry, Academy of Sciences of Republic of Uzbekistan
Email: xsb75@mail.ru
100125, Tashkent, Uzbekistan
S. Makkamboeva
Sadykov Institute of Bioorganic Chemistry, Academy of Sciences of Republic of Uzbekistan
Хат алмасуға жауапты Автор.
Email: xsb75@mail.ru
100125, Tashkent, Uzbekistan
Әдебиет тізімі
- Wasser S.P., Weis A.L. // Int. J. Med. Mushr. 1999. V. 1. P. 31.
- Wasser S.P. // Appl. Microbiol. Biotechnol. 2002. V. 60. P. 258.
- Mizuno T. // Foods Food Ingred. J. Jpn. 1996. V. 167. P. 69.
- Mizuno T. // Food Rev. Intern. 1995. V. 11. P. 173.
- Gorin PAJ, Barreto-Berger E. // The Polysaccharides / Ed. by G.O. Aspinall. New York: Acad. Press, 1983. P. 365.
- Liu W., Lu W., Chai L., Liu Y., Yao W., Gao H. // Carbohydr. Polym. 2017. V. 176. P. 140.
- Qingbin G., Lianzhong A., Steve W., Cui Q. // Springer Briefs in Molecular Science Biobased Polymers / Ed. by P. Navard. Switzerland, 2018. P. 20.
- Pan D., Wang L., Chen C., Teng B., Wang Ch., Xu Z., Hu B., Zhou P. // Food Chem. 2012. V. 135. № 3. P. 1097.
- Magdeldin S. Affinity Chromatography: Principles and Applications. China: InTech, 2012.
- Wang. Q., Zhao X., Pu J., Luan X. // Carbohydr. Polym. 2016. V. 143. P. 296.
- Kim Y., Kim B., Cheong Ch., David L., Williams, Kim Ch., Lim S. // Carbohydr. Res. 2000. V. 328. P. 331.
- Patel B.K., Campanella O.H., Janaswamy S. // Carbohydr. Polym. 2013. V. 92. P. 1873.
- Tao Y., Zhang R., Wei Y., Liu H., Yang H., Zhao Q. // Carbohydr. Polym. 2015. V. 128. P. 179.
- Khaytmetova S.B., Turaeva A.S., Khalilova G.A. // Polymer Science B. 2022. V. 64. № 4. P. 500.
- Bjomdal H., Hellerqvist C., Lindberg B., Svensson S. // Angew. Chem. Int. Ed. Eng. 1970. V. 9. P. 610.
- Arun G., Eyini M, Gunasekaran P. // J. Experim. Biol. 2015. V. 53. P. 380.
- Tian Y., Elbing K., Stefan H. // Microbiology. 2008. V. 154. P. 2814.
- Jianguo W., Yahong Y., Tianli Y. // Carbohydr. Polym. 2014. V. 10. P. 247.
- Khalilova G.A., Turaev A.S., Muhitdinov B.I., Filatova A.V., Haytmetova S.B., Normakhamatov N.S. // Am. J. Appl. Sci. 2021. V. 3. № 1. P. 9.
- Ding H.H., Cui S.W., Goff H.D., Chen J., Guo Q., Wang Q. // Carbohydr. Polym. 2016. V. 151. P. 538.
- Ren Y., Bai Y., Zhang Z., Cai W., Del R., Flores A. // Molecules. 2019. V. 24. № 17. P. 3122.
- Халилова Г.А., Тураев А.С., Мухитдинов Б.И., Хайтметова С.Б., Азимова Л.Б., Нормахаматов Н.С. // Докл. АН Республики Узбекистан. 2020. № 5. С. 55.
Қосымша файлдар










