🔧На сайте запланированы технические работы
25.12.2025 в промежутке с 18:00 до 21:00 по Московскому времени (GMT+3) на сайте будут проводиться плановые технические работы. Возможны перебои с доступом к сайту. Приносим извинения за временные неудобства. Благодарим за понимание!
🔧Site maintenance is scheduled.
Scheduled maintenance will be performed on the site from 6:00 PM to 9:00 PM Moscow time (GMT+3) on December 25, 2025. Site access may be interrupted. We apologize for the inconvenience. Thank you for your understanding!

 

Application of computational algorithms with higher order of accuracy to the modeling of two-dimensional problems on development of hydrodynamic instability

Cover Page

Cite item

Full Text

Abstract

This article examines application of computational algorithms with an increased order of accuracy for modeling two-dimensional problems of development of hydrodynamic instabilities. The efficiency of using algorithms to improve the accuracy and reliability of modeling in this area is considered. More specifically, the paper describes a numerical algorithm for solving the problem of development of Richtmayer-Meshkov instability. To construct the algorithm, the authors use the WENO scheme of the fifth order of accuracy Several problems are solved numerically using the developed method. The article models such processes as flows at a time of 4 046 microseconds, a change in the width of the region filled with sulfur hexafluoride, numerical schlieren patterns at a time of 877 microseconds, a change in the width of the region filled with heavy gas. The results are obtained by various methods on grids of different dimensions and compared with experimental data. It is shown that schemes with WENO reconstruction of the 5th order of accuracy demonstrate results closer to full-scale experiments.

Full Text

1.      Введение

Неустойчивость Рихтмайера-Мешкова (далее MathType@MTEF@5@5@+= feaahGart1ev3aqatCvAUfeBSjuyZL2yd9gzLbvyNv2CaerbuLwBLn hiov2DGi1BTfMBaeXatLxBI9gBaerbd9wDYLwzYbItLDharqqtubsr 4rNCHbGeaGqiVu0Je9sqqrpepC0xbbL8F4rqqrFfpeea0xe9Lq=Jc9 vqaqpepm0xbba9pwe9Q8fs0=yqaqpepae9pg0FirpepeKkFr0xfr=x fr=xb9adbaqaaeGaciGaaiaabeqaamaabaabaaGcbaqefmuySLMyYL gaiuaajugybabaaaaaaaaapeGaa83eGaaa@3A74@  НРМ) возникает при прохождении ударной волны через разделительную границу между жидкостями разной плотности. Она инициализирована накоплением завихренности на границе раздела из-за сдвига градиентов давления и плотности на границе ударной волны и материала.

На данный момент прямое численное моделирование турбулентного перемешивания, возникающего при развитии неустойчивостей, остается слишком затратным с вычислительной точки зрения. Тем не менее, предыдущие исследования включали в себя множество точных вычислений и использование LES-моделей для изучения процесса развития турбулентного перемешивания при неустойчивостях.

Исследования, посвященные численному моделированию развития неустойчивости Рихтмайера-Мешкова на основе уравнений Эйлера, не учитывали влияние газового взаимопроникновения (например, работы [1-2]). Кроме того, было отмечено, что замена ступенчатого профиля плотности на контактном разрыве непрерывным распределением в слое конечной ширины может снизить скорость роста возмущений на начальной стадии развития неустойчивости Рихтмайера-Мешкова. Этот факт подтвержден в исследованиях, проведенных в работах [3-4]. Также, в работе [5] было указано на необходимость использования моделей многокомпонентных смесей для описания разрушения контактной границы и образования области смеси.

Современные стандарты качества математического моделирования гидродинамических неустойчивостей требуют проведения расчетов на подробных сетках (до нескольких миллионов ячеек и более) с использованием высокоточных схем. Такие схемы, как правило, основанные на методах высокого порядка аппроксимации, активно разрабатываются и исследуются в настоящее время [6].

Актуальные и эффективные схемы для решения задач о развитии неустойчивости Рихтмайера-Мешкова включают в себя различные методы численного моделирования и анализа таких процессов. Некоторые из них включают в себя: метод конечных элементов [7], метод конечных разностей [8-9], метод сглаженных частиц [10] и т.д.

Эти методы могут быть комбинированы и адаптированы в зависимости от конкретной задачи и требований исследования неустойчивости Рихтмайера-Мешкова. Важно учитывать особенности конкретного физического процесса и подходить к выбору метода решения задачи индивидуально.

В данной работе исследовались две задачи о набегании ударной волны на область из более тяжелого газа с использованием схем второго и пятого порядка точности.

2.      Математическая модель

Будем рассматривать двумерную систему уравнений двухкомпонентной газовой динамики, записанную в консервативной форме:

 

                                                              U t + F(U) x + G(U) y =0, MathType@MTEF@5@5@+= feaahGart1ev3aaatCvAUfeBSjuyZL2yd9gzLbvyNv2CaerbuLwBLn hiov2DGi1BTfMBaeXatLxBI9gBaerbd9wDYLwzYbItLDharqqtubsr 4rNCHbGeaGqiVu0Je9sqqrpepC0xbbL8F4rqqrFfpeea0xe9Lq=Jc9 vqaqpepm0xbba9pwe9Q8fs0=yqaqpepae9pg0FirpepeKkFr0xfr=x fr=xb9adbaqaaeGaciGaaiaabeqaamaabaabaaGcbaWaaSaaaeaacq GHciITcaWGvbaabaGaeyOaIyRaamiDaaaacqGHRaWkdaWcaaqaaiab gkGi2kaadAeacaaIOaGaamyvaiaaiMcaaeaacqGHciITcaWG4baaai abgUcaRmaalaaabaGaeyOaIyRaam4raiaaiIcacaWGvbGaaGykaaqa aiabgkGi2kaadMhaaaGaaGypaiaaicdacaaISaaaaa@4C69@ (2.1)

 где

                                    U= ρ ρu ρv E ρY ,F(U)= ρu ρ u 2 +p ρuv (E+p)u ρuY ,G(U)= ρv ρuv ρ v 2 +p (E+p)v ρvY . MathType@MTEF@5@5@+= feaahGart1ev3aaatCvAUfeBSjuyZL2yd9gzLbvyNv2CaerbuLwBLn hiov2DGi1BTfMBaeXatLxBI9gBaerbd9wDYLwzYbItLDharqqtubsr 4rNCHbGeaGqiVu0Je9sqqrpepC0xbbL8F4rqqrFfpeea0xe9Lq=Jc9 vqaqpepm0xbba9pwe9Q8fs0=yqaqpepae9pg0FirpepeKkFr0xfr=x fr=xb9adbaqaaeGaciGaaiaabeqaamaabaabaaGcbaGaamyvaiaai2 dadaqadaqaauaabeqafeaaaaqaaiabeg8aYbqaaiabeg8aYjaadwha aeaacqaHbpGCcaWG2baabaGaamyraaqaaiabeg8aYjaadMfaaaaaca GLOaGaayzkaaGaaGilaiaadAeacaaIOaGaamyvaiaaiMcacaaI9aWa aeWaaeaafaqabeqbbaaaaeaacqaHbpGCcaWG1baabaGaeqyWdiNaam yDamaaCaaaleqabaGaaGOmaaaakiabgUcaRiaadchaaeaacqaHbpGC caWG1bGaamODaaqaaiaaiIcacaWGfbGaey4kaSIaamiCaiaaiMcaca WG1baabaGaeqyWdiNaamyDaiaadMfaaaaacaGLOaGaayzkaaGaaGil aiaadEeacaaIOaGaamyvaiaaiMcacaaI9aWaaeWaaeaafaqabeqbba aaaeaacqaHbpGCcaWG2baabaGaeqyWdiNaamyDaiaadAhaaeaacqaH bpGCcaWG2bWaaWbaaSqabeaacaaIYaaaaOGaey4kaSIaamiCaaqaai aaiIcacaWGfbGaey4kaSIaamiCaiaaiMcacaWG2baabaGaeqyWdiNa amODaiaadMfaaaaacaGLOaGaayzkaaGaaGOlaaaa@79EA@

 Здесь ρ MathType@MTEF@5@5@+= feaahGart1ev3aaatCvAUfeBSjuyZL2yd9gzLbvyNv2CaerbuLwBLn hiov2DGi1BTfMBaeXatLxBI9gBaerbd9wDYLwzYbItLDharqqtubsr 4rNCHbGeaGqiVu0Je9sqqrpepC0xbbL8F4rqqrFfpeea0xe9Lq=Jc9 vqaqpepm0xbba9pwe9Q8fs0=yqaqpepae9pg0FirpepeKkFr0xfr=x fr=xb9adbaqaaeGaciGaaiaabeqaamaabaabaaGcbaGaeqyWdihaaa@37B7@   MathType@MTEF@5@5@+= feaahGart1ev3aqatCvAUfeBSjuyZL2yd9gzLbvyNv2CaerbuLwBLn hiov2DGi1BTfMBaeXatLxBI9gBaerbd9wDYLwzYbItLDharqqtubsr 4rNCHbGeaGqiVu0Je9sqqrpepC0xbbL8F4rqqrFfpeea0xe9Lq=Jc9 vqaqpepm0xbba9pwe9Q8fs0=yqaqpepae9pg0FirpepeKkFr0xfr=x fr=xb9adbaqaaeGaciGaaiaabeqaamaabaabaaGcbaqefmuySLMyYL gaiuaajugybabaaaaaaaaapeGaa83eGaaa@3A74@  плотность жидкости, v=(u,v) MathType@MTEF@5@5@+= feaahGart1ev3aaatCvAUfeBSjuyZL2yd9gzLbvyNv2CaerbuLwBLn hiov2DGi1BTfMBaeXatLxBI9gBaerbd9wDYLwzYbItLDharqqtubsr 4rNCHbGeaGqiVu0Je9sqqrpepC0xbbL8F4rqqrFfpeea0xe9Lq=Jc9 vqaqpepm0xbba9pwe9Q8fs0=yqaqpepae9pg0FirpepeKkFr0xfr=x fr=xb9adbaqaaeGaciGaaiaabeqaamaabaabaaGcbaGaaCODaiaai2 dacaaIOaGaamyDaiaaiYcacaWG2bGaaGykaaaa@3BCD@   MathType@MTEF@5@5@+= feaahGart1ev3aqatCvAUfeBSjuyZL2yd9gzLbvyNv2CaerbuLwBLn hiov2DGi1BTfMBaeXatLxBI9gBaerbd9wDYLwzYbItLDharqqtubsr 4rNCHbGeaGqiVu0Je9sqqrpepC0xbbL8F4rqqrFfpeea0xe9Lq=Jc9 vqaqpepm0xbba9pwe9Q8fs0=yqaqpepae9pg0FirpepeKkFr0xfr=x fr=xb9adbaqaaeGaciGaaiaabeqaamaabaabaaGcbaqefmuySLMyYL gaiuaajugybabaaaaaaaaapeGaa83eGaaa@3A74@  вектор скорости, p MathType@MTEF@5@5@+= feaahGart1ev3aaatCvAUfeBSjuyZL2yd9gzLbvyNv2CaerbuLwBLn hiov2DGi1BTfMBaeXatLxBI9gBaerbd9wDYLwzYbItLDharqqtubsr 4rNCHbGeaGqiVu0Je9sqqrpepC0xbbL8F4rqqrFfpeea0xe9Lq=Jc9 vqaqpepm0xbba9pwe9Q8fs0=yqaqpepae9pg0FirpepeKkFr0xfr=x fr=xb9adbaqaaeGaciGaaiaabeqaamaabaabaaGcbaGaamiCaaaa@36EC@   MathType@MTEF@5@5@+= feaahGart1ev3aqatCvAUfeBSjuyZL2yd9gzLbvyNv2CaerbuLwBLn hiov2DGi1BTfMBaeXatLxBI9gBaerbd9wDYLwzYbItLDharqqtubsr 4rNCHbGeaGqiVu0Je9sqqrpepC0xbbL8F4rqqrFfpeea0xe9Lq=Jc9 vqaqpepm0xbba9pwe9Q8fs0=yqaqpepae9pg0FirpepeKkFr0xfr=x fr=xb9adbaqaaeGaciGaaiaabeqaamaabaabaaGcbaqefmuySLMyYL gaiuaajugybabaaaaaaaaapeGaa83eGaaa@3A74@  давление и E = ρ(ε + u 2 + v 2 2 ) MathType@MTEF@5@5@+= feaahGart1ev3aaatCvAUfeBSjuyZL2yd9gzLbvyNv2CaerbuLwBLn hiov2DGi1BTfMBaeXatLxBI9gBaerbd9wDYLwzYbItLDharqqtubsr 4rNCHbGeaGqiVu0Je9sqqrpepC0xbbL8F4rqqrFfpeea0xe9Lq=Jc9 vqaqpepm0xbba9pwe9Q8fs0=yqaqpepae9pg0FirpepeKkFr0xfr=x fr=xb9adbaqaaeGaciGaaiaabeqaamaabaabaaGcbaGaamyraiaaic cacaaMb8UaaGypaiaaiccacaaMb8UaeqyWdiNaaGikaiabew7aLjaa iccacqGHRaWkcaaIGaWaaSaaaeaacaWG1bWaaWbaaSqabeaacaaIYa aaaOGaey4kaSIaamODamaaCaaaleqabaGaaGOmaaaaaOqaaiaaikda aaGaaGykaaaa@487B@   MathType@MTEF@5@5@+= feaahGart1ev3aqatCvAUfeBSjuyZL2yd9gzLbvyNv2CaerbuLwBLn hiov2DGi1BTfMBaeXatLxBI9gBaerbd9wDYLwzYbItLDharqqtubsr 4rNCHbGeaGqiVu0Je9sqqrpepC0xbbL8F4rqqrFfpeea0xe9Lq=Jc9 vqaqpepm0xbba9pwe9Q8fs0=yqaqpepae9pg0FirpepeKkFr0xfr=x fr=xb9adbaqaaeGaciGaaiaabeqaamaabaabaaGcbaqefmuySLMyYL gaiuaajugybabaaaaaaaaapeGaa83eGaaa@3A74@  полная энергия, ε MathType@MTEF@5@5@+= feaahGart1ev3aaatCvAUfeBSjuyZL2yd9gzLbvyNv2CaerbuLwBLn hiov2DGi1BTfMBaeXatLxBI9gBaerbd9wDYLwzYbItLDharqqtubsr 4rNCHbGeaGqiVu0Je9sqqrpepC0xbbL8F4rqqrFfpeea0xe9Lq=Jc9 vqaqpepm0xbba9pwe9Q8fs0=yqaqpepae9pg0FirpepeKkFr0xfr=x fr=xb9adbaqaaeGaciGaaiaabeqaamaabaabaaGcbaGaeqyTdugaaa@379E@   MathType@MTEF@5@5@+= feaahGart1ev3aqatCvAUfeBSjuyZL2yd9gzLbvyNv2CaerbuLwBLn hiov2DGi1BTfMBaeXatLxBI9gBaerbd9wDYLwzYbItLDharqqtubsr 4rNCHbGeaGqiVu0Je9sqqrpepC0xbbL8F4rqqrFfpeea0xe9Lq=Jc9 vqaqpepm0xbba9pwe9Q8fs0=yqaqpepae9pg0FirpepeKkFr0xfr=x fr=xb9adbaqaaeGaciGaaiaabeqaamaabaabaaGcbaqefmuySLMyYL gaiuaajugybabaaaaaaaaapeGaa83eGaaa@3A74@  удельная внутренняя энергия идеального газа.

Система (2.1) замыкается уравнением состояния p/ρ=RT/M,R/M= C p C v MathType@MTEF@5@5@+= feaahGart1ev3aaatCvAUfeBSjuyZL2yd9gzLbvyNv2CaerbuLwBLn hiov2DGi1BTfMBaeXatLxBI9gBaerbd9wDYLwzYbItLDharqqtubsr 4rNCHbGeaGqiVu0Je9sqqrpepC0xbbL8F4rqqrFfpeea0xe9Lq=Jc9 vqaqpepm0xbba9pwe9Q8fs0=yqaqpepae9pg0FirpepeKkFr0xfr=x fr=xb9adbaqaaeGaciGaaiaabeqaamaabaabaaGcbaGaamiCaiaai+ cacqaHbpGCcaaI9aGaamOuaiaadsfacaaIVaGaamytaiaaiYcacaWG sbGaaG4laiaad2eacaaI9aGaam4qamaaBaaaleaacaWGWbaabeaaki abgkHiTiaadoeadaWgaaWcbaGaamODaaqabaaaaa@4615@ , где R MathType@MTEF@5@5@+= feaahGart1ev3aaatCvAUfeBSjuyZL2yd9gzLbvyNv2CaerbuLwBLn hiov2DGi1BTfMBaeXatLxBI9gBaerbd9wDYLwzYbItLDharqqtubsr 4rNCHbGeaGqiVu0Je9sqqrpepC0xbbL8F4rqqrFfpeea0xe9Lq=Jc9 vqaqpepm0xbba9pwe9Q8fs0=yqaqpepae9pg0FirpepeKkFr0xfr=x fr=xb9adbaqaaeGaciGaaiaabeqaamaabaabaaGcbaGaamOuaaaa@36CE@   MathType@MTEF@5@5@+= feaahGart1ev3aqatCvAUfeBSjuyZL2yd9gzLbvyNv2CaerbuLwBLn hiov2DGi1BTfMBaeXatLxBI9gBaerbd9wDYLwzYbItLDharqqtubsr 4rNCHbGeaGqiVu0Je9sqqrpepC0xbbL8F4rqqrFfpeea0xe9Lq=Jc9 vqaqpepm0xbba9pwe9Q8fs0=yqaqpepae9pg0FirpepeKkFr0xfr=x fr=xb9adbaqaaeGaciGaaiaabeqaamaabaabaaGcbaqefmuySLMyYL gaiuaajugybabaaaaaaaaapeGaa83eGaaa@3A74@  универсальная газовая постоянная, C p , C v MathType@MTEF@5@5@+= feaahGart1ev3aaatCvAUfeBSjuyZL2yd9gzLbvyNv2CaerbuLwBLn hiov2DGi1BTfMBaeXatLxBI9gBaerbd9wDYLwzYbItLDharqqtubsr 4rNCHbGeaGqiVu0Je9sqqrpepC0xbbL8F4rqqrFfpeea0xe9Lq=Jc9 vqaqpepm0xbba9pwe9Q8fs0=yqaqpepae9pg0FirpepeKkFr0xfr=x fr=xb9adbaqaaeGaciGaaiaabeqaamaabaabaaGcbaGaam4qamaaBa aaleaacaWGWbaabeaakiaaiYcacaWGdbWaaSbaaSqaaiaadAhaaeqa aaaa@3A8F@   MathType@MTEF@5@5@+= feaahGart1ev3aqatCvAUfeBSjuyZL2yd9gzLbvyNv2CaerbuLwBLn hiov2DGi1BTfMBaeXatLxBI9gBaerbd9wDYLwzYbItLDharqqtubsr 4rNCHbGeaGqiVu0Je9sqqrpepC0xbbL8F4rqqrFfpeea0xe9Lq=Jc9 vqaqpepm0xbba9pwe9Q8fs0=yqaqpepae9pg0FirpepeKkFr0xfr=x fr=xb9adbaqaaeGaciGaaiaabeqaamaabaabaaGcbaqefmuySLMyYL gaiuaajugybabaaaaaaaaapeGaa83eGaaa@3A74@  удельные теплоемкости смеси при постоянном давлении и постоянном объеме соответственно, M MathType@MTEF@5@5@+= feaahGart1ev3aaatCvAUfeBSjuyZL2yd9gzLbvyNv2CaerbuLwBLn hiov2DGi1BTfMBaeXatLxBI9gBaerbd9wDYLwzYbItLDharqqtubsr 4rNCHbGeaGqiVu0Je9sqqrpepC0xbbL8F4rqqrFfpeea0xe9Lq=Jc9 vqaqpepm0xbba9pwe9Q8fs0=yqaqpepae9pg0FirpepeKkFr0xfr=x fr=xb9adbaqaaeGaciGaaiaabeqaamaabaabaaGcbaGaamytaaaa@36C9@   MathType@MTEF@5@5@+= feaahGart1ev3aqatCvAUfeBSjuyZL2yd9gzLbvyNv2CaerbuLwBLn hiov2DGi1BTfMBaeXatLxBI9gBaerbd9wDYLwzYbItLDharqqtubsr 4rNCHbGeaGqiVu0Je9sqqrpepC0xbbL8F4rqqrFfpeea0xe9Lq=Jc9 vqaqpepm0xbba9pwe9Q8fs0=yqaqpepae9pg0FirpepeKkFr0xfr=x fr=xb9adbaqaaeGaciGaaiaabeqaamaabaabaaGcbaqefmuySLMyYL gaiuaajugybabaaaaaaaaapeGaa83eGaaa@3A74@  молекулярная масса смеси. C p MathType@MTEF@5@5@+= feaahGart1ev3aaatCvAUfeBSjuyZL2yd9gzLbvyNv2CaerbuLwBLn hiov2DGi1BTfMBaeXatLxBI9gBaerbd9wDYLwzYbItLDharqqtubsr 4rNCHbGeaGqiVu0Je9sqqrpepC0xbbL8F4rqqrFfpeea0xe9Lq=Jc9 vqaqpepm0xbba9pwe9Q8fs0=yqaqpepae9pg0FirpepeKkFr0xfr=x fr=xb9adbaqaaeGaciGaaiaabeqaamaabaabaaGcbaGaam4qamaaBa aaleaacaWGWbaabeaaaaa@37E0@  и M MathType@MTEF@5@5@+= feaahGart1ev3aaatCvAUfeBSjuyZL2yd9gzLbvyNv2CaerbuLwBLn hiov2DGi1BTfMBaeXatLxBI9gBaerbd9wDYLwzYbItLDharqqtubsr 4rNCHbGeaGqiVu0Je9sqqrpepC0xbbL8F4rqqrFfpeea0xe9Lq=Jc9 vqaqpepm0xbba9pwe9Q8fs0=yqaqpepae9pg0FirpepeKkFr0xfr=x fr=xb9adbaqaaeGaciGaaiaabeqaamaabaabaaGcbaGaamytaaaa@36C9@  вычисляются следующим образом:

                                                                  C p =Y C p1 +(1Y) C p2 , MathType@MTEF@5@5@+= feaahGart1ev3aaatCvAUfeBSjuyZL2yd9gzLbvyNv2CaerbuLwBLn hiov2DGi1BTfMBaeXatLxBI9gBaerbd9wDYLwzYbItLDharqqtubsr 4rNCHbGeaGqiVu0Je9sqqrpepC0xbbL8F4rqqrFfpeea0xe9Lq=Jc9 vqaqpepm0xbba9pwe9Q8fs0=yqaqpepae9pg0FirpepeKkFr0xfr=x fr=xb9adbaqaaeGaciGaaiaabeqaamaabaabaaGcbaGaam4qamaaBa aaleaacaWGWbaabeaakiaai2dacaWGzbGaam4qamaaBaaaleaacaWG WbGaaGymaaqabaGccqGHRaWkcaaIOaGaaGymaiabgkHiTiaadMfaca aIPaGaam4qamaaBaaaleaacaWGWbGaaGOmaaqabaGccaaISaaaaa@446F@ (2.2)

 

                                                                         1 M = Y M 1 + 1Y M 2 , MathType@MTEF@5@5@+= feaahGart1ev3aaatCvAUfeBSjuyZL2yd9gzLbvyNv2CaerbuLwBLn hiov2DGi1BTfMBaeXatLxBI9gBaerbd9wDYLwzYbItLDharqqtubsr 4rNCHbGeaGqiVu0Je9sqqrpepC0xbbL8F4rqqrFfpeea0xe9Lq=Jc9 vqaqpepm0xbba9pwe9Q8fs0=yqaqpepae9pg0FirpepeKkFr0xfr=x fr=xb9adbaqaaeGaciGaaiaabeqaamaabaabaaGcbaWaaSaaaeaaca aIXaaabaGaamytaaaacaaI9aWaaSaaaeaacaWGzbaabaGaamytamaa BaaaleaacaaIXaaabeaaaaGccqGHRaWkdaWcaaqaaiaaigdacqGHsi slcaWGzbaabaGaamytamaaBaaaleaacaaIYaaabeaaaaGccaaISaaa aa@40FE@ (2.3)

где Y MathType@MTEF@5@5@+= feaahGart1ev3aaatCvAUfeBSjuyZL2yd9gzLbvyNv2CaerbuLwBLn hiov2DGi1BTfMBaeXatLxBI9gBaerbd9wDYLwzYbItLDharqqtubsr 4rNCHbGeaGqiVu0Je9sqqrpepC0xbbL8F4rqqrFfpeea0xe9Lq=Jc9 vqaqpepm0xbba9pwe9Q8fs0=yqaqpepae9pg0FirpepeKkFr0xfr=x fr=xb9adbaqaaeGaciGaaiaabeqaamaabaabaaGcbaGaamywaaaa@36D5@   MathType@MTEF@5@5@+= feaahGart1ev3aqatCvAUfeBSjuyZL2yd9gzLbvyNv2CaerbuLwBLn hiov2DGi1BTfMBaeXatLxBI9gBaerbd9wDYLwzYbItLDharqqtubsr 4rNCHbGeaGqiVu0Je9sqqrpepC0xbbL8F4rqqrFfpeea0xe9Lq=Jc9 vqaqpepm0xbba9pwe9Q8fs0=yqaqpepae9pg0FirpepeKkFr0xfr=x fr=xb9adbaqaaeGaciGaaiaabeqaamaabaabaaGcbaqefmuySLMyYL gaiuaajugybabaaaaaaaaapeGaa83eGaaa@3A74@  концентрация, M i , C pi MathType@MTEF@5@5@+= feaahGart1ev3aaatCvAUfeBSjuyZL2yd9gzLbvyNv2CaerbuLwBLn hiov2DGi1BTfMBaeXatLxBI9gBaerbd9wDYLwzYbItLDharqqtubsr 4rNCHbGeaGqiVu0Je9sqqrpepC0xbbL8F4rqqrFfpeea0xe9Lq=Jc9 vqaqpepm0xbba9pwe9Q8fs0=yqaqpepae9pg0FirpepeKkFr0xfr=x fr=xb9adbaqaaeGaciGaaiaabeqaamaabaabaaGcbaGaamytamaaBa aaleaacaWGPbaabeaakiaaiYcacaWGdbWaaSbaaSqaaiaadchacaWG Pbaabeaaaaa@3B7A@   MathType@MTEF@5@5@+= feaahGart1ev3aqatCvAUfeBSjuyZL2yd9gzLbvyNv2CaerbuLwBLn hiov2DGi1BTfMBaeXatLxBI9gBaerbd9wDYLwzYbItLDharqqtubsr 4rNCHbGeaGqiVu0Je9sqqrpepC0xbbL8F4rqqrFfpeea0xe9Lq=Jc9 vqaqpepm0xbba9pwe9Q8fs0=yqaqpepae9pg0FirpepeKkFr0xfr=x fr=xb9adbaqaaeGaciGaaiaabeqaamaabaabaaGcbaqefmuySLMyYL gaiuaajugybabaaaaaaaaapeGaa83eGaaa@3A74@  молекулярная масса и теплоемкость i MathType@MTEF@5@5@+= feaahGart1ev3aaatCvAUfeBSjuyZL2yd9gzLbvyNv2CaerbuLwBLn hiov2DGi1BTfMBaeXatLxBI9gBaerbd9wDYLwzYbItLDharqqtubsr 4rNCHbGeaGqiVu0Je9sqqrpepC0xbbL8F4rqqrFfpeea0xe9Lq=Jc9 vqaqpepm0xbba9pwe9Q8fs0=yqaqpepae9pg0FirpepeKkFr0xfr=x fr=xb9adbaqaaeGaciGaaiaabeqaamaabaabaaGcbaGaamyAaaaa@36E5@  -й компоненты смеси соответственно ( i=1,2 MathType@MTEF@5@5@+= feaahGart1ev3aaatCvAUfeBSjuyZL2yd9gzLbvyNv2CaerbuLwBLn hiov2DGi1BTfMBaeXatLxBI9gBaerbd9wDYLwzYbItLDharqqtubsr 4rNCHbGeaGqiVu0Je9sqqrpepC0xbbL8F4rqqrFfpeea0xe9Lq=Jc9 vqaqpepm0xbba9pwe9Q8fs0=yqaqpepae9pg0FirpepeKkFr0xfr=x fr=xb9adbaqaaeGaciGaaiaabeqaamaabaabaaGcbaGaamyAaiaai2 dacaaIXaGaaGilaiaaikdaaaa@39D9@  ).

При рассмотрении конкретной модели также необходимо задать начальные и граничные условия, для полного описания решаемой задачи.

3.      Вычислительный алгоритм

Построим дискретную модель для расчетной области прямоугольной формы Ω = [0, L x ] × [0, L y ] MathType@MTEF@5@5@+= feaahGart1ev3aaatCvAUfeBSjuyZL2yd9gzLbvyNv2CaerbuLwBLn hiov2DGi1BTfMBaeXatLxBI9gBaerbd9wDYLwzYbItLDharqqtubsr 4rNCHbGeaGqiVu0Je9sqqrpepC0xbbL8F4rqqrFfpeea0xe9Lq=Jc9 vqaqpepm0xbba9pwe9Q8fs0=yqaqpepae9pg0FirpepeKkFr0xfr=x fr=xb9adbaqaaeGaciGaaiaabeqaamaabaabaaGcbaGaeuyQdCLaaG iiaiaaygW7caaMb8UaaGypaiaaiccacaaMb8UaaGzaVlaaiUfacaaI WaGaaGilaiaadYeadaWgaaWcbaGaamiEaaqabaGccaaIDbGaaGiiai aaygW7caaMb8UaaGzaVlabgEna0kaaiccacaaMb8UaaGzaVlaaygW7 caaIBbGaaGimaiaaiYcacaWGmbWaaSbaaSqaaiaadMhaaeqaaOGaaG yxaaaa@56F0@ . Для этого область Ω MathType@MTEF@5@5@+= feaahGart1ev3aaatCvAUfeBSjuyZL2yd9gzLbvyNv2CaerbuLwBLn hiov2DGi1BTfMBaeXatLxBI9gBaerbd9wDYLwzYbItLDharqqtubsr 4rNCHbGeaGqiVu0Je9sqqrpepC0xbbL8F4rqqrFfpeea0xe9Lq=Jc9 vqaqpepm0xbba9pwe9Q8fs0=yqaqpepae9pg0FirpepeKkFr0xfr=x fr=xb9adbaqaaeGaciGaaiaabeqaamaabaabaaGcbaGaeuyQdCfaaa@3785@  заменим ортогональной сеткой, равномерной по каждому направлению:

                                                                          ω Δ = ω Δ x × ω Δ y , MathType@MTEF@5@5@+= feaahGart1ev3aaatCvAUfeBSjuyZL2yd9gzLbvyNv2CaerbuLwBLn hiov2DGi1BTfMBaeXatLxBI9gBaerbd9wDYLwzYbItLDharqqtubsr 4rNCHbGeaGqiVu0Je9sqqrpepC0xbbL8F4rqqrFfpeea0xe9Lq=Jc9 vqaqpepm0xbba9pwe9Q8fs0=yqaqpepae9pg0FirpepeKkFr0xfr=x fr=xb9adbaqaaeGaciGaaiaabeqaamaabaabaaGcbaGaeqyYdC3aaS baaSqaaiabfs5aebqabaGccaaI9aGaeqyYdC3aaSbaaSqaaiabfs5a enaaBaaabaGaamiEaaqabaaabeaakiabgEna0kabeM8a3naaBaaale aacqqHuoardaWgaaqaaiaadMhaaeqaaaqabaGccaaISaaaaa@4603@

 где

                      ω Δ x ={ Δ i ,i=1,, N x , Δ i =[ x i1/2 , x i+1/2 ],| Δ i |= h x , h x N x = L x }, ω Δ y ={ Δ j ,j=1,, N y , Δ j =[ y j1/2 , y j+1/2 ],| Δ j |= h y , h y N y = L y }. MathType@MTEF@5@5@+= feaahGart1ev3aaatCvAUfeBSjuyZL2yd9gzLbvyNv2CaerbuLwBLn hiov2DGi1BTfMBaeXatLxBI9gBaerbd9wDYLwzYbItLDharqqtubsr 4rNCHbGeaGqiVu0Je9sqqrpepC0xbbL8F4rqqrFfpeea0xe9Lq=Jc9 vqaqpepm0xbba9pwe9Q8fs0=yqaqpepae9pg0FirpepeKkFr0xfr=x fr=xb9adbaqaaeGaciGaaiaabeqaamaabaabaaGcbaqbaeaabiqaaa qaaiabeM8a3naaBaaaleaacqqHuoardaWgaaqaaiaadIhaaeqaaaqa baGccaaI9aGaaG4Eaiabfs5aenaaBaaaleaacaWGPbaabeaakiaaiY cacaWGPbGaaGypaiaaigdacaaISaGaeSOjGSKaaGilaiaad6eadaWg aaWcbaGaamiEaaqabaGccaaISaGaeuiLdq0aaSbaaSqaaiaadMgaae qaaOGaaGypaiaaiUfacaWG4bWaaSbaaSqaaiaadMgacqGHsislcaaI XaGaaG4laiaaikdaaeqaaOGaaGilaiaadIhadaWgaaWcbaGaamyAai abgUcaRiaaigdacaaIVaGaaGOmaaqabaGccaaIDbGaaGilaiaaiYha cqqHuoardaWgaaWcbaGaamyAaaqabaGccaaI8bGaaGypaiaadIgada WgaaWcbaGaamiEaaqabaGccaaISaGaamiAamaaBaaaleaacaWG4baa beaakiaad6eadaWgaaWcbaGaamiEaaqabaGccaaI9aGaamitamaaBa aaleaacaWG4baabeaakiaai2hacaaISaaabaGaeqyYdC3aaSbaaSqa aiabfs5aenaaBaaabaGaamyEaaqabaaabeaakiaai2dacaaI7bGaeu iLdq0aaSbaaSqaaiaadQgaaeqaaOGaaGilaiaadQgacaaI9aGaaGym aiaaiYcacqWIMaYscaaISaGaamOtamaaBaaaleaacaWG5baabeaaki aaiYcacqqHuoardaWgaaWcbaGaamOAaaqabaGccaaI9aGaaG4waiaa dMhadaWgaaWcbaGaamOAaiabgkHiTiaaigdacaaIVaGaaGOmaaqaba GccaaISaGaamyEamaaBaaaleaacaWGQbGaey4kaSIaaGymaiaai+ca caaIYaaabeaakiaai2facaaISaGaaGiFaiabfs5aenaaBaaaleaaca WGQbaabeaakiaaiYhacaaI9aGaamiAamaaBaaaleaacaWG5baabeaa kiaaiYcacaWGObWaaSbaaSqaaiaadMhaaeqaaOGaamOtamaaBaaale aacaWG5baabeaakiaai2dacaWGmbWaaSbaaSqaaiaadMhaaeqaaOGa aGyFaiaai6caaaaaaa@9C63@  (3.1)

 

Для аппроксимации системы (2.1) используем нелинейную консервативную дифференциально-разностную схему повышенного порядка точности:

                                               d U ij dt + F i+1/2j F i1/2j h x + G ij+1/2 G ij1/2 h y =0, MathType@MTEF@5@5@+= feaahGart1ev3aaatCvAUfeBSjuyZL2yd9gzLbvyNv2CaerbuLwBLn hiov2DGi1BTfMBaeXatLxBI9gBaerbd9wDYLwzYbItLDharqqtubsr 4rNCHbGeaGqiVu0Je9sqqrpepC0xbbL8F4rqqrFfpeea0xe9Lq=Jc9 vqaqpepm0xbba9pwe9Q8fs0=yqaqpepae9pg0FirpepeKkFr0xfr=x fr=xb9adbaqaaeGaciGaaiaabeqaamaabaabaaGcbaWaaSaaaeaaca WGKbGaamyvamaaBaaaleaacaWGPbGaamOAaaqabaaakeaacaWGKbGa amiDaaaacqGHRaWkdaWcaaqaaiaadAeadaWgaaWcbaGaamyAaiabgU caRiaaigdacaaIVaGaaGOmaiaadQgaaeqaaOGaeyOeI0IaamOramaa BaaaleaacaWGPbGaeyOeI0IaaGymaiaai+cacaaIYaGaamOAaaqaba aakeaacaWGObWaaSbaaSqaaiaadIhaaeqaaaaakiabgUcaRmaalaaa baGaam4ramaaBaaaleaacaWGPbGaamOAaiabgUcaRiaaigdacaaIVa GaaGOmaaqabaGccqGHsislcaWGhbWaaSbaaSqaaiaadMgacaWGQbGa eyOeI0IaaGymaiaai+cacaaIYaaabeaaaOqaaiaadIgadaWgaaWcba GaamyEaaqabaaaaOGaaGypaiaaicdacaaISaaaaa@5DCD@ (3.2)

 где U ij = 1 h x h y x i1/2 y j1/2 y j+1/2 Udxdy MathType@MTEF@5@5@+= feaahGart1ev3aaatCvAUfeBSjuyZL2yd9gzLbvyNv2CaerbuLwBLn hiov2DGi1BTfMBaeXatLxBI9gBaerbd9wDYLwzYbItLDharqqtubsr 4rNCHbGeaGqiVu0Je9sqqrpepC0xbbL8F4rqqrFfpeea0xe9Lq=Jc9 vqaqpepm0xbba9pwe9Q8fs0=yqaqpepae9pg0FirpepeKkFr0xfr=x fr=xb9adbaqaaeGaciGaaiaabeqaamaabaabaaGcbaGaamyvamaaBa aaleaacaWGPbGaamOAaaqabaGccaaI9aWaaSaaaeaacaaIXaaabaGa amiAamaaBaaaleaacaWG4baabeaakiaadIgadaWgaaWcbaGaamyEaa qabaaaaOWaa8GuaeqaleaacaWG4bWaaSbaaeaacaWGPbGaeyOeI0Ia aGymaiaai+cacaaIYaaabeaaaeqaniabgUIiYlabgUIiYdGcdaWdXb qabSqaaiaadMhadaWgaaqaaiaadQgacqGHsislcaaIXaGaaG4laiaa ikdaaeqaaaqaaiaadMhadaWgaaqaaiaadQgacqGHRaWkcaaIXaGaaG 4laiaaikdaaeqaaaqdcqGHRiI8aOGaamyvaiaadsgacaWG4bGaamiz aiaadMhaaaa@5967@   MathType@MTEF@5@5@+= feaahGart1ev3aqatCvAUfeBSjuyZL2yd9gzLbvyNv2CaerbuLwBLn hiov2DGi1BTfMBaeXatLxBI9gBaerbd9wDYLwzYbItLDharqqtubsr 4rNCHbGeaGqiVu0Je9sqqrpepC0xbbL8F4rqqrFfpeea0xe9Lq=Jc9 vqaqpepm0xbba9pwe9Q8fs0=yqaqpepae9pg0FirpepeKkFr0xfr=x fr=xb9adbaqaaeGaciGaaiaabeqaamaabaabaaGcbaqefmuySLMyYL gaiuaajugybabaaaaaaaaapeGaa83eGaaa@3A74@  соотнесенные к центру ячейки усредненные значения консервативных газодинамических переменных, F i+1/2j , G ij+1/2 MathType@MTEF@5@5@+= feaahGart1ev3aaatCvAUfeBSjuyZL2yd9gzLbvyNv2CaerbuLwBLn hiov2DGi1BTfMBaeXatLxBI9gBaerbd9wDYLwzYbItLDharqqtubsr 4rNCHbGeaGqiVu0Je9sqqrpepC0xbbL8F4rqqrFfpeea0xe9Lq=Jc9 vqaqpepm0xbba9pwe9Q8fs0=yqaqpepae9pg0FirpepeKkFr0xfr=x fr=xb9adbaqaaeGaciGaaiaabeqaamaabaabaaGcbaGaamOramaaBa aaleaacaWGPbGaey4kaSIaaGymaiaai+cacaaIYaGaamOAaaqabaGc caaISaGaaGjcVlaadEeadaWgaaWcbaGaamyAaiaadQgacqGHRaWkca aIXaGaaG4laiaaikdaaeqaaaaa@4415@   MathType@MTEF@5@5@+= feaahGart1ev3aqatCvAUfeBSjuyZL2yd9gzLbvyNv2CaerbuLwBLn hiov2DGi1BTfMBaeXatLxBI9gBaerbd9wDYLwzYbItLDharqqtubsr 4rNCHbGeaGqiVu0Je9sqqrpepC0xbbL8F4rqqrFfpeea0xe9Lq=Jc9 vqaqpepm0xbba9pwe9Q8fs0=yqaqpepae9pg0FirpepeKkFr0xfr=x fr=xb9adbaqaaeGaciGaaiaabeqaamaabaabaaGcbaqefmuySLMyYL gaiuaajugybabaaaaaaaaapeGaa83eGaaa@3A74@  дискретные потоки на соответствующих границах между ячейками, являющиеся функциями двух переменных

                                                                F i+1/2j = F ^ ( U i+1/2j L , U i+1/2j R ), MathType@MTEF@5@5@+= feaahGart1ev3aaatCvAUfeBSjuyZL2yd9gzLbvyNv2CaerbuLwBLn hiov2DGi1BTfMBaeXatLxBI9gBaerbd9wDYLwzYbItLDharqqtubsr 4rNCHbGeaGqiVu0Je9sqqrpepC0xbbL8F4rqqrFfpeea0xe9Lq=Jc9 vqaqpepm0xbba9pwe9Q8fs0=yqaqpepae9pg0FirpepeKkFr0xfr=x fr=xb9adbaqaaeGaciGaaiaabeqaamaabaabaaGcbaGaamOramaaBa aaleaacaWGPbGaey4kaSIaaGymaiaai+cacaaIYaGaamOAaaqabaGc caaI9aGabmOrayaajaGaaGikaiaadwfadaqhaaWcbaGaamyAaiabgU caRiaaigdacaaIVaGaaGOmaiaadQgaaeaacaWGmbaaaOGaaGilaiaa dwfadaqhaaWcbaGaamyAaiabgUcaRiaaigdacaaIVaGaaGOmaiaadQ gaaeaacaWGsbaaaOGaaGykaiaaiYcaaaa@4E02@ (3.3)

                                                                G i+1/2j = G ^ ( U ij+1/2 L , U ij+1/2 R ), MathType@MTEF@5@5@+= feaahGart1ev3aaatCvAUfeBSjuyZL2yd9gzLbvyNv2CaerbuLwBLn hiov2DGi1BTfMBaeXatLxBI9gBaerbd9wDYLwzYbItLDharqqtubsr 4rNCHbGeaGqiVu0Je9sqqrpepC0xbbL8F4rqqrFfpeea0xe9Lq=Jc9 vqaqpepm0xbba9pwe9Q8fs0=yqaqpepae9pg0FirpepeKkFr0xfr=x fr=xb9adbaqaaeGaciGaaiaabeqaamaabaabaaGcbaGaam4ramaaBa aaleaacaWGPbGaey4kaSIaaGymaiaai+cacaaIYaGaamOAaaqabaGc caaI9aGabm4rayaajaGaaGikaiaadwfadaqhaaWcbaGaamyAaiaadQ gacqGHRaWkcaaIXaGaaG4laiaaikdaaeaacaWGmbaaaOGaaGilaiaa dwfadaqhaaWcbaGaamyAaiaadQgacqGHRaWkcaaIXaGaaG4laiaaik daaeaacaWGsbaaaOGaaGykaiaaiYcaaaa@4E04@ (3.4)

 для которых выполнено условие согласования:

                                                                      F ^ ( U ij , U ij )=F( U ij ), MathType@MTEF@5@5@+= feaahGart1ev3aaatCvAUfeBSjuyZL2yd9gzLbvyNv2CaerbuLwBLn hiov2DGi1BTfMBaeXatLxBI9gBaerbd9wDYLwzYbItLDharqqtubsr 4rNCHbGeaGqiVu0Je9sqqrpepC0xbbL8F4rqqrFfpeea0xe9Lq=Jc9 vqaqpepm0xbba9pwe9Q8fs0=yqaqpepae9pg0FirpepeKkFr0xfr=x fr=xb9adbaqaaeGaciGaaiaabeqaamaabaabaaGcbaGabmOrayaaja GaaGikaiaadwfadaWgaaWcbaGaamyAaiaadQgaaeqaaOGaaGilaiaa dwfadaWgaaWcbaGaamyAaiaadQgaaeqaaOGaaGykaiaai2dacaWGgb GaaGikaiaadwfadaWgaaWcbaGaamyAaiaadQgaaeqaaOGaaGykaiaa iYcaaaa@4561@ (3.5)

                                                                      G ^ ( U ij , U ij )=G( U ij ). MathType@MTEF@5@5@+= feaahGart1ev3aaatCvAUfeBSjuyZL2yd9gzLbvyNv2CaerbuLwBLn hiov2DGi1BTfMBaeXatLxBI9gBaerbd9wDYLwzYbItLDharqqtubsr 4rNCHbGeaGqiVu0Je9sqqrpepC0xbbL8F4rqqrFfpeea0xe9Lq=Jc9 vqaqpepm0xbba9pwe9Q8fs0=yqaqpepae9pg0FirpepeKkFr0xfr=x fr=xb9adbaqaaeGaciGaaiaabeqaamaabaabaaGcbaGabm4rayaaja GaaGikaiaadwfadaWgaaWcbaGaamyAaiaadQgaaeqaaOGaaGilaiaa dwfadaWgaaWcbaGaamyAaiaadQgaaeqaaOGaaGykaiaai2dacaWGhb GaaGikaiaadwfadaWgaaWcbaGaamyAaiaadQgaaeqaaOGaaGykaiaa i6caaaa@4565@ (3.6)

 Здесь U i+1/2j L , U i+1/2j R MathType@MTEF@5@5@+= feaahGart1ev3aaatCvAUfeBSjuyZL2yd9gzLbvyNv2CaerbuLwBLn hiov2DGi1BTfMBaeXatLxBI9gBaerbd9wDYLwzYbItLDharqqtubsr 4rNCHbGeaGqiVu0Je9sqqrpepC0xbbL8F4rqqrFfpeea0xe9Lq=Jc9 vqaqpepm0xbba9pwe9Q8fs0=yqaqpepae9pg0FirpepeKkFr0xfr=x fr=xb9adbaqaaeGaciGaaiaabeqaamaabaabaaGcbaGaamyvamaaDa aaleaacaWGPbGaey4kaSIaaGymaiaai+cacaaIYaGaamOAaaqaaiaa dYeaaaGccaaISaGaamyvamaaDaaaleaacaWGPbGaey4kaSIaaGymai aai+cacaaIYaGaamOAaaqaaiaadkfaaaaaaa@444B@   MathType@MTEF@5@5@+= feaahGart1ev3aqatCvAUfeBSjuyZL2yd9gzLbvyNv2CaerbuLwBLn hiov2DGi1BTfMBaeXatLxBI9gBaerbd9wDYLwzYbItLDharqqtubsr 4rNCHbGeaGqiVu0Je9sqqrpepC0xbbL8F4rqqrFfpeea0xe9Lq=Jc9 vqaqpepm0xbba9pwe9Q8fs0=yqaqpepae9pg0FirpepeKkFr0xfr=x fr=xb9adbaqaaeGaciGaaiaabeqaamaabaabaaGcbaqefmuySLMyYL gaiuaajugybabaaaaaaaaapeGaa83eGaaa@3A74@  «левые» и «правые» значения вектора U MathType@MTEF@5@5@+= feaahGart1ev3aaatCvAUfeBSjuyZL2yd9gzLbvyNv2CaerbuLwBLn hiov2DGi1BTfMBaeXatLxBI9gBaerbd9wDYLwzYbItLDharqqtubsr 4rNCHbGeaGqiVu0Je9sqqrpepC0xbbL8F4rqqrFfpeea0xe9Lq=Jc9 vqaqpepm0xbba9pwe9Q8fs0=yqaqpepae9pg0FirpepeKkFr0xfr=x fr=xb9adbaqaaeGaciGaaiaabeqaamaabaabaaGcbaGaamyvaaaa@36D1@  на грани между i MathType@MTEF@5@5@+= feaahGart1ev3aaatCvAUfeBSjuyZL2yd9gzLbvyNv2CaerbuLwBLn hiov2DGi1BTfMBaeXatLxBI9gBaerbd9wDYLwzYbItLDharqqtubsr 4rNCHbGeaGqiVu0Je9sqqrpepC0xbbL8F4rqqrFfpeea0xe9Lq=Jc9 vqaqpepm0xbba9pwe9Q8fs0=yqaqpepae9pg0FirpepeKkFr0xfr=x fr=xb9adbaqaaeGaciGaaiaabeqaamaabaabaaGcbaGaamyAaaaa@36E5@  и i+1 MathType@MTEF@5@5@+= feaahGart1ev3aaatCvAUfeBSjuyZL2yd9gzLbvyNv2CaerbuLwBLn hiov2DGi1BTfMBaeXatLxBI9gBaerbd9wDYLwzYbItLDharqqtubsr 4rNCHbGeaGqiVu0Je9sqqrpepC0xbbL8F4rqqrFfpeea0xe9Lq=Jc9 vqaqpepm0xbba9pwe9Q8fs0=yqaqpepae9pg0FirpepeKkFr0xfr=x fr=xb9adbaqaaeGaciGaaiaabeqaamaabaabaaGcbaGaamyAaiabgU caRiaaigdaaaa@3882@  ячейками, для которой вычисляется поток F i+1/2j MathType@MTEF@5@5@+= feaahGart1ev3aaatCvAUfeBSjuyZL2yd9gzLbvyNv2CaerbuLwBLn hiov2DGi1BTfMBaeXatLxBI9gBaerbd9wDYLwzYbItLDharqqtubsr 4rNCHbGeaGqiVu0Je9sqqrpepC0xbbL8F4rqqrFfpeea0xe9Lq=Jc9 vqaqpepm0xbba9pwe9Q8fs0=yqaqpepae9pg0FirpepeKkFr0xfr=x fr=xb9adbaqaaeGaciGaaiaabeqaamaabaabaaGcbaGaamOramaaBa aaleaacaWGPbGaey4kaSIaaGymaiaai+cacaaIYaGaamOAaaqabaaa aa@3BDD@ , m=1,2,3 MathType@MTEF@5@5@+= feaahGart1ev3aaatCvAUfeBSjuyZL2yd9gzLbvyNv2CaerbuLwBLn hiov2DGi1BTfMBaeXatLxBI9gBaerbd9wDYLwzYbItLDharqqtubsr 4rNCHbGeaGqiVu0Je9sqqrpepC0xbbL8F4rqqrFfpeea0xe9Lq=Jc9 vqaqpepm0xbba9pwe9Q8fs0=yqaqpepae9pg0FirpepeKkFr0xfr=x fr=xb9adbaqaaeGaciGaaiaabeqaamaabaabaaGcbaGaamyBaiaai2 dacaaIXaGaaGilaiaaikdacaaISaGaaG4maaaa@3B50@ ; U ij+1/2 L , U ij+1/2 R MathType@MTEF@5@5@+= feaahGart1ev3aaatCvAUfeBSjuyZL2yd9gzLbvyNv2CaerbuLwBLn hiov2DGi1BTfMBaeXatLxBI9gBaerbd9wDYLwzYbItLDharqqtubsr 4rNCHbGeaGqiVu0Je9sqqrpepC0xbbL8F4rqqrFfpeea0xe9Lq=Jc9 vqaqpepm0xbba9pwe9Q8fs0=yqaqpepae9pg0FirpepeKkFr0xfr=x fr=xb9adbaqaaeGaciGaaiaabeqaamaabaabaaGcbaGaamyvamaaDa aaleaacaWGPbGaamOAaiabgUcaRiaaigdacaaIVaGaaGOmaaqaaiaa dYeaaaGccaaISaGaamyvamaaDaaaleaacaWGPbGaamOAaiabgUcaRi aaigdacaaIVaGaaGOmaaqaaiaadkfaaaaaaa@444B@   MathType@MTEF@5@5@+= feaahGart1ev3aqatCvAUfeBSjuyZL2yd9gzLbvyNv2CaerbuLwBLn hiov2DGi1BTfMBaeXatLxBI9gBaerbd9wDYLwzYbItLDharqqtubsr 4rNCHbGeaGqiVu0Je9sqqrpepC0xbbL8F4rqqrFfpeea0xe9Lq=Jc9 vqaqpepm0xbba9pwe9Q8fs0=yqaqpepae9pg0FirpepeKkFr0xfr=x fr=xb9adbaqaaeGaciGaaiaabeqaamaabaabaaGcbaqefmuySLMyYL gaiuaajugybabaaaaaaaaapeGaa83eGaaa@3A74@  «левые» и «правые» значения вектора U MathType@MTEF@5@5@+= feaahGart1ev3aaatCvAUfeBSjuyZL2yd9gzLbvyNv2CaerbuLwBLn hiov2DGi1BTfMBaeXatLxBI9gBaerbd9wDYLwzYbItLDharqqtubsr 4rNCHbGeaGqiVu0Je9sqqrpepC0xbbL8F4rqqrFfpeea0xe9Lq=Jc9 vqaqpepm0xbba9pwe9Q8fs0=yqaqpepae9pg0FirpepeKkFr0xfr=x fr=xb9adbaqaaeGaciGaaiaabeqaamaabaabaaGcbaGaamyvaaaa@36D1@  на грани между j MathType@MTEF@5@5@+= feaahGart1ev3aaatCvAUfeBSjuyZL2yd9gzLbvyNv2CaerbuLwBLn hiov2DGi1BTfMBaeXatLxBI9gBaerbd9wDYLwzYbItLDharqqtubsr 4rNCHbGeaGqiVu0Je9sqqrpepC0xbbL8F4rqqrFfpeea0xe9Lq=Jc9 vqaqpepm0xbba9pwe9Q8fs0=yqaqpepae9pg0FirpepeKkFr0xfr=x fr=xb9adbaqaaeGaciGaaiaabeqaamaabaabaaGcbaGaamOAaaaa@36E6@  и j+1 MathType@MTEF@5@5@+= feaahGart1ev3aaatCvAUfeBSjuyZL2yd9gzLbvyNv2CaerbuLwBLn hiov2DGi1BTfMBaeXatLxBI9gBaerbd9wDYLwzYbItLDharqqtubsr 4rNCHbGeaGqiVu0Je9sqqrpepC0xbbL8F4rqqrFfpeea0xe9Lq=Jc9 vqaqpepm0xbba9pwe9Q8fs0=yqaqpepae9pg0FirpepeKkFr0xfr=x fr=xb9adbaqaaeGaciGaaiaabeqaamaabaabaaGcbaGaamOAaiabgU caRiaaigdaaaa@3883@  ячейками. Для того, чтобы вычислить значения вектора U MathType@MTEF@5@5@+= feaahGart1ev3aaatCvAUfeBSjuyZL2yd9gzLbvyNv2CaerbuLwBLn hiov2DGi1BTfMBaeXatLxBI9gBaerbd9wDYLwzYbItLDharqqtubsr 4rNCHbGeaGqiVu0Je9sqqrpepC0xbbL8F4rqqrFfpeea0xe9Lq=Jc9 vqaqpepm0xbba9pwe9Q8fs0=yqaqpepae9pg0FirpepeKkFr0xfr=x fr=xb9adbaqaaeGaciGaaiaabeqaamaabaabaaGcbaGaamyvaaaa@36D1@  на указанных гранях между ячейками введем новый вектор переменных Q=Q(U) MathType@MTEF@5@5@+= feaahGart1ev3aaatCvAUfeBSjuyZL2yd9gzLbvyNv2CaerbuLwBLn hiov2DGi1BTfMBaeXatLxBI9gBaerbd9wDYLwzYbItLDharqqtubsr 4rNCHbGeaGqiVu0Je9sqqrpepC0xbbL8F4rqqrFfpeea0xe9Lq=Jc9 vqaqpepm0xbba9pwe9Q8fs0=yqaqpepae9pg0FirpepeKkFr0xfr=x fr=xb9adbaqaaeGaciGaaiaabeqaamaabaabaaGcbaGaamyuaiaai2 dacaWGrbGaaGikaiaadwfacaaIPaaaaa@3AA9@ . Проведем его интерполяцию на грань между ячейками и затем пересчитаем искомое значение вектора U=U(Q) MathType@MTEF@5@5@+= feaahGart1ev3aaatCvAUfeBSjuyZL2yd9gzLbvyNv2CaerbuLwBLn hiov2DGi1BTfMBaeXatLxBI9gBaerbd9wDYLwzYbItLDharqqtubsr 4rNCHbGeaGqiVu0Je9sqqrpepC0xbbL8F4rqqrFfpeea0xe9Lq=Jc9 vqaqpepm0xbba9pwe9Q8fs0=yqaqpepae9pg0FirpepeKkFr0xfr=x fr=xb9adbaqaaeGaciGaaiaabeqaamaabaabaaGcbaGaamyvaiaai2 dacaWGvbGaaGikaiaadgfacaaIPaaaaa@3AAD@  на данной грани. В расчетах полагалось Q=(ρ,p,u,v,Y) MathType@MTEF@5@5@+= feaahGart1ev3aaatCvAUfeBSjuyZL2yd9gzLbvyNv2CaerbuLwBLn hiov2DGi1BTfMBaeXatLxBI9gBaerbd9wDYLwzYbItLDharqqtubsr 4rNCHbGeaGqiVu0Je9sqqrpepC0xbbL8F4rqqrFfpeea0xe9Lq=Jc9 vqaqpepm0xbba9pwe9Q8fs0=yqaqpepae9pg0FirpepeKkFr0xfr=x fr=xb9adbaqaaeGaciGaaiaabeqaamaabaabaaGcbaGaamyuaiaai2 dacaaIOaGaeqyWdiNaaGilaiaadchacaaISaGaamyDaiaaiYcacaWG 2bGaaGilaiaadMfacaaIPaaaaa@4159@ , дискретные потоки вычислялись по схемам Лакса-Фридрихса (LF) [11] и Хартена-Лакса-ван Лира с учетом контактного разрыва (HLLC) [12].

Для интерполяции значений Q MathType@MTEF@5@5@+= feaahGart1ev3aaatCvAUfeBSjuyZL2yd9gzLbvyNv2CaerbuLwBLn hiov2DGi1BTfMBaeXatLxBI9gBaerbd9wDYLwzYbItLDharqqtubsr 4rNCHbGeaGqiVu0Je9sqqrpepC0xbbL8F4rqqrFfpeea0xe9Lq=Jc9 vqaqpepm0xbba9pwe9Q8fs0=yqaqpepae9pg0FirpepeKkFr0xfr=x fr=xb9adbaqaaeGaciGaaiaabeqaamaabaabaaGcbaGaamyuaaaa@36CD@  на грани между ячейками использовались схема TVD с лимитером minmod MathType@MTEF@5@5@+= feaahGart1ev3aaatCvAUfeBSjuyZL2yd9gzLbvyNv2CaerbuLwBLn hiov2DGi1BTfMBaeXatLxBI9gBaerbd9wDYLwzYbItLDharqqtubsr 4rNCHbGeaGqiVu0Je9sqqrpepC0xbbL8F4rqqrFfpeea0xe9Lq=Jc9 vqaqpepm0xbba9pwe9Q8fs0=yqaqpepae9pg0FirpepeKkFr0xfr=x fr=xb9adbaqaaeGaciGaaiaabeqaamaabaabaaGcbaGaamyBaiaadM gacaWGUbGaamyBaiaad+gacaWGKbaaaa@3B99@  [9] (далее MathType@MTEF@5@5@+= feaahGart1ev3aqatCvAUfeBSjuyZL2yd9gzLbvyNv2CaerbuLwBLn hiov2DGi1BTfMBaeXatLxBI9gBaerbd9wDYLwzYbItLDharqqtubsr 4rNCHbGeaGqiVu0Je9sqqrpepC0xbbL8F4rqqrFfpeea0xe9Lq=Jc9 vqaqpepm0xbba9pwe9Q8fs0=yqaqpepae9pg0FirpepeKkFr0xfr=x fr=xb9adbaqaaeGaciGaaiaabeqaamaabaabaaGcbaqefmuySLMyYL gaiuaajugybabaaaaaaaaapeGaa83eGaaa@3A74@  TVD2) и схема WENO5 [13].

Дискретизация по времени проводилась с использованием TVD-схемы Рунге-Кутта 3-го порядка [13]. А именно, для уравнения вида

                                                                             U t = L h (U), MathType@MTEF@5@5@+= feaahGart1ev3aaatCvAUfeBSjuyZL2yd9gzLbvyNv2CaerbuLwBLn hiov2DGi1BTfMBaeXatLxBI9gBaerbd9wDYLwzYbItLDharqqtubsr 4rNCHbGeaGqiVu0Je9sqqrpepC0xbbL8F4rqqrFfpeea0xe9Lq=Jc9 vqaqpepm0xbba9pwe9Q8fs0=yqaqpepae9pg0FirpepeKkFr0xfr=x fr=xb9adbaqaaeGaciGaaiaabeqaamaabaabaaGcbaWaaSaaaeaacq GHciITcaWGvbaabaGaeyOaIyRaamiDaaaacaaI9aGaamitamaaBaaa leaacaWGObaabeaakiaaiIcacaWGvbGaaGykaiaaiYcaaaa@4056@ (3.7)

 где L h (U) MathType@MTEF@5@5@+= feaahGart1ev3aaatCvAUfeBSjuyZL2yd9gzLbvyNv2CaerbuLwBLn hiov2DGi1BTfMBaeXatLxBI9gBaerbd9wDYLwzYbItLDharqqtubsr 4rNCHbGeaGqiVu0Je9sqqrpepC0xbbL8F4rqqrFfpeea0xe9Lq=Jc9 vqaqpepm0xbba9pwe9Q8fs0=yqaqpepae9pg0FirpepeKkFr0xfr=x fr=xb9adbaqaaeGaciGaaiaabeqaamaabaabaaGcbaGaamitamaaBa aaleaacaWGObaabeaakiaaiIcacaWGvbGaaGykaaaa@3A2A@   MathType@MTEF@5@5@+= feaahGart1ev3aqatCvAUfeBSjuyZL2yd9gzLbvyNv2CaerbuLwBLn hiov2DGi1BTfMBaeXatLxBI9gBaerbd9wDYLwzYbItLDharqqtubsr 4rNCHbGeaGqiVu0Je9sqqrpepC0xbbL8F4rqqrFfpeea0xe9Lq=Jc9 vqaqpepm0xbba9pwe9Q8fs0=yqaqpepae9pg0FirpepeKkFr0xfr=x fr=xb9adbaqaaeGaciGaaiaabeqaamaabaabaaGcbaqefmuySLMyYL gaiuaajugybabaaaaaaaaapeGaa83eGaaa@3A74@  пространственный разностный оператор из (3.2), используем:

                 U * = U n +Δt L h ( U n ), MathType@MTEF@5@5@+= feaahGart1ev3aaatCvAUfeBSjuyZL2yd9gzLbvyNv2CaerbuLwBLn hiov2DGi1BTfMBaeXatLxBI9gBaerbd9wDYLwzYbItLDharqqtubsr 4rNCHbGeaGqiVu0Je9sqqrpepC0xbbL8F4rqqrFfpeea0xe9Lq=Jc9 vqaqpepm0xbba9pwe9Q8fs0=yqaqpepae9pg0FirpepeKkFr0xfr=x fr=xb9adbaqaaeGaciGaaiaabeqaamaabaabaaGcbaGaamyvamaaCa aaleqabaGaaGOkaaaakiaai2dacaWGvbWaaWbaaSqabeaacaWGUbaa aOGaey4kaSIaeuiLdqKaamiDaiabgwSixlaadYeadaWgaaWcbaGaam iAaaqabaGccaaIOaGaamyvamaaCaaaleqabaGaamOBaaaakiaaiMca caaISaaaaa@4625@ (3.8)

                 U ** = 3 4 U n + 1 4 U * + 1 4 Δt L h ( U * ), MathType@MTEF@5@5@+= feaahGart1ev3aaatCvAUfeBSjuyZL2yd9gzLbvyNv2CaerbuLwBLn hiov2DGi1BTfMBaeXatLxBI9gBaerbd9wDYLwzYbItLDharqqtubsr 4rNCHbGeaGqiVu0Je9sqqrpepC0xbbL8F4rqqrFfpeea0xe9Lq=Jc9 vqaqpepm0xbba9pwe9Q8fs0=yqaqpepae9pg0FirpepeKkFr0xfr=x fr=xb9adbaqaaeGaciGaaiaabeqaamaabaabaaGcbaGaamyvamaaCa aaleqabaGaaGOkaiaaiQcaaaGccaaI9aWaaSaaaeaacaaIZaaabaGa aGinaaaacaWGvbWaaWbaaSqabeaacaWGUbaaaOGaey4kaSYaaSaaae aacaaIXaaabaGaaGinaaaacaWGvbWaaWbaaSqabeaacaaIQaaaaOGa ey4kaSYaaSaaaeaacaaIXaaabaGaaGinaaaacqqHuoarcaWG0bGaey yXICTaamitamaaBaaaleaacaWGObaabeaakiaaiIcacaWGvbWaaWba aSqabeaacaaIQaaaaOGaaGykaiaaiYcaaaa@4DDE@ (3.9)

                 U n+1 = 1 3 U n + 2 3 U ** + 2 3 Δt L h ( U ** ). MathType@MTEF@5@5@+= feaahGart1ev3aaatCvAUfeBSjuyZL2yd9gzLbvyNv2CaerbuLwBLn hiov2DGi1BTfMBaeXatLxBI9gBaerbd9wDYLwzYbItLDharqqtubsr 4rNCHbGeaGqiVu0Je9sqqrpepC0xbbL8F4rqqrFfpeea0xe9Lq=Jc9 vqaqpepm0xbba9pwe9Q8fs0=yqaqpepae9pg0FirpepeKkFr0xfr=x fr=xb9adbaqaaeGaciGaaiaabeqaamaabaabaaGcbaGaamyvamaaCa aaleqabaGaamOBaiabgUcaRiaaigdaaaGccaaI9aWaaSaaaeaacaaI XaaabaGaaG4maaaacaWGvbWaaWbaaSqabeaacaWGUbaaaOGaey4kaS YaaSaaaeaacaaIYaaabaGaaG4maaaacaWGvbWaaWbaaSqabeaacaaI QaGaaGOkaaaakiabgUcaRmaalaaabaGaaGOmaaqaaiaaiodaaaGaeu iLdqKaamiDaiabgwSixlaadYeadaWgaaWcbaGaamiAaaqabaGccaaI OaGaamyvamaaCaaaleqabaGaaGOkaiaaiQcaaaGccaaIPaGaaGOlaa aa@506D@ (3.10)

4.      Постановка задач

Задача 1.

 Рассматривается задача о развитии неустойчивости Рихтмайера-Мешкова при прохождении ударной волны через прямоугольную неоднородность из тяжелого газа. Начально-краевые условия взяты согласно эксперименту [14] и расчетам, описанным в работе [15], в которой используется схема КАБАРЕ.

 

Рис. 4.1. Схема расчетной области для задачи 1

Fig 4.1. Scheme of the computational domain for problem 1 

  

Расчетная область MathType@MTEF@5@5@+= feaahGart1ev3aqatCvAUfeBSjuyZL2yd9gzLbvyNv2CaerbuLwBLn hiov2DGi1BTfMBaeXatLxBI9gBaerbd9wDYLwzYbItLDharqqtubsr 4rNCHbGeaGqiVu0Je9sqqrpepC0xbbL8F4rqqrFfpeea0xe9Lq=Jc9 vqaqpepm0xbba9pwe9Q8fs0=yqaqpepae9pg0FirpepeKkFr0xfr=x fr=xb9adbaqaaeGaciGaaiaabeqaamaabaabaaGcbaqefmuySLMyYL gaiuaajugybabaaaaaaaaapeGaa83eGaaa@3A74@  прямоугольная [0, L x ]×[0, L y ]=[0,0.45]×[0,0.2] MathType@MTEF@5@5@+= feaahGart1ev3aaatCvAUfeBSjuyZL2yd9gzLbvyNv2CaerbuLwBLn hiov2DGi1BTfMBaeXatLxBI9gBaerbd9wDYLwzYbItLDharqqtubsr 4rNCHbGeaGqiVu0Je9sqqrpepC0xbbL8F4rqqrFfpeea0xe9Lq=Jc9 vqaqpepm0xbba9pwe9Q8fs0=yqaqpepae9pg0FirpepeKkFr0xfr=x fr=xb9adbaqaaeGaciGaaiaabeqaamaabaabaaGcbaGaaG4waiaaic dacaaISaGaamitamaaBaaaleaacaWG4baabeaakiaai2facqGHxdaT caaIBbGaaGimaiaaiYcacaWGmbWaaSbaaSqaaiaadMhaaeqaaOGaaG yxaiaai2dacaaIBbGaaGimaiaaiYcacaaIWaGaaGOlaiaaisdacaaI 1aGaaGyxaiabgEna0kaaiUfacaaIWaGaaGilaiaaicdacaaIUaGaaG Omaiaai2faaaa@5102@ , изображена на Рис. 4.1. В начальный момент времени в примыкающей к стенке прямоугольной подобласти [0.1,0.25]×[0,0.1] MathType@MTEF@5@5@+= feaahGart1ev3aaatCvAUfeBSjuyZL2yd9gzLbvyNv2CaerbuLwBLn hiov2DGi1BTfMBaeXatLxBI9gBaerbd9wDYLwzYbItLDharqqtubsr 4rNCHbGeaGqiVu0Je9sqqrpepC0xbbL8F4rqqrFfpeea0xe9Lq=Jc9 vqaqpepm0xbba9pwe9Q8fs0=yqaqpepae9pg0FirpepeKkFr0xfr=x fr=xb9adbaqaaeGaciGaaiaabeqaamaabaabaaGcbaGaaG4waiaaic dacaaIUaGaaGymaiaaiYcacaaIWaGaaGOlaiaaikdacaaI1aGaaGyx aiabgEna0kaaiUfacaaIWaGaaGilaiaaicdacaaIUaGaaGymaiaai2 faaaa@4513@  (подобласть II на Рис. 4.1) находится покоящийся тяжелый газ MathType@MTEF@5@5@+= feaahGart1ev3aqatCvAUfeBSjuyZL2yd9gzLbvyNv2CaerbuLwBLn hiov2DGi1BTfMBaeXatLxBI9gBaerbd9wDYLwzYbItLDharqqtubsr 4rNCHbGeaGqiVu0Je9sqqrpepC0xbbL8F4rqqrFfpeea0xe9Lq=Jc9 vqaqpepm0xbba9pwe9Q8fs0=yqaqpepae9pg0FirpepeKkFr0xfr=x fr=xb9adbaqaaeGaciGaaiaabeqaamaabaabaaGcbaqefmuySLMyYL gaiuaajugybabaaaaaaaaapeGaa83eGaaa@3A74@  фторид серы VI ( S F 6 MathType@MTEF@5@5@+= feaahGart1ev3aaatCvAUfeBSjuyZL2yd9gzLbvyNv2CaerbuLwBLn hiov2DGi1BTfMBaeXatLxBI9gBaerbd9wDYLwzYbItLDharqqtubsr 4rNCHbGeaGqiVu0Je9sqqrpepC0xbbL8F4rqqrFfpeea0xe9Lq=Jc9 vqaqpepm0xbba9pwe9Q8fs0=yqaqpepae9pg0FirpepeKkFr0xfr=x fr=xb9adbaqaaeGaciGaaiaabeqaamaabaabaaGcbaGaam4uaiaadA eadaWgaaWcbaGaaGOnaaqabaaaaa@3886@ , элегаз), в остальной части находится покоящийся воздух (подобласть I на Рис. 4.1), оба газа находятся в статическом равновесии. На левой грани задается условие входа ударной волны, на остальных гранях MathType@MTEF@5@5@+= feaahGart1ev3aqatCvAUfeBSjuyZL2yd9gzLbvyNv2CaerbuLwBLn hiov2DGi1BTfMBaeXatLxBI9gBaerbd9wDYLwzYbItLDharqqtubsr 4rNCHbGeaGqiVu0Je9sqqrpepC0xbbL8F4rqqrFfpeea0xe9Lq=Jc9 vqaqpepm0xbba9pwe9Q8fs0=yqaqpepae9pg0FirpepeKkFr0xfr=x fr=xb9adbaqaaeGaciGaaiaabeqaamaabaabaaGcbaqefmuySLMyYL gaiuaajugybabaaaaaaaaapeGaa83eGaaa@3A74@  адиабатические стенки с проскальзыванием. Параметры сред, принятые для вычислительного эксперимента, указаны в таблице 4.1.

 

Таблица 4.1. Данные для численного эксперимента для задачи 1

Table 4.1. Data for numerical experiment for problem 1 

 

 Ударная волна

 Воздух (I)

  S F 6 MathType@MTEF@5@5@+= feaahGart1ev3aaatCvAUfeBSjuyZL2yd9gzLbvyNv2CaerbuLwBLn hiov2DGi1BTfMBaeXatLxBI9gBaerbd9wDYLwzYbItLDharqqtubsr 4rNCHbGeaGqiVu0Je9sqqrpepC0xbbL8F4rqqrFfpeea0xe9Lq=Jc9 vqaqpepm0xbba9pwe9Q8fs0=yqaqpepae9pg0FirpepeKkFr0xfr=x fr=xb9adbaqaaeGaciGaaiaabeqaamaabaabaaGcbaGaam4uaiaadA eadaWgaaWcbaGaaGOnaaqabaaaaa@3886@  (II)

  ρ MathType@MTEF@5@5@+= feaahGart1ev3aaatCvAUfeBSjuyZL2yd9gzLbvyNv2CaerbuLwBLn hiov2DGi1BTfMBaeXatLxBI9gBaerbd9wDYLwzYbItLDharqqtubsr 4rNCHbGeaGqiVu0Je9sqqrpepC0xbbL8F4rqqrFfpeea0xe9Lq=Jc9 vqaqpepm0xbba9pwe9Q8fs0=yqaqpepae9pg0FirpepeKkFr0xfr=x fr=xb9adbaqaaeGaciGaaiaabeqaamaabaabaaGcbaGaeqyWdihaaa@37B7@ , кг / MathType@MTEF@5@5@+= feaahGart1ev3aaatCvAUfeBSjuyZL2yd9gzLbvyNv2CaerbuLwBLn hiov2DGi1BTfMBaeXatLxBI9gBaerbd9wDYLwzYbItLDharqqtubsr 4rNCHbGeaGqiVu0Je9sqqrpepC0xbbL8F4rqqrFfpeea0xe9Lq=Jc9 vqaqpepm0xbba9pwe9Q8fs0=yqaqpepae9pg0FirpepeKkFr0xfr=x fr=xb9adbaqaaeGaciGaaiaabeqaamaabaabaaGcbaGaaG4laaaa@36B0@  м 3 MathType@MTEF@5@5@+= feaahGart1ev3aaatCvAUfeBSjuyZL2yd9gzLbvyNv2CaerbuLwBLn hiov2DGi1BTfMBaeXatLxBI9gBaerbd9wDYLwzYbItLDharqqtubsr 4rNCHbGeaGqiVu0Je9sqqrpepC0xbbL8F4rqqrFfpeea0xe9Lq=Jc9 vqaqpepm0xbba9pwe9Q8fs0=yqaqpepae9pg0FirpepeKkFr0xfr=x fr=xb9adbaqaaeGaciGaaiaabeqaamaabaabaaGcbaWaaWbaaSqabe aacaaIZaaaaaaa@36E1@  

 1.6672

 1.53

 5.805

  v MathType@MTEF@5@5@+= feaahGart1ev3aaatCvAUfeBSjuyZL2yd9gzLbvyNv2CaerbuLwBLn hiov2DGi1BTfMBaeXatLxBI9gBaerbd9wDYLwzYbItLDharqqtubsr 4rNCHbGeaGqiVu0Je9sqqrpepC0xbbL8F4rqqrFfpeea0xe9Lq=Jc9 vqaqpepm0xbba9pwe9Q8fs0=yqaqpepae9pg0FirpepeKkFr0xfr=x fr=xb9adbaqaaeGaciGaaiaabeqaamaabaabaaGcbaGaaCODaaaa@36F6@ , м / MathType@MTEF@5@5@+= feaahGart1ev3aaatCvAUfeBSjuyZL2yd9gzLbvyNv2CaerbuLwBLn hiov2DGi1BTfMBaeXatLxBI9gBaerbd9wDYLwzYbItLDharqqtubsr 4rNCHbGeaGqiVu0Je9sqqrpepC0xbbL8F4rqqrFfpeea0xe9Lq=Jc9 vqaqpepm0xbba9pwe9Q8fs0=yqaqpepae9pg0FirpepeKkFr0xfr=x fr=xb9adbaqaaeGaciGaaiaabeqaamaabaabaaGcbaGaaG4laaaa@36B0@  с

 (133.273, 0)

 (0, 0)

 (0, 0)

  p MathType@MTEF@5@5@+= feaahGart1ev3aaatCvAUfeBSjuyZL2yd9gzLbvyNv2CaerbuLwBLn hiov2DGi1BTfMBaeXatLxBI9gBaerbd9wDYLwzYbItLDharqqtubsr 4rNCHbGeaGqiVu0Je9sqqrpepC0xbbL8F4rqqrFfpeea0xe9Lq=Jc9 vqaqpepm0xbba9pwe9Q8fs0=yqaqpepae9pg0FirpepeKkFr0xfr=x fr=xb9adbaqaaeGaciGaaiaabeqaamaabaabaaGcbaGaamiCaaaa@36EC@ , Па

 163256.0

 96856.0

 96856.0

  C p MathType@MTEF@5@5@+= feaahGart1ev3aaatCvAUfeBSjuyZL2yd9gzLbvyNv2CaerbuLwBLn hiov2DGi1BTfMBaeXatLxBI9gBaerbd9wDYLwzYbItLDharqqtubsr 4rNCHbGeaGqiVu0Je9sqqrpepC0xbbL8F4rqqrFfpeea0xe9Lq=Jc9 vqaqpepm0xbba9pwe9Q8fs0=yqaqpepae9pg0FirpepeKkFr0xfr=x fr=xb9adbaqaaeGaciGaaiaabeqaamaabaabaaGcbaGaam4qamaaBa aaleaacaWGWbaabeaaaaa@37E0@ , Дж / MathType@MTEF@5@5@+= feaahGart1ev3aaatCvAUfeBSjuyZL2yd9gzLbvyNv2CaerbuLwBLn hiov2DGi1BTfMBaeXatLxBI9gBaerbd9wDYLwzYbItLDharqqtubsr 4rNCHbGeaGqiVu0Je9sqqrpepC0xbbL8F4rqqrFfpeea0xe9Lq=Jc9 vqaqpepm0xbba9pwe9Q8fs0=yqaqpepae9pg0FirpepeKkFr0xfr=x fr=xb9adbaqaaeGaciGaaiaabeqaamaabaabaaGcbaGaaG4laaaa@36B0@  (кг MathType@MTEF@5@5@+= feaahGart1ev3aaatCvAUfeBSjuyZL2yd9gzLbvyNv2CaerbuLwBLn hiov2DGi1BTfMBaeXatLxBI9gBaerbd9wDYLwzYbItLDharqqtubsr 4rNCHbGeaGqiVu0Je9sqqrpepC0xbbL8F4rqqrFfpeea0xe9Lq=Jc9 vqaqpepm0xbba9pwe9Q8fs0=yqaqpepae9pg0FirpepeKkFr0xfr=x fr=xb9adbaqaaeGaciGaaiaabeqaamaabaabaaGcbaGaeyyXICnaaa@3841@  K)

 1008.0

 660.08

  C v MathType@MTEF@5@5@+= feaahGart1ev3aaatCvAUfeBSjuyZL2yd9gzLbvyNv2CaerbuLwBLn hiov2DGi1BTfMBaeXatLxBI9gBaerbd9wDYLwzYbItLDharqqtubsr 4rNCHbGeaGqiVu0Je9sqqrpepC0xbbL8F4rqqrFfpeea0xe9Lq=Jc9 vqaqpepm0xbba9pwe9Q8fs0=yqaqpepae9pg0FirpepeKkFr0xfr=x fr=xb9adbaqaaeGaciGaaiaabeqaamaabaabaaGcbaGaam4qamaaBa aaleaacaWG2baabeaaaaa@37E6@ , Дж / MathType@MTEF@5@5@+= feaahGart1ev3aaatCvAUfeBSjuyZL2yd9gzLbvyNv2CaerbuLwBLn hiov2DGi1BTfMBaeXatLxBI9gBaerbd9wDYLwzYbItLDharqqtubsr 4rNCHbGeaGqiVu0Je9sqqrpepC0xbbL8F4rqqrFfpeea0xe9Lq=Jc9 vqaqpepm0xbba9pwe9Q8fs0=yqaqpepae9pg0FirpepeKkFr0xfr=x fr=xb9adbaqaaeGaciGaaiaabeqaamaabaabaaGcbaGaaG4laaaa@36B0@  (кг MathType@MTEF@5@5@+= feaahGart1ev3aaatCvAUfeBSjuyZL2yd9gzLbvyNv2CaerbuLwBLn hiov2DGi1BTfMBaeXatLxBI9gBaerbd9wDYLwzYbItLDharqqtubsr 4rNCHbGeaGqiVu0Je9sqqrpepC0xbbL8F4rqqrFfpeea0xe9Lq=Jc9 vqaqpepm0xbba9pwe9Q8fs0=yqaqpepae9pg0FirpepeKkFr0xfr=x fr=xb9adbaqaaeGaciGaaiaabeqaamaabaabaaGcbaGaeyyXICnaaa@3841@  K)

 720.0

 613.46

 

Задача 2. Была принята следующая постановка задачи в соответствии с экспериментом, описанным в работе [16]. Расчетная область MathType@MTEF@5@5@+= feaahGart1ev3aqatCvAUfeBSjuyZL2yd9gzLbvyNv2CaerbuLwBLn hiov2DGi1BTfMBaeXatLxBI9gBaerbd9wDYLwzYbItLDharqqtubsr 4rNCHbGeaGqiVu0Je9sqqrpepC0xbbL8F4rqqrFfpeea0xe9Lq=Jc9 vqaqpepm0xbba9pwe9Q8fs0=yqaqpepae9pg0FirpepeKkFr0xfr=x fr=xb9adbaqaaeGaciGaaiaabeqaamaabaabaaGcbaqefmuySLMyYL gaiuaajugybabaaaaaaaaapeGaa83eGaaa@3A74@  прямоугольная      [0, L x ]×[0, L y ]==[0,0.2]×[0,0.14] MathType@MTEF@5@5@+= feaahGart1ev3aaatCvAUfeBSjuyZL2yd9gzLbvyNv2CaerbuLwBLn hiov2DGi1BTfMBaeXatLxBI9gBaerbd9wDYLwzYbItLDharqqtubsr 4rNCHbGeaGqiVu0Je9sqqrpepC0xbbL8F4rqqrFfpeea0xe9Lq=Jc9 vqaqpepm0xbba9pwe9Q8fs0=yqaqpepae9pg0FirpepeKkFr0xfr=x fr=xb9adbaqaaeGaciGaaiaabeqaamaabaabaaGcbaGaaG4waiaaic dacaaISaGaamitamaaBaaaleaacaWG4baabeaakiaai2facqGHxdaT caaIBbGaaGimaiaaiYcacaWGmbWaaSbaaSqaaiaadMhaaeqaaOGaaG yxaiaai2dacaaI9aGaaG4waiaaicdacaaISaGaaGimaiaai6cacaaI YaGaaGyxaiabgEna0kaaiUfacaaIWaGaaGilaiaaicdacaaIUaGaaG ymaiaaisdacaaIDbaaaa@51C5@  (Рис. 4.2).

 

Рис. 4.2. Схема расчетной области для задачи 2

Fig 4.2. Scheme of the computational domain for problem 2

  

В начальный момент времени в квадратной подобласти II со стороной a=0.0566 MathType@MTEF@5@5@+= feaahGart1ev3aaatCvAUfeBSjuyZL2yd9gzLbvyNv2CaerbuLwBLn hiov2DGi1BTfMBaeXatLxBI9gBaerbd9wDYLwzYbItLDharqqtubsr 4rNCHbGeaGqiVu0Je9sqqrpepC0xbbL8F4rqqrFfpeea0xe9Lq=Jc9 vqaqpepm0xbba9pwe9Q8fs0=yqaqpepae9pg0FirpepeKkFr0xfr=x fr=xb9adbaqaaeGaciGaaiaabeqaamaabaabaaGcbaGaamyyaiaai2 dacaaIWaGaaGOlaiaaicdacaaI1aGaaGOnaiaaiAdaaaa@3C0F@  находится покоящийся тяжелый газ MathType@MTEF@5@5@+= feaahGart1ev3aqatCvAUfeBSjuyZL2yd9gzLbvyNv2CaerbuLwBLn hiov2DGi1BTfMBaeXatLxBI9gBaerbd9wDYLwzYbItLDharqqtubsr 4rNCHbGeaGqiVu0Je9sqqrpepC0xbbL8F4rqqrFfpeea0xe9Lq=Jc9 vqaqpepm0xbba9pwe9Q8fs0=yqaqpepae9pg0FirpepeKkFr0xfr=x fr=xb9adbaqaaeGaciGaaiaabeqaamaabaabaaGcbaqefmuySLMyYL gaiuaajugybabaaaaaaaaapeGaa83eGaaa@3A74@  фторид серы VI ( S F 6 MathType@MTEF@5@5@+= feaahGart1ev3aaatCvAUfeBSjuyZL2yd9gzLbvyNv2CaerbuLwBLn hiov2DGi1BTfMBaeXatLxBI9gBaerbd9wDYLwzYbItLDharqqtubsr 4rNCHbGeaGqiVu0Je9sqqrpepC0xbbL8F4rqqrFfpeea0xe9Lq=Jc9 vqaqpepm0xbba9pwe9Q8fs0=yqaqpepae9pg0FirpepeKkFr0xfr=x fr=xb9adbaqaaeGaciGaaiaabeqaamaabaabaaGcbaGaam4uaiaadA eadaWgaaWcbaGaaGOnaaqabaaaaa@3886@ , элегаз) в остальной части находится азот (подобласти I и III на Рис. 4.2). Фронт ударной волны, движущейся вправо с числом Маха 1.17, находится на расстоянии L sw =0.02 MathType@MTEF@5@5@+= feaahGart1ev3aaatCvAUfeBSjuyZL2yd9gzLbvyNv2CaerbuLwBLn hiov2DGi1BTfMBaeXatLxBI9gBaerbd9wDYLwzYbItLDharqqtubsr 4rNCHbGeaGqiVu0Je9sqqrpepC0xbbL8F4rqqrFfpeea0xe9Lq=Jc9 vqaqpepm0xbba9pwe9Q8fs0=yqaqpepae9pg0FirpepeKkFr0xfr=x fr=xb9adbaqaaeGaciGaaiaabeqaamaabaabaaGcbaGaamitamaaBa aaleaacaWGZbGaam4DaaqabaGccaaI9aGaaGimaiaai6cacaaIWaGa aGOmaaaa@3CA1@  от левой границы. Область с тяжелым газом располагается перед фронтом ударной волны на расстоянии, соответствующем достижению ударной волной контактной границы за 4 мкс и по центру относительно оси Oy MathType@MTEF@5@5@+= feaahGart1ev3aaatCvAUfeBSjuyZL2yd9gzLbvyNv2CaerbuLwBLn hiov2DGi1BTfMBaeXatLxBI9gBaerbd9wDYLwzYbItLDharqqtubsr 4rNCHbGeaGqiVu0Je9sqqrpepC0xbbL8F4rqqrFfpeea0xe9Lq=Jc9 vqaqpepm0xbba9pwe9Q8fs0=yqaqpepae9pg0FirpepeKkFr0xfr=x fr=xb9adbaqaaeGaciGaaiaabeqaamaabaabaaGcbaGaam4taiaadM haaaa@37C9@ . Давление полагалось равным 101 325 Па, а температура MathType@MTEF@5@5@+= feaahGart1ev3aqatCvAUfeBSjuyZL2yd9gzLbvyNv2CaerbuLwBLn hiov2DGi1BTfMBaeXatLxBI9gBaerbd9wDYLwzYbItLDharqqtubsr 4rNCHbGeaGqiVu0Je9sqqrpepC0xbbL8F4rqqrFfpeea0xe9Lq=Jc9 vqaqpepm0xbba9pwe9Q8fs0=yqaqpepae9pg0FirpepeKkFr0xfr=x fr=xb9adbaqaaeGaciGaaiaabeqaamaabaabaaGcbaqefmuySLMyYL gaiuaajugybabaaaaaaaaapeGaa83eGaaa@3A74@  равной 298 К. На левой грани задается условие втекания газа с параметрами за фронтом ударной волны, на остальных гранях MathType@MTEF@5@5@+= feaahGart1ev3aqatCvAUfeBSjuyZL2yd9gzLbvyNv2CaerbuLwBLn hiov2DGi1BTfMBaeXatLxBI9gBaerbd9wDYLwzYbItLDharqqtubsr 4rNCHbGeaGqiVu0Je9sqqrpepC0xbbL8F4rqqrFfpeea0xe9Lq=Jc9 vqaqpepm0xbba9pwe9Q8fs0=yqaqpepae9pg0FirpepeKkFr0xfr=x fr=xb9adbaqaaeGaciGaaiaabeqaamaabaabaaGcbaqefmuySLMyYL gaiuaajugybabaaaaaaaaapeGaa83eGaaa@3A74@  условия свободного вытекания. Параметры газов приведены в таблице 4.2.

 

Таблица 4.2. Данные для численного эксперимента для задачи 2

Table 4.2. Data for numerical experiment for problem 2 

 

 Азот ( N 2 MathType@MTEF@5@5@+= feaahGart1ev3aaatCvAUfeBSjuyZL2yd9gzLbvyNv2CaerbuLwBLn hiov2DGi1BTfMBaeXatLxBI9gBaerbd9wDYLwzYbItLDharqqtubsr 4rNCHbGeaGqiVu0Je9sqqrpepC0xbbL8F4rqqrFfpeea0xe9Lq=Jc9 vqaqpepm0xbba9pwe9Q8fs0=yqaqpepae9pg0FirpepeKkFr0xfr=x fr=xb9adbaqaaeGaciGaaiaabeqaamaabaabaaGcbaGaamOtamaaBa aaleaacaaIYaaabeaaaaa@37B2@  )

 Фторид серы VI ( S F 6 MathType@MTEF@5@5@+= feaahGart1ev3aaatCvAUfeBSjuyZL2yd9gzLbvyNv2CaerbuLwBLn hiov2DGi1BTfMBaeXatLxBI9gBaerbd9wDYLwzYbItLDharqqtubsr 4rNCHbGeaGqiVu0Je9sqqrpepC0xbbL8F4rqqrFfpeea0xe9Lq=Jc9 vqaqpepm0xbba9pwe9Q8fs0=yqaqpepae9pg0FirpepeKkFr0xfr=x fr=xb9adbaqaaeGaciGaaiaabeqaamaabaabaaGcbaGaam4uaiaadA eadaWgaaWcbaGaaGOnaaqabaaaaa@3886@  )

  M MathType@MTEF@5@5@+= feaahGart1ev3aaatCvAUfeBSjuyZL2yd9gzLbvyNv2CaerbuLwBLn hiov2DGi1BTfMBaeXatLxBI9gBaerbd9wDYLwzYbItLDharqqtubsr 4rNCHbGeaGqiVu0Je9sqqrpepC0xbbL8F4rqqrFfpeea0xe9Lq=Jc9 vqaqpepm0xbba9pwe9Q8fs0=yqaqpepae9pg0FirpepeKkFr0xfr=x fr=xb9adbaqaaeGaciGaaiaabeqaamaabaabaaGcbaGaamytaaaa@36C9@  

 0.02801

 0.14606

  C p MathType@MTEF@5@5@+= feaahGart1ev3aaatCvAUfeBSjuyZL2yd9gzLbvyNv2CaerbuLwBLn hiov2DGi1BTfMBaeXatLxBI9gBaerbd9wDYLwzYbItLDharqqtubsr 4rNCHbGeaGqiVu0Je9sqqrpepC0xbbL8F4rqqrFfpeea0xe9Lq=Jc9 vqaqpepm0xbba9pwe9Q8fs0=yqaqpepae9pg0FirpepeKkFr0xfr=x fr=xb9adbaqaaeGaciGaaiaabeqaamaabaabaaGcbaGaam4qamaaBa aaleaacaWGWbaabeaaaaa@37E0@  , Дж / MathType@MTEF@5@5@+= feaahGart1ev3aaatCvAUfeBSjuyZL2yd9gzLbvyNv2CaerbuLwBLn hiov2DGi1BTfMBaeXatLxBI9gBaerbd9wDYLwzYbItLDharqqtubsr 4rNCHbGeaGqiVu0Je9sqqrpepC0xbbL8F4rqqrFfpeea0xe9Lq=Jc9 vqaqpepm0xbba9pwe9Q8fs0=yqaqpepae9pg0FirpepeKkFr0xfr=x fr=xb9adbaqaaeGaciGaaiaabeqaamaabaabaaGcbaGaaG4laaaa@36B0@  (кг MathType@MTEF@5@5@+= feaahGart1ev3aaatCvAUfeBSjuyZL2yd9gzLbvyNv2CaerbuLwBLn hiov2DGi1BTfMBaeXatLxBI9gBaerbd9wDYLwzYbItLDharqqtubsr 4rNCHbGeaGqiVu0Je9sqqrpepC0xbbL8F4rqqrFfpeea0xe9Lq=Jc9 vqaqpepm0xbba9pwe9Q8fs0=yqaqpepae9pg0FirpepeKkFr0xfr=x fr=xb9adbaqaaeGaciGaaiaabeqaamaabaabaaGcbaGaeyyXICnaaa@3841@  K)

 1040

 665.1376

 

5.      Результаты расчетов

5.1. Задача 1 

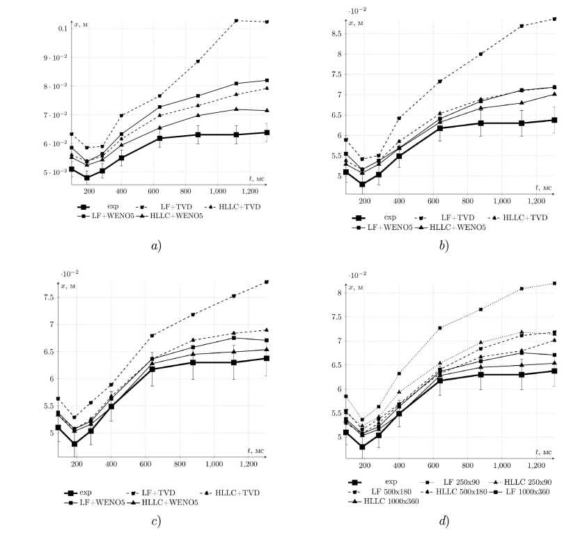
На Рис. 5.1 показаны результаты расчетов различными методами на сетках размерности 360×160 MathType@MTEF@5@5@+= feaahGart1ev3aaatCvAUfeBSjuyZL2yd9gzLbvyNv2CaerbuLwBLn hiov2DGi1BTfMBaeXatLxBI9gBaerbd9wDYLwzYbItLDharqqtubsr 4rNCHbGeaGqiVu0Je9sqqrpepC0xbbL8F4rqqrFfpeea0xe9Lq=Jc9 vqaqpepm0xbba9pwe9Q8fs0=yqaqpepae9pg0FirpepeKkFr0xfr=x fr=xb9adbaqaaeGaciGaaiaabeqaamaabaabaaGcbaGaaG4maiaaiA dacaaIWaGaey41aqRaaGymaiaaiAdacaaIWaaaaa@3C7A@ , 720×320 MathType@MTEF@5@5@+= feaahGart1ev3aaatCvAUfeBSjuyZL2yd9gzLbvyNv2CaerbuLwBLn hiov2DGi1BTfMBaeXatLxBI9gBaerbd9wDYLwzYbItLDharqqtubsr 4rNCHbGeaGqiVu0Je9sqqrpepC0xbbL8F4rqqrFfpeea0xe9Lq=Jc9 vqaqpepm0xbba9pwe9Q8fs0=yqaqpepae9pg0FirpepeKkFr0xfr=x fr=xb9adbaqaaeGaciGaaiaabeqaamaabaabaaGcbaGaaG4naiaaik dacaaIWaGaey41aqRaaG4maiaaikdacaaIWaaaaa@3C78@  и 1080×480 MathType@MTEF@5@5@+= feaahGart1ev3aaatCvAUfeBSjuyZL2yd9gzLbvyNv2CaerbuLwBLn hiov2DGi1BTfMBaeXatLxBI9gBaerbd9wDYLwzYbItLDharqqtubsr 4rNCHbGeaGqiVu0Je9sqqrpepC0xbbL8F4rqqrFfpeea0xe9Lq=Jc9 vqaqpepm0xbba9pwe9Q8fs0=yqaqpepae9pg0FirpepeKkFr0xfr=x fr=xb9adbaqaaeGaciGaaiaabeqaamaabaabaaGcbaGaaGymaiaaic dacaaI4aGaaGimaiabgEna0kaaisdacaaI4aGaaGimaaaa@3D39@ . Видно, что использование солвера HLLC для вычисления дискретных потоков позволяет воспроизвести корректную картину течения даже на грубой сетке, а использование реконструкции WENO5 позволяет смоделировать достаточно подробную структуру течения.

В работе [14] приводятся результаты измерения положения границ области с элегазом в различные моменты времени. На основе этих данных было вычислено значение ширины зоны с элегазом в эксперименте и выполнено сравнение с результатами расчетов в данной работе. На Рис. 5.2 приводится сравнение изменения ширины зоны с элегазом для различных методов на последовательности измельчающихся сеток. Видно, что до момента ( 1.5 MathType@MTEF@5@5@+= feaahGart1ev3aaatCvAUfeBSjuyZL2yd9gzLbvyNv2CaerbuLwBLn hiov2DGi1BTfMBaeXatLxBI9gBaerbd9wDYLwzYbItLDharqqtubsr 4rNCHbGeaGqiVu0Je9sqqrpepC0xbbL8F4rqqrFfpeea0xe9Lq=Jc9 vqaqpepm0xbba9pwe9Q8fs0=yqaqpepae9pg0FirpepeKkFr0xfr=x fr=xb9adbaqaaeGaciGaaiaabeqaamaabaabaaGcbaGaeyisISRaaG ymaiaai6cacaaI1aaaaa@39DA@  мс) прохождения вторичной ударной волны, отраженной от правой границы, все методы демонстрируют приемлемое совпадение изменения ширины наблюдаемой зоны с элегазом. Далее во всех расчетах значение ширины занижено, за исключением результатов, полученных с использованием реконструкции WENO5, которые попадают в доверительный интервал экспериментальных данных.

 

   

Рис. 5.1. Задача 1 – картина течения на момент времени 4 046 мкс: a) эксперимент [14]; b) результаты расчетов (концентрация)

Fig 5.1. Problem 1  flow pattern at time 4 046  s: a) experiment [14]; b) calculation results (concentration)

  

   

Рис. 5.2. Задача 1 – изменение ширины области с элегазом: a) схема первого порядка точности, поток LF; b) схема первого порядка точности, поток HLLC; c) реконструкция TVD2, поток LF; d) реконструкция TVD2, поток HLLC; e) реконструкция WENO5, поток LF; f) реконструкция WENO5, поток HLLC

Fig 5.2. Task 1  changing the width of the area with SF6 gas: a) first-order accuracy circuit, LF flux; b) first order accuracy circuit, HLLC flux; c) reconstruction of TVD2, LF flux; d) TVD2 reconstruction, HLLC flux; e) WENO5 reconstruction, LF flux; f) WENO5 reconstruction, HLLC flux

  

 5.2 Задача 2

 На Рис. 5.3 показаны численные шлирен-картины по истечении 887 мкс с момента достижения ударной волной левой границы области II.

 

Рис. 5.3. Задача 2 – численные шлирен-картины на момент времени 877 мкс: a) эксперимент [16]; b) результаты расчетов

Fig 5.3. Problem 2 MathType@MTEF@5@5@+= feaahGart1ev3aqatCvAUfeBSjuyZL2yd9gzLbvyNv2CaerbuLwBLn hiov2DGi1BTfMBaeXatLxBI9gBaerbd9wDYLwzYbItLDharqqtubsr 4rNCHbGeaGqiVu0Je9sqqrpepC0xbbL8F4rqqrFfpeea0xe9Lq=Jc9 vqaqpepm0xbba9pwe9Q8fs0=yqaqpepae9pg0FirpepeKkFr0xfr=x fr=xb9adbaqaaeGaciGaaiaabeqaamaabaabaaGcbaqefmuySLMyYL gaiuaajugybabaaaaaaaaapeGaa83eGaaa@3A74@  numerical schlieren pictures at time 877 μ MathType@MTEF@5@5@+= feaahGart1ev3aaatCvAUfeBSjuyZL2yd9gzLbvyNv2CaerbuLwBLn hiov2DGi1BTfMBaeXatLxBI9gBaerbd9wDYLwzYbItLDharqqtubsr 4rNCHbGeaGqiVu0Je9sqqrpepC0xbbL8F4rqqrFfpeea0xe9Lq=Jc9 vqaqpepm0xbba9pwe9Q8fs0=yqaqpepae9pg0FirpepeKkFr0xfr=x fr=xb9adbaqaaeGaciGaaiaabeqaamaabaabaaGcbaGaeqiVd0gaaa@37AD@  s: a MathType@MTEF@5@5@+= feaahGart1ev3aaatCvAUfeBSjuyZL2yd9gzLbvyNv2CaerbuLwBLn hiov2DGi1BTfMBaeXatLxBI9gBaerbd9wDYLwzYbItLDharqqtubsr 4rNCHbGeaGqiVu0Je9sqqrpepC0xbbL8F4rqqrFfpeea0xe9Lq=Jc9 vqaqpepm0xbba9pwe9Q8fs0=yqaqpepae9pg0FirpepeKkFr0xfr=x fr=xb9adbaqaaeGaciGaaiaabeqaamaabaabaaGcbaGaamyyaaaa@36DD@ ) experiment [16]; b MathType@MTEF@5@5@+= feaahGart1ev3aaatCvAUfeBSjuyZL2yd9gzLbvyNv2CaerbuLwBLn hiov2DGi1BTfMBaeXatLxBI9gBaerbd9wDYLwzYbItLDharqqtubsr 4rNCHbGeaGqiVu0Je9sqqrpepC0xbbL8F4rqqrFfpeea0xe9Lq=Jc9 vqaqpepm0xbba9pwe9Q8fs0=yqaqpepae9pg0FirpepeKkFr0xfr=x fr=xb9adbaqaaeGaciGaaiaabeqaamaabaabaaGcbaGaamOyaaaa@36DE@ ) calculation results

 

Легко заметить, что с повышением порядка точности схемы увеличивается детализация картины течения. Схема на основе WENO позволяет разрешить более «тонкие» детали развития вихревых структур на границе раздела двух газов. Картины течения, полученные с помощью WENO-схем, имеют более закрученные вихревые структуры, чем в эксперименте [16] (Рис. 5.3 a MathType@MTEF@5@5@+= feaahGart1ev3aaatCvAUfeBSjuyZL2yd9gzLbvyNv2CaerbuLwBLn hiov2DGi1BTfMBaeXatLxBI9gBaerbd9wDYLwzYbItLDharqqtubsr 4rNCHbGeaGqiVu0Je9sqqrpepC0xbbL8F4rqqrFfpeea0xe9Lq=Jc9 vqaqpepm0xbba9pwe9Q8fs0=yqaqpepae9pg0FirpepeKkFr0xfr=x fr=xb9adbaqaaeGaciGaaiaabeqaamaabaabaaGcbaGaamyyaaaa@36DD@  ). Это можно объяснить тем, что в модели не учитывается вязкость, которая увеличивала бы диссипацию вихревых структур.

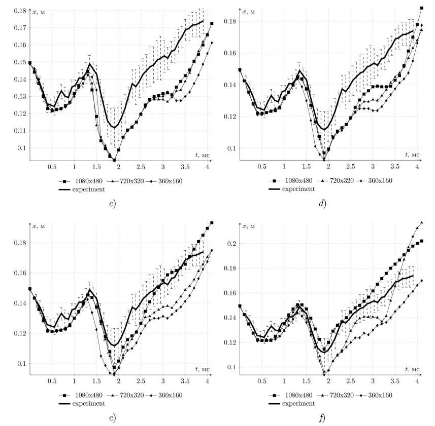
На Рис. 5.4 представлена динамика изменения ширины области с тяжелым газом в сравнении с экспериментом.

 

   

Рис. 5.4. Изменение ширины области с тяжелым газом: a) сетка ; b) сетка ; c) сетка ; d) схема WENO5 с потоками LF и HLLC на сгущающихся сетках

Fig 5.4. Dynamics of the width of the region with heavy gas: a MathType@MTEF@5@5@+= feaahGart1ev3aaatCvAUfeBSjuyZL2yd9gzLbvyNv2CaerbuLwBLn hiov2DGi1BTfMBaeXatLxBI9gBaerbd9wDYLwzYbItLDharqqtubsr 4rNCHbGeaGqiVu0Je9sqqrpepC0xbbL8F4rqqrFfpeea0xe9Lq=Jc9 vqaqpepm0xbba9pwe9Q8fs0=yqaqpepae9pg0FirpepeKkFr0xfr=x fr=xb9adbaqaaeGaciGaaiaabeqaamaabaabaaGcbaGaamyyaaaa@36DD@  ) grid 250×90 MathType@MTEF@5@5@+= feaahGart1ev3aaatCvAUfeBSjuyZL2yd9gzLbvyNv2CaerbuLwBLn hiov2DGi1BTfMBaeXatLxBI9gBaerbd9wDYLwzYbItLDharqqtubsr 4rNCHbGeaGqiVu0Je9sqqrpepC0xbbL8F4rqqrFfpeea0xe9Lq=Jc9 vqaqpepm0xbba9pwe9Q8fs0=yqaqpepae9pg0FirpepeKkFr0xfr=x fr=xb9adbaqaaeGaciGaaiaabeqaamaabaabaaGcbaGaaGOmaiaaiw dacaaIWaGaey41aqRaaGyoaiaaicdaaaa@3BC0@ ; b MathType@MTEF@5@5@+= feaahGart1ev3aaatCvAUfeBSjuyZL2yd9gzLbvyNv2CaerbuLwBLn hiov2DGi1BTfMBaeXatLxBI9gBaerbd9wDYLwzYbItLDharqqtubsr 4rNCHbGeaGqiVu0Je9sqqrpepC0xbbL8F4rqqrFfpeea0xe9Lq=Jc9 vqaqpepm0xbba9pwe9Q8fs0=yqaqpepae9pg0FirpepeKkFr0xfr=x fr=xb9adbaqaaeGaciGaaiaabeqaamaabaabaaGcbaGaamOyaaaa@36DE@  ) grid 500×180 MathType@MTEF@5@5@+= feaahGart1ev3aaatCvAUfeBSjuyZL2yd9gzLbvyNv2CaerbuLwBLn hiov2DGi1BTfMBaeXatLxBI9gBaerbd9wDYLwzYbItLDharqqtubsr 4rNCHbGeaGqiVu0Je9sqqrpepC0xbbL8F4rqqrFfpeea0xe9Lq=Jc9 vqaqpepm0xbba9pwe9Q8fs0=yqaqpepae9pg0FirpepeKkFr0xfr=x fr=xb9adbaqaaeGaciGaaiaabeqaamaabaabaaGcbaGaaGynaiaaic dacaaIWaGaey41aqRaaGymaiaaiIdacaaIWaaaaa@3C78@ ; c MathType@MTEF@5@5@+= feaahGart1ev3aaatCvAUfeBSjuyZL2yd9gzLbvyNv2CaerbuLwBLn hiov2DGi1BTfMBaeXatLxBI9gBaerbd9wDYLwzYbItLDharqqtubsr 4rNCHbGeaGqiVu0Je9sqqrpepC0xbbL8F4rqqrFfpeea0xe9Lq=Jc9 vqaqpepm0xbba9pwe9Q8fs0=yqaqpepae9pg0FirpepeKkFr0xfr=x fr=xb9adbaqaaeGaciGaaiaabeqaamaabaabaaGcbaGaam4yaaaa@36DF@  ) grid 1000×360 MathType@MTEF@5@5@+= feaahGart1ev3aaatCvAUfeBSjuyZL2yd9gzLbvyNv2CaerbuLwBLn hiov2DGi1BTfMBaeXatLxBI9gBaerbd9wDYLwzYbItLDharqqtubsr 4rNCHbGeaGqiVu0Je9sqqrpepC0xbbL8F4rqqrFfpeea0xe9Lq=Jc9 vqaqpepm0xbba9pwe9Q8fs0=yqaqpepae9pg0FirpepeKkFr0xfr=x fr=xb9adbaqaaeGaciGaaiaabeqaamaabaabaaGcbaGaaGymaiaaic dacaaIWaGaaGimaiabgEna0kaaiodacaaI2aGaaGimaaaa@3D2E@ ; d MathType@MTEF@5@5@+= feaahGart1ev3aaatCvAUfeBSjuyZL2yd9gzLbvyNv2CaerbuLwBLn hiov2DGi1BTfMBaeXatLxBI9gBaerbd9wDYLwzYbItLDharqqtubsr 4rNCHbGeaGqiVu0Je9sqqrpepC0xbbL8F4rqqrFfpeea0xe9Lq=Jc9 vqaqpepm0xbba9pwe9Q8fs0=yqaqpepae9pg0FirpepeKkFr0xfr=x fr=xb9adbaqaaeGaciGaaiaabeqaamaabaabaaGcbaGaamizaaaa@36E0@  ) WENO5 scheme with LF and HLLC fluxes on condensed grids

 

Видно, что наиболее близко к эксперименту изменение ширины области с элегазом воспроизводит схема с дискретным потоком HLLC и реконструкцией WENO 5-го порядка точности.

6.      Заключение

В работе решены две задачи о развитии гидродинамической неустойчивости при набегании ударной волны на область с более плотным газом. Получены картины течения и проанализирована динамика изменения области с плотным газом. Расчеты проведены с использованием вычислительных алгоритмов на основе интегро-интерполяционного метода первого порядка точности и с реконструкцией решения на границах ячеек по схеме TVD второго порядка точности и по схеме WENO птого порядка точности. Для вычисления дискретных потоков на границах ячеек использовались потоки Лакса-Фридрихса и HLLC. Что наиболее близкие к эксперименту результаты демонстрирует схема с реконструкцией WENO и дискретными потоками HLLC.

Благодарности. Постановка расчетных задач, обработка и интерпретация результатов выполнена Жалниным Р. В. за счет средств РНФ (проект MathType@MTEF@5@5@+= feaahGart1ev3aqatCvAUfeBSjuyZL2yd9gzLbvyNv2CaerbuLwBLn hiov2DGi1BTfMBaeXatLxBI9gBaerbd9wDYLwzYbItLDharqqtubsr 4rNCHbGeaGqiVu0Je9sqqrpepC0xbbL8F4rqqrFfpeea0xe9Lq=Jc9 vqaqpepm0xbba9pwe9Q8fs0=yqaqpepae9pg0FirpepeKkFr0xfr=x fr=xb9adbaqaaeGaciGaaiaabeqaamaabaabaaGcbaqefmuySLMyYL gaiuaajugybabaaaaaaaaapeGaa8NfHaaa@3A78@  23-11-00142).

×

About the authors

Ruslan V. Zhalnin

Lavrentyev Institute of Hydrodynamics SB RAS

Author for correspondence.
Email: zhrv@mrsu.ru
ORCID iD: 0000-0002-1103-3321

Ph.D. (Phys.-Math.), Researcher

Russian Federation, Novosibirsk

Andrey I. Kulyagin

National Research Mordovia State University

Email: andreycoolyagin@gmail.com
ORCID iD: 0009-0005-3158-6221

Ph.D. (Phys.-Math.), Lecturer at the Department of Applied Mathematics, Differential equations and theoretical mechanics

Russian Federation, Saransk

Michael S. Nefedov

National Research Mordovia State University

Email: snef7@yandex.ru
ORCID iD: 0009-0002-7347-2191

Ph.D. (Phys.-Math.), Lecturer at the Department of Applied Mathematics, Differential equations and theoretical mechanics

Russian Federation, Saransk

References

  1. O. M. Belotserkovsky, V. V. Demchenko, A. M. Oparin, “Sequential transition to turbulence in the Richtmayer-Meshkov instability”, Dokl. RAS, 334:5 (1994), 581–583 (In Russ.).
  2. D. L. Youngs, “Numerical simulation of mixing by Rayleigh-Taylor and Richtmyer-Meshkov instabilities”, Laser and Particle Beams, 12:4 (1994), 725–750. DOI: https://doi.org/10.1017/S0263034600008557
  3. S. Chandrasekhar, Hydrodynamics and hydromagnetic stability, Oxford: Clarendon Press, 1961.
  4. B. B. Chakraborty, “Rayleigh-Taylor instability of heavy fluid”, Phys. Fluids., 18:8 (1975), 1066–1067.
  5. V. F. Kuropatenko, “Unsteady flows of multicomponent media”, Mat. Modeling, 1:2 (1989), 128–155 (In Russ.).
  6. O. P. Stoyanovskaya, V. V. Lisitsa, S. A. Anoshin, T. A.Savvateeva, T. V. Markelova, “Dispersion Analysis of SPH as a Way to Understand Its Order of Approximation”, Journal of Computational and Applied Mathematics, 438 (2024), 115495. DOI: https://doi.org/10.1016/j.cam.2023.115495
  7. R. V. Zhalnin, V. F. Masyagin, E. E. Peskova, V. F. Tishkin, “Modeling the Richtmyer–Meshkov Instability Development Using the Discontinuous Galerkin Method and Locally Adaptive Meshes”, Mathematical Models and Computer Simulations, 13:3 (2021), 474–482. DOI: https://doi.org/10.1134/S2070048221030194
  8. K. V. Vyaznikov, V. F. Tishkin, A. P. Favorsky, “Construction of monotone difference schemes of increased approximation order for systems of hyperbolic equations”, Mathematical modeling, 1 (1989), 95–-120 (In Russ.).
  9. V. F. Tishkin, V. V. Nikishin, I. V. Popov, A. P. Favorsky, “Difference schemes of three-dimensional gas dynamics for the problem of the development of Richtmayer-Meshkov instability”, Mathematical modeling, 7:5 (1995), 15–25 (In Russ.).
  10. V. V. Grigoryev, R. V. Zhalnin, “Comparison of methods for modeling the interaction of a shock wave and a gas at rest with experiment in the problem of the development of the Richtmyer–Meshkov instability”, Parallel Computing Technologies – XVIII All-Russian Conference with International participation., 14 (2024), 17–30.
  11. P. D. Lax, “Weak solutions of nonlinear hyperbolic equations and their numerical computation”, Communications on Pure and Applied Mathematics, 7 (1954), 159–193. DOI: https://doi.org/10.1002/cpa.3160070112
  12. E. F. Toro, M. Spruce, W. Speares, “Restoration of the contact surface in the HLL-Riemann solver”, Shock Waves, 4 (194), 25–34. DOI: https://doi.org/10.1007/BF01414629
  13. C. W. Shu, “Essentially non-oscillatory and weighted essentially non-oscillatory schemes for hyperbolic conservation laws”, ICASE Report, 1997, no. 97–65, 79.
  14. K. R. Bates, N. Nikiforakis, D. Holder, “Richtmyer–Meshkov Instability Induced by the Interaction of a Shock Wave with a Rectangular Block of SF6”, Physics of Fluids, 19 (2007), 036101.
  15. A. V. Danilin, A. V. Solovjev, “Simulation of Turbulent Mixing by the CABARET Algorithm for the Case of a Richtmyer-Meshkov Instability”, Mathematical Models and Computer Simulations, 30:8 (2019), 247–255. DOI: https://doi.org/10.1134/S2070048219020054
  16. X. Luo, M. Wang, T. Si, Zh. Zhai, “On the interaction of a planar shock with an SF6 polygon”, J. Fluid Mech, 773 (2015), 366–394. DOI: https://doi.org/10.1017/jfm.2015.257

Supplementary files

Supplementary Files
Action
1. JATS XML
2. Fig 4.1. Scheme of the computational domain for problem 1

Download (635B)
3. Fig 4.2. Scheme of the computational domain for problem 2

Download (566B)
4. Fig 5.1. Problem 1 – flow pattern at time 4 046 s: ) experiment [14]; ) calculation results (concentration)

Download (6KB)
5. Fig 5.1. Problem 1 – flow pattern at time 4 046 s: ) experiment [14]; ) calculation results (concentration)

Download (38KB)
6. Fig 5.2. Task 1 – changing the width of the area with SF6 gas: ) first-order accuracy circuit, LF flux; ) first order accuracy circuit, HLLC flux; ) reconstruction of TVD2, LF flux; ) TVD2 reconstruction, HLLC flux; ) WENO5 reconstruction, LF flux; ) WENO5 reconstruction, HLLC flux

Download (28KB)
7. Fig 5.2. Task 1 – changing the width of the area with SF6 gas: ) first-order accuracy circuit, LF flux; ) first order accuracy circuit, HLLC flux; ) reconstruction of TVD2, LF flux; ) TVD2 reconstruction, HLLC flux; ) WENO5 reconstruction, LF flux; ) WENO5 reconstruction, HLLC flux

Download (62KB)
8. Fig 5.3. Problem 2 – numerical schlieren pictures at time 877 s: ) experiment [16]; ) calculation results

Download (54KB)
9. Fig 5.4. Dynamics of the width of the region with heavy gas: ) grid ; ) grid ; ) grid ; ) WENO5 scheme with LF and HLLC fluxes on condensed grids

Download (45KB)

Copyright (c) 2024 Middle Volga Mathematical Society journal

Creative Commons License
This work is licensed under a Creative Commons Attribution 4.0 International License.

Согласие на обработку персональных данных с помощью сервиса «Яндекс.Метрика»

1. Я (далее – «Пользователь» или «Субъект персональных данных»), осуществляя использование сайта https://journals.rcsi.science/ (далее – «Сайт»), подтверждая свою полную дееспособность даю согласие на обработку персональных данных с использованием средств автоматизации Оператору - федеральному государственному бюджетному учреждению «Российский центр научной информации» (РЦНИ), далее – «Оператор», расположенному по адресу: 119991, г. Москва, Ленинский просп., д.32А, со следующими условиями.

2. Категории обрабатываемых данных: файлы «cookies» (куки-файлы). Файлы «cookie» – это небольшой текстовый файл, который веб-сервер может хранить в браузере Пользователя. Данные файлы веб-сервер загружает на устройство Пользователя при посещении им Сайта. При каждом следующем посещении Пользователем Сайта «cookie» файлы отправляются на Сайт Оператора. Данные файлы позволяют Сайту распознавать устройство Пользователя. Содержимое такого файла может как относиться, так и не относиться к персональным данным, в зависимости от того, содержит ли такой файл персональные данные или содержит обезличенные технические данные.

3. Цель обработки персональных данных: анализ пользовательской активности с помощью сервиса «Яндекс.Метрика».

4. Категории субъектов персональных данных: все Пользователи Сайта, которые дали согласие на обработку файлов «cookie».

5. Способы обработки: сбор, запись, систематизация, накопление, хранение, уточнение (обновление, изменение), извлечение, использование, передача (доступ, предоставление), блокирование, удаление, уничтожение персональных данных.

6. Срок обработки и хранения: до получения от Субъекта персональных данных требования о прекращении обработки/отзыва согласия.

7. Способ отзыва: заявление об отзыве в письменном виде путём его направления на адрес электронной почты Оператора: info@rcsi.science или путем письменного обращения по юридическому адресу: 119991, г. Москва, Ленинский просп., д.32А

8. Субъект персональных данных вправе запретить своему оборудованию прием этих данных или ограничить прием этих данных. При отказе от получения таких данных или при ограничении приема данных некоторые функции Сайта могут работать некорректно. Субъект персональных данных обязуется сам настроить свое оборудование таким способом, чтобы оно обеспечивало адекватный его желаниям режим работы и уровень защиты данных файлов «cookie», Оператор не предоставляет технологических и правовых консультаций на темы подобного характера.

9. Порядок уничтожения персональных данных при достижении цели их обработки или при наступлении иных законных оснований определяется Оператором в соответствии с законодательством Российской Федерации.

10. Я согласен/согласна квалифицировать в качестве своей простой электронной подписи под настоящим Согласием и под Политикой обработки персональных данных выполнение мною следующего действия на сайте: https://journals.rcsi.science/ нажатие мною на интерфейсе с текстом: «Сайт использует сервис «Яндекс.Метрика» (который использует файлы «cookie») на элемент с текстом «Принять и продолжить».