Estimation of the geomagnetically induced current magnitude in the Central Power District of the Kamchatka power system
- Authors: Gvozdarev A.Y.1, Sivokon V.P.1, Khomutov S.Y.1
-
Affiliations:
- Institute of Cosmophysical Research and Radio Wave Propagation, FEB RAS
- Issue: Vol 49, No 4 (2024)
- Pages: 185-202
- Section: Physics
- URL: https://ogarev-online.ru/2079-6641/article/view/278340
- DOI: https://doi.org/10.26117/2079-6641-2024-49-4-185-202
- ID: 278340
Cite item
Full Text
Abstract
A simulation of the geoelectric field, voltages on power transmission lines and geomagnetic-induced currents (GIC) in the power lines of the Central Power District of the Kamchatka Region power system during an extreme magnetic storm was performed. The calculation uses a one-dimensional model of the lithosphere electrical conductivity distribution at Kamchatka with an average electrical resistivity of about 100 Ohmsm. The length and orientation of power lines, the linear resistance of their wires, the resistance and number of transformers at terminal substations, as well as the GIC distribution effect between neighboring closely located substations in the agglomeration «Petropavlovsk-Kamachsky — Elizovo» are taken into account. It is shown that the GIC amplitude can reach 1 A at the power lines «Mutnovskaya geothermal power plant — electrical substation Avacha» and «Elizovo — Milkovo» which are oriented along the meridian. On a 110 kV power line «Apacha — Yelizovo», which is oriented in the latitudinal direction, a GIC value of about 1.5 A can be observed. An assessment of the GIС effect on power transformers at the Apacha electrical substation showed that the intensity of the magnetic field generated by GIC in the transformer core does not exceed 24 % of the intensity of the working magnetic field. Such an effect is not dangerous for the transformer, but it can cause the generation of even harmonics.
Full Text
Введение
Геомагнитно-индуцированные токи (ГИТ) это потенциально опасное явление космической погоды, действующее на электрические сети во время сильных магнитных бурь. В результате быстрых вариаций геомагнитного поля (например, во время внезапных начал магнитных бурь, SSC) в земной коре генерируется геоэлектрическое поле, которое создает напряжение между точками заземления линий электропередач (ЛЭП). Величина этого поля зависит от скорости изменения геомагнитного поля и удельного сопротивления подстилающих пород. Протекая по первичным обмоткам силовых трансформаторов, ГИТ вызывают размагничивание их сердечников, увеличение реактивной мощности и потерь холостого хода, перегрев трансформаторов, повышение уровня чётных гармоник в сети, зачастую провоцируя ложное срабатывание автоматики [1]. Описаны случаи выхода из строя силовых трансформаторов и развития сетевых аварий вследствие действия ГИТ [2].
В последние годы большое количество работ посвящено исследованию ГИТ в средних и низких широтах [3]. Системы регистрации ГИТ созданы в США, Новой Зеландии[4], ЮАР[2], Бразилии[5], Великобритании[6], Австрии [7], Китае [8], Японии [9], Испании[10] и Мексике [11]. Разработаны системы моделирования ГИТ в энергосетях многих государств, находящихся в средних и низких широтах [5],[12], [6], [10],[11], [13], [14]. При этом отмечается, что SSC способны создавать потенциально опасные ГИТ на любых широтах, эффект от которых на компоненты электрической сети может накапливаться. Например, описаны случаи выхода из строя силовых трансформаторов в ЮАР в результате серии магнитных бурь в 2003 г. [2].
В России регистрация ГИТ ведётся лишь на Кольском полуострове [15]. Единственная система измерения ГИТ в России принадлежит Полярному геофизическому институту и Центру энергетики Севера, которые с 2010 г. осуществляют мониторинг ГИТ в сетях «Колэнерго» в условиях высоких геомагнитных широт. За это время накоплен значительный материал, описаны статистические свойства распределений ГИТ, построены регрессионные модели связи ГИТ с АЕ-индексом и скоростью изменения магнитной индукции, оценены экстремальные значения ГИТ и описаны условия их формирования. Согласно результатам этих работ, кроме высоких значений тока аврорального электроджета, важное значение для генерации ГИТ играют также микропульсации классов Рс5/Pi3, в том числе и в невозмущенной обстановке [16].
В среднеширотных регионах России подобные исследования находятся на начальной стадии. В частности, было показано, что существуют признаки наводки ГИТ в энергосистемах Камчатки [17] и Алтая [18]. В этой ситуации особую актуальность приобретают работы по моделированию ГИТ, т. к. они могут помочь определить те элементы энергосистемы, которые наиболее подвержены воздействию ГИТ, теоретически. Показателен пример Мексики[11], где сначала было проведено моделирование ГИТ на территории всей страны, а затем на четырёх наиболее подверженных ГИТ подстанциях были установлены системы их регистрации.
Данная работа посвящена оценке ГИТ в Центральном энергорайоне энергосистемы Камчатского края во время наиболее сильной магнитной бури за последние 20 лет 10-11 мая 2024 г. по данным Геофизической обсерватории «Паратунка» ИКИР ДВО РАН.
Методика расчётов
На основе [19] была развита модель для расчёта геомагнитно-индуцированных токов в энергосети Камчатского края (по аналогии с моделью для Алтая [20]). Входными данными для модели являются результаты измерений вариаций геомагнитного поля на Геофизической обсерватории «Паратунка». По ним рассчитывались фурье-спектры восточной Bx(f) и северной составляющих By(f) (здесь f частота вариаций). Умножение этих спектров на передаточную функцию K(f) позволяет определить спектры компонент геоэлектрического поля
(1)
где Ex(f),Ey(f) - фурье-спектры восточной и северной компонент геоэлектрического поля, соответственно. В модели однородной проводимости
(2)
где ρ удельное сопротивление земной коры, μ0 = 4π ・ 10−7 Гн/м магнитная постоянная. Обратное преобразование Фурье позволяет рассчитать ряды значений компонент геоэлектрического поля Ex(t),Ey(t) в различные моменты времени t. По ним рассчитывается ряд значений разности потенциалов Uij между точками заземления ЛЭП с координатами (xi,yi), (xj,yj)
(3)
Геомагнитно-индуцированный ток в ЛЭП рассчитывается по закону Ома: Iij = Uij/Rij. Сопротивление Rij включает в себя сопротивление ЛЭП, первичных обмоток концевых трансформаторов и их заземлений. Ток в заземляющих нейтралях трансформаторах на подстанциях, к которым подходит более одной ЛЭП, определяется как сумма токов от каждой ЛЭП.
Центральный энергорайон энергосистемы Камчатского края
Центральный энергорайон энергосистемы Камчатского края объединяет в себе генерирующие мощности, ЛЭП, подстанции и сети низкого напряжения Петропавловска-Камчатского, Елизовского, Усть-Большерецкого и Мильковского районов. Генерация энергии осуществляется на ТЭЦ-1 (установленная мощность 204 МВт), ТЭЦ-2 (160 МВт), Мутновской (50 МВт) и Верхнемутновской (12 МВт) геотермальных электростанциях, каскаде Толмачёвских ГЭС (45.4 МВт). Систему высоковольтной электропередачи условно можно разделить на «длинные» ЛЭП, соединяющие подстанции «Елизово» и «Авача» с удалёнными частями энергорайона (они представлены ЛЭП 220 кВ либо выполнены в габаритах 220 кВ проводом АС-240/56 с погонным сопротивлением 0.12 Ом/км) и ЛЭП 110 кВ небольшой длины, соединяющие подстанции в Елизово, Петропавловске и Вилючинске.
Характеристики ЛЭП согласно табл. 2.9.1 из [21] приведены в табл. 1.
Таблица 1
Характеристики линий электропередачи 110 и 220 кВ [110 and 220 kV power lines characteristics]
ЛЭП | Длина L, км | Провод | R, Ом |
Мутновская ГеоЭС Авача | 77.7 | АС-240/56 | 3.10 |
Елизово Развилка | 94.2 | АС-240/56 | 3.76 |
Развилка Мильково | 207.158 | АС-240/56 | 8.27 |
Развилка Апача | 49.611 | АС 240/56 | 1.98 |
Апача Кавалерская | 34.84 | АС-240/56 | 1.39 |
Толмачевская ГЭС-2 Апача | 59.15 | АС-150/24 | 3.90 |
ТЭЦ-2 Елизово | 39.286 | АС-150/24 | 2.59 |
ТЭЦ-2 КСИ | 19.695 | АС-150/24 | 1.30 |
ТЭЦ-2 Завойко | 11.07 | АС-150/24 | 0.73 |
ТЭЦ-2 ТЭЦ-1 | 7.91 | АС-150/24 | 0.52 |
ТЭЦ-1 Завойко | 7.5 | АС-120/19 | 0.62 |
ТЭЦ-1 Зеркальная | 10.11 | АС-150/24 | 0.67 |
ТЭЦ-1 Океан | 3.39 | АС-150/24 | 0.22 |
Океан Центральная | 3.781 | АС-150/24 | 0.25 |
Центральная Зеркальная | 3.156 | АС-150/24 | 0.21 |
Зеркальная Дачная | 5.235 | АС-150/24 | 0.35 |
КСИ Дачная | 6.647 | АС-150/24 | 0.44 |
КСИ Елизово 1 | 24.234 | АС-150/24 | 1.60 |
КСИ Елизово 2 | 23.88 | АС-150/24 | 1.58 |
Елизово Чайка-1 | 37.538 | AААС Z177 | 2.25 |
Елизово Чайка-2 | 37.537 | AААС Z177 | 2.25 |
Елизово Авача 1 | 7.86 | АС-150/34 | 0.54 |
Елизово Авача 2 | 7.76 | АС-150/24 | 0.51 |
Авача Зеленовские озерки | 17.539 | АС-120/19 | 2.25 |
Авача Приморская 1 | 22.55 | АС-150/24 | 1.49 |
Авача Приморская 2 | 22.93 | АС-150/24 | 1.51 |
Также там представлены расчётные сопротивления для ЛЭП (три фазы, соединённых параллельно) согласно формуле R = ρLL/3, где ρL - погонное сопротивление проводов ЛЭП. Согласно данным с https://powersystem.info (для АС-150/24 ρL = 0.198 Ом/км, для АС-120/19 ρL = 0.249 Ом/км), для провода AААС Z177 принималось значение ρL = 0.18 Ом/км [22]. При расчётах сопротивления ЛЭП «Авача Зеленовские озерки» было учтёно двухцепное построение линии. Так как на трассах «КСИ Елизово», «Елизово Авача», «Авача Приморская», «Елизово Чайка», «Приморская Крашенинникова» проложено по две ЛЭП параллельно, то сопротивление на них получилось 0.79, 0.26, 0.75, 1.13, 0.53 Ом соответственно.
Информация о силовых трансформаторах 110 и 220 кВ на подстанциях Центрального энергорайона согласно табл. 2.9.2 и табл. 6.2.2 из [21] приведена в табл. 2.
Таблица 2
Характеристики трансформаторов 220 и 110 кВ на подстанциях Центрального энергорайона [Central Power District 110 and 220 kV power transformer characteristics]
Подстанция | Трансформатор | RT, Ом | RES, Ом |
Мутновская ГеоЭС | ТРДН-40000/230-У1 (2 шт) | 5.6 | 1.47 |
Авача | АТДЦТН-63000/220ВМУ1 | 1.4 | 1.09 |
| ТДТН-40000/110У1(откл) | 0.8 | 0.63 |
Елизово | TДTH-25000/110/35/10 (3 шт) | 1.5 | 0.75 |
Мильково | ТДТН-16000/110/35/10 | 2.6 | 2.43 |
Апача | ТДН-10000/110 У-1 | 7.95 | 3.33 |
Кавалерская | ТДТН-40000/110-У1 | 0.8 | 2.13 |
КСИ | ТРДН-25000/110/10 (2 шт) | 2.54 | 0.79 |
| ТРДН-40000/110-УХЛ | 1.4 |
|
Дачная | ТДН-16000/110/10 (2 шт) | 4.38 | 0.87 |
| ТРДН-25000/110/10 | 2.54 |
|
Зеркальная | ТРДН-40000/110 | 1.4 | 1.06 |
| ТРНДЦН-40000/25000/110/6 | 1.4 |
|
Центральная | ТДН-10000/110/6 | 7.95 | 1.50 |
| ТДН-16000/110/6 | 4.38 |
|
Океан | ТДТН-10000/110/6 (2 шт) | 5 | 1.17 |
Завойко | ТДН-10000/110 У1 | 7.95 | 1.66 |
| ТМНС-10000/110-ХЛ1 | 7.95 |
|
Зеленовские озерки | ТДН-40000/110/10 | 1.46 | 2.24 |
Сосновка | ТМН-6300/110/6 | 14.7 | 1.07 |
| ТДТН-10000/110/35/6 (2 шт) | 5 |
|
Советская | ТДТН-10000/110/6 (2 шт) | 5 | 1.42 |
Приморская | ТДТН-16000/110/6 (2 шт) | 2.6 | 1.22 |
Крашенинникова | ТДТН-25000/110/6 (2 шт) | 1.5 | 1.13 |
Также в таблице показаны сопротивление трансформатора на фазу RT согласно данным с https://powersystem.info и сопротивление подстанции протеканию ГИТ RES. При расчёте последнего считалось, что все трансформаторы заземлены, а внешние обмотки соединены «звездой», сопротивление заземления принималось равным 2 Ом, сопротивление внешней обмотки (на фазу) RT/2, а сопротивление трансформатора протеканию ГИТ RT/6. Информация из табл. 6.2.2 из [21] использовалась для того, чтобы определить, какие трансформаторы отключены от сети. Для ТЭЦ-1 считалось, что к распределительному устройству подключены три блочных трансформатора номинальной мощностью 60, 80, 80 МВА, а для ТЭЦ-2 два блочных трансформатора мощностью по 80 МВА и подбиралось сопротивление RT для их аналогов из https://powersystem.info. Заметим, что в сети 110 кВ обычно далеко не все силовые трансформаторы заземляются, однако в доступных нам источниках нет информации о том, какие из них заземлены, а какие нет. Поэтому в выполненных далее расчётах сопротивление сети протеканию ГИТ занижено (за счёт включения дополнительных стоков в землю), следовательно расчётные значения ГИТ надо рассматривать как их верхнюю оценку.
С точки зрения генерации ГИТ «короткие» ЛЭП и подстанции, которые они соединяют, можно объединить в одну точку заземления, т. к. ток, генерирующийся на «длинных» ЛЭП, будет распределяться между ними, снижая эффект воздействия на элементы энергосистемы, а собственные ЭДС, генерируемые на относительно небольших расстояниях, будут невелики.
Для оценки суммарного сопротивления этой части энергосистемы была построена её схема в онлайн-приложении http://www.falstad.com/circuit/ и получены значения доли ГИТ, проходящего через подстанцию, при подаче ГИТ через ПС «Авача» и ПС «Елизово».
Коэффициенты деления тока для обоих вариантов для близко расположенных подстанций показаны в табл. 3 (для остальных они составляют менее 0.05). Как видно из данных в таблице, через подстанцию при обоих вариантах затекания ГИТ проходит не более его третьей части. Поэтому эффекты ГИТ будут сильнее проявлены на концах длинных ЛЭП: Мутновской ГеоЭС, ПС «Мильково», где ГИТ не делится между несколькими подстанциями.
Таблица 3
Доля ГИТ, проходящая через подстанцию, при его протекании через ЛЭП «Мутновская Авача» IES/I1 или «Развилка Елизово» IES/I2 [The poportion of substation GIC to source GIC in power lines "Mutnovskaya Avacha" IES/I1 or "Razvilka Elizovo" IES/I2]
Подстанция | IES/I1 | IES/I2 |
Авача | 0.235 | 0.230 |
Елизово | 0.210 | 0.334 |
Сосновка | 0.172 | 0.168 |
КСИ | 0.063 | 0.061 |
Советская | 0.058 | 0.056 |
Зеленовские озерки | 0.057 | 0.056 |
О выборе передаточной функции
Модель однородной проводимости, упоминавшаяся выше, не учитывает особенностей геолого-геофизического строения литосферы на территории Камчатки. Отмечается, что применение такой модели приводит к ошибкам в расчётах во время быстрых геомагнитных вариаций, таких как SSC [11]. Как известно, распределение удельного электрического сопротивления (УЭС) земной коры на Камчатке довольно неоднородно. В [23] обсуждаются результаты построения трёхмерной геоэлектрической модели для Южной Камчатки. В целом до глубины около 50 км наблюдается рост УЭС примерно от 100 Ом м до 3000 Ом м. На этом фоне выделяются различные аномалии проводимости, связанные с разломами, зонами сейсмичности, вулканическими камерами, астеносферными выступами.
Для глубинных разломов (например, для Вилючинского) характерно сопротивление 300500 Ом м. Проводящий Петропавловский разлом под Начикинским грабеном аппроксимируется блоком шириной 10 км и мощностью 30 км с меньшим на порядок сопротивлением ρ = 25 Ом м. На глубинах 6080 км глубинные разломы упираются в проводящий астеносферный выступ с УЭС 10 Ом м. Выделяются также аномалии проводимости, связанные с вулканическими камерами и флюидной активностью. В Южно-Камчатском прогибе на глубине 1315 км выделены проводники с ρ =510 Ом м, связанные с вулканизмом Горелого и Мутновского вулканов. Срединный Камчатский выступ на глубине 80 км подстилается низкоомным блоком с ρ = 10 Ом м, а под Петропавловским разломом на глубине 40 км выделен проводящий блок с ρ = 40 Ом м. Также необходимо учитывать, что до глубин в первые километры в динамику геоэлектрического поля может давать вклад океан, который имеет УЭС 0.3 Ом м.
Однако параметры трёхмерной модели, опубликованной в [23], к сожалению, нам недоступны. В качестве первого приближения был проведен расчёт в приближении одномерной модели распределения УЭС. Для расчёта передаточной функции использовалась информация о удельном электрическом сопротивлении подстилающих пород из атласа, описанного в [24].
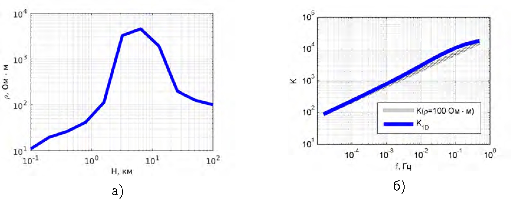
Распределение УЭС на трёх различных глубинах на исследуемой территории показано на рис. 1. Как видно из распределения на глубине 3.26.4 км, в данном атласе кристаллические породы описываются очень обобщённо, на уровне различий континентальной и океанической коры, небольшой участок которой находится в правом нижнем углу рис. 1в. Несмотря на заметные латеральные различия УЭС, хорошо видимые на рис. 1а и 1б, было решено для первых оценок ограничиться одномерной моделью. Рассчитывались средние УЭС в прямоугольнике, охватывающем ЛЭП (показаны на рис. 1) на глубинах 0-0.1; 0.1-0.2; 0.2 0.4; 0.4 0.8; 0.8 1.6; 1.6 3.2; 3.2 6.4; 6.4 12.8; 12.8 25.6; 25.6 51.2; 51.2 100 км. Полученный глубинный профиль УЭС показан на рис. 2а. Относительно низкие УЭС до 1.6 км отражают наличие чехла осадочных пород (который выклинивается в горной местности), а понижение УЭС глубже 12 км вызвано снижением сопротивления кристаллических пород при повышении температуры с глубиной.
Рис. 1. Распределение логарифма УЭС земной коры на охваченной моделированием территории на разных глубинах: а) 0.1-0.2 км, б) 0.81.6 км, в) 3.2-6.4 км. Маркерами показано расположение основных подстанций
[Figure 1. The rocks resistivity logarithm distribution at different depth: а) 0.1-0.2 km, б) 0.81.6 km, в) 3.2-6.4 km. Markers show basic substation location]
Согласно [19] расчёт передаточной функции при одномерной модели распределения УЭС производится на основе реккурентного соотношения, связывающего передаточную функцию n-го слоя толщиной ln и УЭС ρn с передаточной функцией более глубоко расположенного слоя
(4)
где , .
Передаточная функция нижнего слоя, считающегося однородным и полубесконечным, определяется формулой (2). В результате пересчёта, начинающегося с нижнего слоя, был получен набор передаточных функций для каждого слоя. В дальнейшем для расчётов геоэлектрического слоя в формуле (1) использовалась передаточная функция приповерхностного слоя . Зависимость её модуля от частоты показана на рис. 2б. Также там показана передаточная функция для самого глубокого слоя, среднее УЭС которого равно 100 Ом·м.
Рис. 2. а) Зависимость усредненного УЭС от глубины, б) зависимость передаточной функции от частоты, сплошной кривой показана зависимость для передаточной функции верхнего слоя, пунктирной — для наиболее глубокого с УЭС 100 Ом м
[Figure 2. a) The dependence of the average electrical resistivity on the depth, b) the dependence of the transfer function on frequency, a solid curve shows the dependence for the transfer function of the upper layer, dotted — for the deepest with resistivity of 100 Ohm m]
Результаты расчётов
Был произведён расчёт геоэлектрического поля, напряжений на ЛЭП Центрального энергорайона Камчатского края и ГИТ в них во время бури 1011 мая 2024 г., которая была самой сильной за последние 20 лет (планетарный индекс геомагнитной активности достиг значения Kp=9).
На рис. 3 показаны вариации северной Н и восточной D составляющих ГМП 11 мая 2024 г., их спектр, а также расчётный спектр геоэлектрического поля и вариации его компонент. Сравнение показывает, что наклон спектра ГМП гораздо больше, т. к. при умножении на передаточную функцию, размах значений которой составляет два порядка (см. рис. 2б), снижается размах значений спектральной плотности мощности: для геоэлектрического поля он составляет три порядка, в то время как для геомагнитного пять.
Рис. 3. Вариации горизонтально-ориентированных компонент ГМП 11 мая 2024 г. по данным Геофизической обсерватории «Паратунка» (верхняя левая панель), их спектры (верхняя правая панель) и вариации компонент расчётного геоэлектрического поля (нижняя левая панель) и их спектры (нижняя правая панель)
[Figure 3. Variations of the horizontally oriented components of the geomagnetical field on May 11, 2024 according to the Geophysical observatory «Paratunka» (upper left panel), their spectra (upper right panel) and variations of the components of the calculated geoelectric field (lower left panel) and their spectra (lower right panel)]
Из рис. 3 видно, что размах вариаций обеих горизонтально ориентированных компонент ГМП превысил 600 нТл, а напряжённость геоэлектрического поля достигала 90 мВ/км. Отметим, что это относительно невысокие значения в авроральной зоне могут наблюдаться поля напряжённостью в единицы и даже десятки В/км. Тем не менее, в результате действия этого поля напряжение на ЛЭП 110 кВ «Апача Елизово» превысило 8 В (см. рис. 4), а на ЛЭП 220 кВ «Мутновская ГеоЭС ПС Авача» 5 В.
Рис. 4. Вариации компонент ГМП (верхняя панель) и расчётных напряжений на ЛЭП (нижняя панель) 11 мая 2024 г.
[Figure 4. Variations of geomagnetical field components (upper panel) and calculated voltages at the power lines (lower panel) on May 11, 2024]
Из рис. 4 видно, что вариации напряжения на широтно-ориентированной ЛЭП «Апача Елизово» связаны с вариациями северной Н-компоненты ГМП, а вариации напряжения на сориентированной вдоль меридиана ЛЭП «Мутновская ГеоЭС ПС Авача» определяются в основном скоростью изменения восточной D-компоненты ГМП. Подобную ориентацию, но большую длину (301 км) имеет ЛЭП 110 кВ «Елизово Мильково», напряжение на ней около 12:36 UT достигало 14 В. Это повышение напряжения возникло при росте D-составляющей ГМП во время интенсивного бухтообразного возмущения, предположительно связанного с авроральной активностью.
При напряжении на ЛЭП в единицы и десятки вольт и их собственном сопротивлении в единицы десятки Ом можно ожидать протекания ГИТ величиной порядка 1 А. Действитетельно, расчёты ГИТ в ЛЭП «Мутновская геотермальная электростанция ПС «Авача» показали наличие таких токов. Результаты расчётов приведены на рис. 5.
Рис. 5. Вариации расчётного ГИТ в ЛЭП 220 кВ «Мутновская ГеоЭС ПС «Авача», на подстанциях 110 кВ «Мильково» и «Апача» 11 мая 2024 г.
[Figure 5. Variations of calculated geomagnetically induced current in 220 kV «Mutnovskaya geothermal power plant - Avacha substation» power line and in Milkovo and Apacha 110 kV power substation on May 11, 2024]
Из рис.5 видно, что ГИТ в ЛЭП 220 кВ «Мутновская ГеоЭС ПС «Авача» и ЛЭП 110 кВ «Елизово Мильково», ориентированных вдоль меридиана, принимает примерно одинаковые значения, их максимум составляет около 1 А. Это связано с более высоким сопротивлением ЛЭП и концевых трансформаторов на ПС «Мильково». Выше уже отмечалось, что на ГИТ в этих ЛЭП влияют в основном вариации D-компоненты, т.к. ЛЭП сориентированы вдоль меридиана.
В широтно-ориентированной ЛЭП 110 кВ «Апача Елизово» (длина 153.8 км) вариации ГИТ определяются скоростью изменения H-составляющей ГМП, максимальная величина ГИТ в линии 1.5 А наблюдалась около 07:49 UT на фоне быстрого падения поля при бухтообразном возмущении. В заземленной нейтрали силового трансформатора на ПС «Апача» ГИТ частично компенсировался ГИТ в линии «Апача Кавалеровская» и достиг в это время значения 1.3 А.
Для оценки степени воздействия ГИТ на концевые трансформаторы ЛЭП были рассчитаны значения коэффициента намагничивания сердечника (core magnetization coefficient) [25], который равен отношению напряженности поля H, создаваемого в сердечнике ГИТ, к полю Hx, создаваемым током холостого хода, и для трёхфазных трёхстержневых трансформаторов определяется отношением ГИТ I01 к току холостого хода Ix и коэффициентом асимметрии фаз KA
(5)
Например, для фазы B . Расчёты показали, что при , для трансформатора ТДТН-16000/110, находящегося на ПС «Мильково», коэффициент намагничивания сердечника принимает значение CMC=0.08, что говорит о заметном, но не критическом влиянии ГИТ на силовой трансформатор. Скорее всего, в результате действия ГИТ наблюдалось увеличение уровня чётных гармоник в ЛЭП, но увеличение реактивной мощности вследствие подмагничивания сердечника было незначительным. Ток 1.3 А на ПС «Апача» при токе холостого хода силового трансформатора ТДН-10000/110 создаёт более сильный эффект: СМС=0.24, который всё же недостаточен для заметного увеличения реактивной мощности. Результаты расчётов СМС при для наиболее подверженных ГИТ подстанций приведены в табл.4. Как видим, эффект действия более значителен на концевых подстанциях, особенно, если мощность трансформатора относительно невелика, и соответственно, не слишком велик ток холостого хода. В случае параллельной работы нескольких трансформаторов, как на Мутновской ГеоЭС и ПС «Елизово», ГИТ делится между ними, и эффект кратно ослабевает. Наконец, ГИТ, приходящий в Елизово, делится между множеством близко расположенных подстанций, и это также снижает эффект его действия.
Таблица 4
Оценка воздействия ГИТ на силовые трансформаторы при КА=0.2 [GIC effect on transformer estimation]
Подстанция | Трансформатор | , А | ГИТ, А | CMC |
Апача | ТДН-10000/110 У-1 | 0.37 | 1.310 | 0.24 |
Мильково | ТДТН-16000/110 | 0.84 | 0.961 | 0.08 |
Мутновская ГеоЭС | ТРДН-40000/220 (2) | 1.10 | 1.121 | 0.03 |
Елизово | ТДТН-25000/110 (3) | 0.92 | 0.475 | 0.01 |
Заключение
Произведено моделирование геоэлектрического поля, напряжений на линиях электропередачи ЛЭП и геомагнитно-индуцированных токов (ГИТ) в ЛЭП Центрального энергорайона энергосистемы Камчатского края во время экстремальной магнитной бури 10-11 мая 2024 г. При расчёте использована одномерная модель распределения удельного электрического сопротивления литосферы на территории Камчатки со средним удельным электрическим сопротивлением около 100 Ом м. При расчёте электрической схемы энергорайона учтены длины и ориентации ЛЭП, сопротивления первичных обмоток трансформаторов на подстанциях, их количество, а также эффект растекания ГИТ по близко расположенным подстанциям.
Показано, что амплитуда ГИТ во время бури могла достигать 1 А в ЛЭП 220 кВ «Мутновская ГеоЭС ПС Авача» и ЛЭП 110 кВ «Елизово Мильково», ориентированных вдоль меридиана, и 1.5 А в ЛЭП 110 кВ «Апача Елизово», ориентированной в широтном направлении. Оценка воздействия ГИТ на силовые трансформаторы показала, что наибольший эффект ожидается на ПС «Апача»: напряжённость генерируемого ГИТ в магнитопроводе магнитного поля составила 24 % от напряжённости рабочего магнитного поля. Такое воздействие неопасно для трансформатора, но может вызывать генерацию чётных гармоник.
Благодарности Авторы благодарны инженеру лаборатории робототехники Горно-Алтайского университета Учайкину Е.О. за обсуждение материалов статьи и заместителю директора филиала «Камчатскэнерго» «Центральные энергетические сети» Малышеву Д.О. за полезные замечания по методике расчётов.
Аббревиатуры
ГИТ | геомагнитно-индуцированные токи |
ГМП | геомагнитное поле |
ЛЭП | линия электропередачи |
ПС | подстанция |
SSC | внезапное начало магнитной бури |
About the authors
Alexey Y. Gvozdarev
Institute of Cosmophysical Research and Radio Wave Propagation, FEB RAS
Author for correspondence.
Email: gvozdarev@ikir.ru
ORCID iD: 0000-0002-0196-4712
Ph. D. (Tech.), Senior Researcher
Russian Federation, 684034 Kamchatka region, Elizovskiy district, Paratunka, Mirnaya str., 7Vladimir P. Sivokon
Institute of Cosmophysical Research and Radio Wave Propagation, FEB RAS
Email: gvozdarev@ikir.ru
ORCID iD: 0000-0002-3661-7964
D. Sci. (Tech.), chief science officer
Russian Federation, 684034 Kamchatka region, Elizovskiy district, Paratunka, Mirnaya str., 7Sergey Y. Khomutov
Institute of Cosmophysical Research and Radio Wave Propagation, FEB RAS
Email: gvozdarev@ikir.ru
ORCID iD: 0000-0002-6231-7041
Ph. D. (Phys. & Math.), Head of Geophysical Observatory Paratunka
Russian Federation, 684034 Kamchatka region, Elizovskiy district, Paratunka, Mirnaya str., 7References
- Pilipenko V. A. Space weather impact on ground-based technological systems, Solar-Terrestrial Physics, 2021, vol. 7, no. 3, pp. 68-104. doi: 10.12737/stp-73202106
- Gaunt C. T., Coetzee G. Transformer failures in regions incorrectly considered to have low GIC-risk. 2007 IEEE Lausanne Power Tech, Lausanne, Switzerland, 2007, pp. 807-812. doi: 10.1109/PCT.2007.4538419
- Gil A., et. al. Review of geomagnetically induced current proxies in mid-latitude European countries, Energies, 2023, vol. 16, pp. 7406. doi: 10.3390/en16217406
- Mac Manus D. H., Rodger C. J., Dalzell M., Thomson A. W.P., Clilverd M. A., Petersen T., et al. Long-term geomagnetically induced current observations in New Zealand: Earth return corrections and geomagnetic field driver, Space Weather, 2017 , vol. 15 , no. 8, pp. 1020–1038. DOI: 10.1002/ 2017SW001635
- Barbosa C. S., Hartmann G. A., Pinheiro K. J. Numerical modeling of geomagnetically induced currents in a Brazilian transmission line, Advances in Space Research, 2015, vol. 55, no. 4, pp. 1168–1179. doi: 10.1016/j.asr.2014.11.008
- H‥ubert J., et. al. Validating a UK geomagnetically induced current model using differential magnetometer measurements, Space Weather, 2024, vol. 22, no. 2, e2023SW003769. doi: 10.1029/2023SW003769
- Albert D., et al. Analysis of long-term GIC measurements in transformers in Austria, Space Weather, 2022, vol. 20, no. 1, e2021SW002912. doi: 10.1029/2021SW002912
- Zhang J. J., et al. GIC due to storm sudden commencement in low-latitude high-voltage power network in China: Observation and simulation, Space Weather, 2015, vol. 13, p. 643–655. doi: 10.1002/2015SW001263
- Watari S., et al. Measurement of geomagnetically induced currents (GIC) around Tokyo, Earth, Planets and Space, 2021, vol. 73, 102. doi: 10.1186/s40623-021-01422-3
- Marsal S., Torta J. M., Curto J. J., Canillas-Pérez V., Cid O., Ibañez M., Marcuello A.Validating GIC modeling in the Spanish power grid by differential magnetometry, Space Weather, 2021. vol. 19, no. 12 doi: 10.1029/2021SW002905
- Caraballo R., Gonz’alez-Esparza J. A., Pacheco C. R., Corona-Romero P. Improved model for GIC calculation in the Mexican power grid, Space Weather, 2023 , vol. 21 , no.10, e2022SW003202 doi: 10.1029/2022SW003202R
- Espinosa K. V., Padilha A. L., Alves L. R., Schultz A., Kelbert A. Estimating geomagnetically induced currents in southern Brazil using 3-D Earth resistivity model, Space Weather, 2023 , vol. 21, no. 4, e2022SW003166 doi: 10.1029/2022SW003166
- Matandirotya E., Cilliers P. J., Van Zyl R. R. Modeling geomagnetically induced currents in the South African power transmission network using the finite element method , Space Weather, 2015, vol. 13, pp.185–195 doi: 10.1002/2014SW001135.
- Švanda M., Smičková A., Výbošťoková T.,Modelling of geomagnetically induced currents in the Czech transmission grid, Earth Planets and Space, 2021. vol. 73, no. 1, 229 doi: 10.1186/s40623-021-01555-5
- Selivanov V. N., Aksenovich T. V., Bilin V. А., Kolobov V. V., Sakharov Ya. A. Database of geomagnetically induced current in the main transmission line «Northern Transit», Solar-Terresrial Physics, 2023, vol. 9 , no. 3, pp. 100-110 doi: 10.12737/szf-93202311 (In Russian).
- Sakharov Ya. A., Yagova N. V., Bilin V. A., Selivanov V. N., Aksenovich T. V., Pilipenko V. A. Parameters influencing the efficiency of generation of geomagnetically induced currents by nonstorm Pc5-6/Pi3 geomagnetic pulsations, Bulletin of the Russian Academy of Sciences: Physics, 2024, vol. 88, no. 3, pp. 289-295. doi: 10.1134/S1062873823705421.
- Sivokon V.P. A New method for detecting geomagnetically induced currents, Russian Electrical Engineering , 2021, vol. 92, no. 11, pp. 685–690. doi: 10.3103/S1068371221110146
- Uchaikin E. O., Gvozdarev A. Y. Organization of monitoring of even harmonics amplitudes in the electricity networks of the Altai Republic as an indicator of space weather, In: 2023 IEEE XVI International scientific and technical conference “Actual problems of electronic instrument engineering” (APEIE), Novosibirsk, Russian Federation, 2023, pp. 450-454. doi: 10.1109/APEIE59731.2023.10347597
- Boteler D. H., Pirjola R. J. Numerical calculation of geoelectric fields that affect critical infrastructure, Int. jour. of geosci., 2019, vol. 10, pp. 930–949 doi: 10.4236/ijg.2019.1010053
- Gvozdarev A.Yu., et. al. Estimation of geomagnetically induced currents in the Altai republic power system according to the Baygazan magnetic station data, Bul. KRASEC. Phys. & math. sci. 2023, vol. 45 (4), 190-200. doi: 10.26117/2079-6641-2023-45-4-190-200
- Skhema i programma razvitiya energetiki Kamchatskogo kraya na 2023–2027 gody [Scheme and program of energy development of the Kamchatka Territory for 2023-2027]. Petropavlovsk-Kamchatskiy, 2023, 432 p. (In Russian https://kamgov.ru/minzkh/shema-i-programma-razvitia-energetiki-kamcatskogo-kraa).
- Provoda dlya vysokovol’tnykh vozdushnykh liniy elektroperedachi kompaktirovannye tipa Z marki AAAC-Z [Wires for high-voltage overhead power transmission lines, compact type Z of the AAAC-Z brand]. Uglich, Lamifil, 2024, 67 p. (In Russian).
- Belyavksii V. V., Aleksanova E. D.Three-dimensional geoelectrical model of southern Kamchatka, Izvestiya, Physics of the Solid Earth, 2014, vol. 50, no. 1, pp. 9-31. doi: 10.1134/S1069351314010029
- Alekseev D., Kuvshinov A., Palshin N. Compilation of 3D global conductivity model of the Earth for space weather applications, Earth, Planets and Space, 2015, vol. 67, pp. 108. doi: 10.1186/s40623-015-0272-5
- Uchaikin E., Gvozdarev A., Kudryavtsev N. Assessment of the geomagnetically induced currents impact on the power transformers cores of the Altai Republic 110 kV power grid, In: E3S Web of Conferences, 2024, vol. 542, pp. 02002. doi: 10.1051/e3sconf/202454202002
Supplementary files







