Earthquake on December 26, 2023 in the Kirov-Kazhim aulacogen
- Authors: Noskova N.N.1
-
Affiliations:
- Institute of Geology named after academician N. P. Yushkin, Komi Science Centre of the Ural Branch of the Russian Academy of Sciences
- Issue: No 3 (2024): Науки о Земле
- Pages: 98-105
- Section: Articles
- URL: https://ogarev-online.ru/1994-5655/article/view/260432
- DOI: https://doi.org/10.19110/1994-5655-2024-3-98-105
- ID: 260432
Cite item
Full Text
Abstract
The accident was registered in the Zuevka District of the Kirov Region in the upper reaches of the Cheptsa River on December 26, 2023. The purpose of this work is to analyze seismic data obtained by regional seismic stations, calculate the main parameters of the seismic event happened on December 26, 2023, and determine the seismotectonic position of the epicentre. The seismic event was recorded by seismic stations of the Komi Republic, Bashkortostan, the Perm Territory, Arkhangelsk, Kirov, Orenburg, Samara, Saratov, and Sverdlovsk Regions. The event was analyzed using wave forms of 24 stations with epicentral distances from 81 to 1352 km, azimuthal environment – 18–359.5°, GAP=80°.
The instrumental processing gave the following parameters of the December 26 earthquake: coordinates 58.4843N, 50.794E, origin time t0=01:44:36 (UTC), depth h=4 km, energy class according to T.G. Rautian Kp=10.2/4, local magnitude ML=3.6/5, Ms=2.7/5, error ellipse: Azmajor=60°, Rminor=4.5 km, Rmajor=5.5 km. The earthquake is tectonic and belongs to the Kirov-Kazhim aulacogen of the Volga-Ural anteclise. The area is known for serious historical earthquakes; instrumental disturbances are also regularly recorded here. The previous activation of the aulacogen occurred in 2020, also in its central flank. The occurrence of seismic events indicates that it is a seismically active structure.
Full Text
Введение
Северо-восток Восточно-Европейской платформы (далее – ВЕП) относится к территориям со слабой и редкой сейсмичностью, тем не менее здесь периодически возникают землетрясения. Они происходят в основном в Кировской области и на юге Республики Коми. Данную площадь следует рассматривать как единую, поскольку административные границы условны, когда речь идет о сейсмичности. Причины в сейсмическом потенциале тектонические, а тектонические структуры могут занимать несколько административно-территориальных единиц. В тектоническом отношении Кировскую область и юг Республики Коми занимает единая структура – Кировско-Кажимский авлакоген, а также прилегающие к нему системы сводовых поднятий Волго-Уральской антеклизы Русской плиты. На данной территории возникают редкие и низкомагнитудные землетрясения. Возможная максимальная интенсивность сейсмических сотрясений в соответствии с картами ОСР-2016-А, В составляет 5 баллов, ОСР-2016-С – 6 баллов [1]. Платформенная сейсмичность представляет особый интерес, так как редкие проявления сейсмической активности делают каждое зарегистрированное землетрясение уникальным событием, которое детально изучается.
26 декабря 2023 г. произошло землетрясение в Кировской области (рис. 1). Его зарегистрировали сейсмические станции республик Коми и Башкортостан, Пермского края, Архангельской, Кировской, Оренбургской, Самарской, Саратовской, Свердловской областей. Цель настоящей работы – анализ сейсмических данных, полученных региональными сейсмостанциями, расчет основных параметров сейсмического события 26 декабря 2023 г. и определение сейсмотектонической позиции эпицентра. Определение сейсмического потенциала имеет научное и практическое значение. Исследования сейсмичности важны для решения задач сейсмического районирования ВЕП, оценки сейсмической опасности при строительстве и эксплуатации промышленных и гражданских объектов.
Рисунок 1. Эпицентр землетрясения 26 декабря 2023 г. (1) и конфигурация сейсмостанций, его зарегистрировавших (2)
Figure 1. Epicentre of the earthquake happened on December 26, 2023 (1) and configuration of seismic stations registered it (2)
Материалы и методы
Сейсмологический мониторинг Кировской области осуществляется сейсмической станцией «Киров» (KIRV) Службы спецконтроля Министерства обороны Российской Федерации, а также сейсмическими сетями соседних регионов – станциями Федерального исследовательского центра «Единая геофизическая служба РАН» (ФИЦ ЕГС РАН, г. Обнинск), Института геологии имени академика Н. П. Юшкина Коми НЦ УрО РАН (ИГ ФИЦ Коми НЦ УрО РАН, г. Сыктывкар), Горного института УрО РАН (ГИ УрО РАН, г. Пермь) и Архангельской сейсмической сети (ФИЦКИА УрО РАН).
На территории Республики Коми сейсмические наблюдения в 2023 г. проводились станциями ИГ ФИЦ Коми НЦ УрО РАН «Сыктывкар» (SYK) в г. Сыктывкаре, «Пожег» (PZG) в с. Пожег Усть-Куломского района и «Инта» в г. Инте. В конце года произошли изменения: 17 октября была открыта сейсмостанция «Воч» в с. Нижний Воч Усть-Куломского района, а 6 декабря закрыта станция «Пожег». Новая станция имеет следующие характеристики: код VOCH, координаты 61.2051N, 54.1615E, h=149 м, оборудование СМ-3КВ+UGRA.
Таким образом, в обработке сейсмического события 26 декабря 2023 г. использовались волновые формы (рис. 2) 24 станций: «Сыктывкар» (SYK), «Воч» (VOCH) ИГ ФИЦ Коми НЦ УрО РАН; «Верхнечусовские городки» (PR0R), «Добрянка» (PR2R), «Кунгур» (PR3R), «Власы» (PR41R), «Екимята» (PR6R), «Сараны» (PR7R) ГИ УрО РАН [2]; «Байтуган-1» (BT1), «Байтуган-2» (BT2), «Байтуган-3» (BT3) Отдела геоэкологии Оренбургского ФИЦ УрО РАН [3]; «Оренбург» (ORR) ФИЦ ЕГС РАН и Отдела геоэкологии Оренбургского ФИЦ УрО РАН; «Романово» (PR1R), «Североуральск» (SVUR), «Уфа» (BA1R), «Свердловск» (SVE), «Каменск-Уральский» (KAUR), «Катав-Ивановск» (KAIR) ФИЦ ЕГС РАН; «Лешуконское» (LSH), «Амдерма» (AMDE1) Архангельской сейсмической сети [4]; «Андозеро» (ADZ) ФИЦ ЕГС РАН и Архангельской сейсмической сети; «Киров» (KIRV), «Белогорное» (BELG) ФИЦ ЕГС РАН; «Арти» (ARTI) ФИЦ ЕГС РАН совместно с IMS CTBTO, доступ к которым осуществлялся через электронный ресурс корпорации EarthScope Consortium (США) [5]. Таким образом, эпицентральные расстояния составили от 81 (KIRV) до 1352 (AMDE1) км, азимутальное окружение – 18–359.5°, достаточно равномерное, максимальная азимутальная брешь GAP=80°. Конфигурация перечисленных сейсмостанций показана на рис. 1.
Рисунок 2. Фрагменты сейсмограмм вертикальной компоненты землетрясения 26 декабря 2023 г., расположенные по времени прихода первой фазы
Figure 2. Fragments of vertical component seismograms of the earthquake happened on December 26, 2023, arranged by the arrival time of the first phase
Определение параметров гипоцентра на сейсмических записях выполняли в программах WSG [6] методом минимизации невязок и NAS [7] методом Generalized beamforming. При этом применялась скоростная модель для ВЕП [8], дополненная глубокими слоями модели AK-135 [9]. Для вычисления значений локальной магнитуды ML (MWA) и магнитуды по поверхностным волнам (Ms) использовали реализованные в WSG способы расчета, основанные на осредненной по Северной Евразии калибровочной функции [10] и рекомендациях, указанных в работе И. П. Габсатаровой [11] соответственно. Для распознавания природы сейсмического события применяли программы В. Э. Асминга PSRatio и Spec [12].
Инструментальные параметры землетрясения 26 декабря 2023 года.
В результате инструментальной обработки получены следующие параметры землетрясения 26 декабря: координаты 58.4843N, 50.794E, время в очаге t0=01:44:36 (UTC), глубина h=4 км, энергетический класс по Т. Г. Раутиан Kp=10.2/4, локальная магнитуда ML=3.6/5, Ms=2.7/5, эллипс ошибок: Azmajor=60°, Rminor=4.5 км, Rmajor=5.5 км. В таблице представлен сейсмический бюллетень события. По нашим расчетам землетрясение произошло в верхнем течении р. Чепца, в границах Семушинского сельского поселения Зуевского района Кировской области. Ближайшие к эпицентру землетрясения населенные пункты: пос. Мотоус, дер. Целоус Зуевского района, пос. Семушино, д. Косинка, входящие в Семушинское сельское поселение Зуевского района Кировской области. В 3 км расположены железнодорожные станции Рехино и Береговой и железнодорожная линия Киров–Пермь.
Станционный бюллетень сейсмического события 26 декабря 2023 года
Station bulletin of the seismic event happened on December 26, 2023
Код станции | Время вступления сейсмических фаз, ч мин с | ∆, ° | AZM, ° | A, мкм | T, c | Магнитуда | |
P | S | ||||||
KIRV | 01:44:48.42 | 01:44:57.46 | 0.7 | 278.6 | |||
PR41R | 01:45:18.43 | 01:45:51.61 | 2.6 | 100.4 | |||
PR6R | 01:45:21.85 | 01:45:55.88 | 2.8 | 94.2 | 0.198 | 0.40 | ML=3.7 |
PR2R | 01:45:22.11 | 01:45:56.76 | 2.8 | 86.4 | 0.135 0.086 | 0.30 3.90 | ML=3.5 Ms=2.4 |
SYK0 | 01:45:26.93 | 01:46:04.62 | 3.2 | 359.5 | 0.115 0.142 | 0.30 3.26 | ML=3.6 Ms=2.8 |
PR1R | 01:45:26.97 | 01:46:04.76 | 3.2 | 74.7 | |||
VOCH | 01:45:27.71 | 01:46:05.67 | 3.2 | 30.5 | 0.102 0.063 | 0.28 3.12 | ML=3.5 Ms=2.4 |
PR0R | 01:45:29.33 | 01:46:09.25 | 3.4 | 92.2 | |||
PR3R | 01:45:30.92 | 01:46:11.79 | 3.5 | 104.8 | |||
PR7R | 01:45:39.87 | 01:46:28.34 | 4.2 | 85.7 | |||
BT2 | 01:45:42.04 | 01:46:32.23 | 4.3 | 167.7 | |||
BT3 | 01:45:42.59 | 01:46:33.08 | 4.4 | 167.0 | |||
BT1 | 01:45:43.89 | 01:46:35.23 | 4.5 | 168.2 | |||
ARTI | 01:45:45.74 | 01:46:38.31 | 4.6 | 113.9 | 0.049 0.094 | 0.35 3.65 | ML=3.6 Ms=2.8 |
BA1R | 01:45:47.53 | 01:46:41.73 | 4.8 | 143.0 | |||
SVUR | 01:45:50.32 | 01:46:47.12 | 5.0 | 66.0 | |||
SVE | 01:47:00.52 | 5.5 | 103.2 | ||||
KAIR | 01:45:59.98 | 01:47:03.57 | 5.7 | 129.9 | |||
KAUR | 01:46:05.58 | 01:47:14.24 | 6.1 | 105.0 | |||
BELG | 01:47:19.84 | 6.4 | 197.8 | ||||
LSH | 01:46:16.06 | 01:47:31.20 | 6.9 | 341.6 | |||
ORR | 01:46:20.96 | 01:47:40.79 | 7.2 | 160.0 | |||
ADZ | 01:46:32.94 | 01:48:01.55 | 8.1 | 317.4 | |||
AMDE1 | 01:47:26.31 | 01:49:36.62 | 12.2 | 18.1 | 0.067 | 7.44 | Ms=3.1 |
Эпицентр события по данным ГИ УрО РАН [13] расположен в 12 км севернее нашего и имеет близкие параметры: t0=01:44:34, 58.578N, 50.770E, ML=3.3. Кроме того, в бюллетене норвежского сейсмологического центра NORSAR (Норвегия) зафиксировано решение, рассчитанное по записям станций FINESS Array, Hagfors Array и NORESS Array. Согласно бюллетеню [14], землетрясение произошло в Вологодской области, его параметры: t0=01:45:35.0, 59.74N, 42.34E, М=2.4/3. Расхождение в определении положения эпицентра составило более 500 км.
Тектоническое происхождение землетрясения не вызывает сомнений, так как на рассматриваемой территории, которая, как уже отмечалось, относится к слабосейсмичной, регулярно происходят землетрясения, в том числе известны исторические. Тем не менее с целью накопления статистики для последующих исследований различий тектонических и техногенных событий на записях сейсмических станций «Киров», «Екимята», «Воч» и «Арти» применили некоторые критерии идентификации взрывов и землетрясений, разработанные в Кольском филиале ФИЦ ЕГС РАН к.ф.-м.н. В. Э. Асмингом [12] для определения природы сейсмического события. Оценивались приведенные ниже параметры.
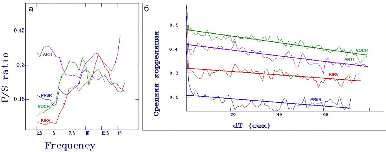
Отношение амплитуд объемных волн P и S. Рассчитанное в программе PSRatio (рис. 3, а) отношение P/S свидетельствует о тектонической природе. Низкие значения (меньше 0.3) служат аргументом в пользу того, что сейсмическое событие является землетрясением.
Рисунок 3. Отношение амплитуд P/S (а) и средняя корреляция спектра во времени (б) сейсмического события 26 декабря 2023 г. для станций KIRV, PR6R, VOCH, ARTI
Figure 3. P/S amplitude ratio (a) and mean spectrum correlation in time (б) of the seismic event happened on December 26, 2023 for stations KIRV, PR6R, VOCH, ARTI
Спектральные свойства события. Построенные в программе Spec диаграммы (рис. 3, б), характеризующие изменения спектра во времени, также свидетельствуют о природном происхождении сейсмического события (значения параметра a ниже 0.5). Спектральные диаграммы (сонограммы) станций ARTI, KIRV, PR6R, VOCH события 26 декабря 2023 г. (рис. 4) указывают на то, что оно является землетрясением. Спектральная плотность взрывов меняется во времени медленнее, чем для землетрясений, что выражается в «полосах» на сейсмограммах [12]. В нашем случае этого не наблюдается, частотный состав изменчив во времени.
Рисунок 4. Сонограммы события 26 декабря 2023 г. станций KIRV, PR6R, VOCH, ARTI
Figure 4. Sonograms of the event happened on December 26, 2023 for stations KIRV, PR6R, VOCH, ARTI
Форма сейсмических сигналов. Волновая картина события 26 декабря 2023 г. (рис. 2) – более сильные и высокоамплитудные S-волны по сравнению с Р-волной, характерна для тектонических землетрясений и также говорит о природном происхождении.
Изучение горнодобывающей активности в регионе. В данном районе Кировской области, согласно Геоинформационной системе Кировской области [15], добыча полезных ископаемых не производится, отсутствуют действующие промышленные карьеры и предприятия. За время инструментальных наблюдений техногенные сейсмические события в Зуевском районе не зафиксированы.
Время в очаге (04:44 по местному времени) также указывает на вероятный естественный процесс возникновения события.
Таким образом, все рассмотренные параметры свидетельствуют о природном происхождении сейсмического события 26 декабря 2023 г. и нами оно классифицируется как «тектоническое землетрясение».
Результаты и их обсуждение
В тектоническом плане землетрясение 26 декабря 2023 г. относится к Кировско-Кажимскому авлакогену Волго-Уральской антеклизы, который является сейсмоактивной структурой. На рис. 5 вынесены исторические и инструментальные эпицентры землетрясений на северо-востоке Русской плиты, в пределах Кировско-Кажимского авлакогена и прилегающих к нему Котельнич-Сысольской и Северо-Татарско-Коми-Пермяцкой систем сводовых поднятий Волго-Уральской антеклизы. За инструментальный период сильных событий в рассматриваемом районе отмечено не было, значения локальной магнитуды (ML) составили от 2.1 до 3.9.
Рисунок 5. Фрагмент схемы тектонического районирования территории Российской Федерации и прилегающих акваторий, масштаб 1 : 2 500 000 [16, 17]: 1 – эпицентры землетрясений: а – исторические, б – инструментальные; 2 – разломы кристаллического фундамента; 3 – континентальные рифты, авлакогены; 4 – надвиги. Римскими цифрами обозначены названия структур: I – Кировско-Кажимский авлакоген, II – Коми-Пермяцкий свод, III – Северо-Татарский свод, IV – Котельничский свод, V – Сысольский свод, VI – Московская синеклиза, VII – Среднерусский авлакоген, VIII – Мезенская синеклиза, IX – Вычегодский прогиб, X - Тиманское поднятие
Figure 5. Fragment of the tectonic zoning scheme of the territory of the Russian Federation and adjacent water areas, scale 1 : 2 500 000 [16, 17]: 1 – epicentres of earthquakes: a – historical, б – instrumental; 2 – crystalline basement faults, 3 – continental rifts, aulacogens, 4 – thrust faults. Roman numerals denote the names of structures: I – Kirov-Kazhim aulacogen, II – Komi-Permyak vault, III – North-Tatar vault, IV – Kotelnichy vault, V – Sysola vault, VI – Moscow syneclise, VII - Middle Russian aulacogen, VIII – Mezen syneclise, IX - Vychegda trough, X - Timan uplift
Эпицентры распределены неравномерно, наибольшее количество событий локализуется в центральной части авлакогена. Особенно заметные землетрясения на данной площади – 6-балльное Вятское 1897 г. [18] и 5-балльное Верхошижемское 2000 г. [19]. Землетрясение 1897 г. – одно из сильнейших исторических землетрясений севера ВЕП, оно ощущалось по всей центральной части Вятской губернии и представительно обеспечено макросейсмическими сведениями в местных газетах 1897 г. Кроме того, вблизи эпицентральной области землетрясения 26 декабря 2023 г. известны ощутимые исторические землетрясения Вятского края 1795 и 1908 гг., информация о которых содержится в изданиях того времени [20–22].
Последняя активизация авлакогена происходила в 2020 г. [23] также в его центральном фланге и в пределах восточного борта. Землетрясение 26 декабря 2023 г. приурочено к восточному борту авлакогена. Землетрясения в основном происходят на бортах авлакогена и, вероятно, приурочены к разломам, контролирующим наиболее погруженный центральный грабен авлакогена. Глубина гипоцентра 26 декабря 2023 г. соответствует залеганию поверхности фундамента. В целом для Кировско-Кажимского авлакогена характерны преимущественно мелкофокусные очаги с глубинами до 10 км.
Выводы
Землетрясение 26 декабря 2023 г., ML=3.6, по нашим расчетам произошло в Зуевском районе Кировской области. Оно является тектоническим, верхнекоровым и приурочено к восточному борту Кировско-Кажимского авлакогена Волго-Уральской антеклизы. Вблизи эпицентральной области события известны ощутимые исторические землетрясения, а также зафиксированы инструментальные с ML=2.6–3.4. Предыдущая активизация авлакогена происходила в 2020 г. также в центральном его фланге. Возникновение сейсмических событий свидетельствует, что Кировско-Кажимский авлакоген является тектонически подвижной структурой. Землетрясения в основном происходят в бортах авлакогена и, вероятно, приурочены к разломам северо-восточного простирания, контролирующим наиболее погруженный центральный грабен авлакогена. Полученные результаты могут использоваться для оценки сейсмической опасности территории северо-востока Восточно-Европейской платформы.
Автор заявляет об отсутствии конфликта интересов.
About the authors
Natalia N. Noskova
Institute of Geology named after academician N. P. Yushkin, Komi Science Centre of the Ural Branch of the Russian Academy of Sciences
Author for correspondence.
Email: noskova@geo.komisc.ru
ORCID iD: 0000-0001-8590-011X
Candidate of Sciences (Geology and Mineralogy), Senior Researcher
Russian Federation, SyktyvkarReferences
- Obshchee seismicheskoe raionirovanie territorii Rossiiskoi Federatsii OSR-2015. Prilozhenie A [General seismic zoning of the territory of the Russian Federation OSR-2015. Appendix A] // SP 14.13330.2018. Stroitelstvo v seismicheskikh raionakh [Housebuilding in seismic areas]. – Moscow : Standartinform, 2018. – P. 59–99.
- Verkholantsev, F. G. Sejsmichnost Urala i Zapadnoj Sibiri v 2018–2019 gg. [Seismicity of the Urals and Western Siberia in 2018–2019] / F. G. Verkholantsev, I. V. Golubeva, R. A. Dyagilev, T. V. Zlobina // Zemletriaseniia Severnoi Evrazii [Earthquakes in Northern Eurasia]. – 2023. – Issue 26 (2018–2019). – P. 225–238. - DOI: https://doi.org/10.35540/1818-6254.2023.26.19.
- Nesterenko, M. Yu. Avtomatizirovannaya raspredelennaya GIS sistema monitoringa i ocenki riska funkcionirovaniya prirodno-tekhnogennyh obyektov neftegazovoj promyshlennosti [Automated distributed GIS system of monitoring and risk assessment of natural-technological facilities of oil and gas industry] / M. Yu. Nesterenko, M. S. Karpyuk, V. V. Vlackiy // Rossi-jskomu nauchnomu obshchestvu analiza riska 15 let : osnovnye itogi i perspektivy deyatel’nosti [The Russian Scientific Society of Risk Analysis is 15 years old : Main Results and activity prospects] : Collection of articles. – Moscow, 2018. – P. 347–352.
- Arkhangelsk Seismic Network. – URL: https://doi. org/10.7914/SN/AH (accessed: 15.01.2024).
- EarthScope Data Center (IRISDMC). (2023). NSF SAGE Facility. Global Seismograph Network – IRIS/IDA. International Federation of Digital Seismograph Networks. URL: https://doi.org/10.7914/SN/II (accessed: 30.12.2023).
- Krasilov, S. A. Organizaciya processa obrabotki cifrovyh sejsmicheskih dannyh s ispolzovaniem programmnogo kompleksa WSG [Organization of the processing of digital seismic data with the WSG program complex] / S. A. Krasilov, M. V. Kolomiec, A. P. Akimov // Sovremennye metody obrabotki i interpretacii sejsmologicheskih dannyh [Modern methods of processing and interpretation of seismological data]: Materials of the International Seismological School Dedicated to the 100-annivesary of the Pulkovo and Ekaterinburg Seismic Stations. – Obninsk : GS RAS, 2006. – P. 77–83.
- Fedorov, A. V. Sistema avtomaticheskogo monitoringa sejsmichnosti Evropejskoj Arktiki [Automated seismic monitoring system for the European Arctic] / A. V. Fedorov, V. E. Asming, Z. A. Evtyugina, A. V. Prokudina // Seismicheskie pribory [Seismic Instruments]. – 2018. – Vol. 54. – № 1. – P. 29–39. - doi: 10.21455/si2018.1-3.
- Schueller, W. Crustal and uppermost mantle velocity structure of northern Eurasia along the profile Quartz / W. Schueller, I. B. Morozov, S. B. Smithson // Bulletin of the Seismological Society of America. – 1997. – № 87. – P. 414–426.
- Kennett, B. L. N. Constraints on seismic velocities in the Earth from travel times / B. L. N. Kennett, E. R. Engdahl, R. Buland // Geophysical Journal International. – 1995. – № 122. – P. 108–124.
- Gabsatarova, I. P. Vnedrenie v rutinnuyu praktiku podrazdelenij Geofizicheskoj sluzhby RAN procedury vychisleniya lokalnoj magnitudy [Introduction of the local magnitude calculation procedure into the routine practice of the Geophysical Service of the Russian Academy of Sciences] / I. P. Gabsatarova // Sovremennye metody obrabotki i interpretacii sejsmologicheskih dannyh [Modern Methods of Processing and Interpretation of Seismological Data] : Materials of the International Seismological School Dedicated to the 100-annivesary of the Pulkovo and Ekaterinburg Seismic Stations. – Obninsk : GS RAS, 2006. – P. 49–53.
- Gabsatarova, I. P. Opredelenie magnitudy MLV po poverhnostnym volnam regionalnyh sobytij Kolskogo poluostrova [Determination of MLV magnitude from surface waves of regional events of the Kola Peninsula] / I. P. Gabsatarova // Sovremennye metody obrabotki i interpretacii sejsmologicheskih dannyh [Modern methods of processing and interpretation of seismological data]. Materials of the Sixth International Seismological School. – Obninsk : GS RAS, 2011 – P. 107–113.
- Godzikovskaya, A. A. Retrospektivnyj analiz pervichnyh materialov o sejsmicheskih sobytiyah, zaregistrirovannyh na Kolskom poluostrove i prilegayushchih territoriyah v XX veke [Retrospective analysis of primary data about seismic events recorded in the Kola Peninsula and neighboring territories in the XX century] / A. A. Godzikovskaya, V. E. Asming, Yu. A. Vinogradov. – Moscow : Vash poligraficheskii partner, 2010. – 130 p.
- Sejsmologicheskij monitoring Zapadnogo Urala [Seismological monitoring of the Western Urals]. – URL: http://pts.mi-perm.ru/mlp/?page_id=718&pic=regst (accessed : 15.01.2024).
- NORSAR (1971). NORSAR Seismic Bulletins, https://doi. org/10.21348/b.0001 (accessed : 11.01.2024).
- Geoinformacionnaya sistema Kirovskoj oblasti [Geoinformation system of the Kirov Region]. – URL: https://gis.geokirov.ru/ (accessed : 17.04.2024)/
- Skhema tektonicheskogo rajonirovaniya territorii Rossijskoj Federacii i prilegayushchih akvatorij. Masshtab 1:2 500 000 [Tectonic classification plan of the Russian Federation and the adjacent water areas, scale 1:2500000]. A. P. Karpinsky Russian Geological Research Institute (VSEGEI). – URL : https://karpinskyinstitute.ru/ru/info/webmapget/index.php (accessed : 17.04.2024).
- Petrov, O. V. Tektonicheskaya karta Rossijskoj Federacii i prilegayushchih akvatorij masshtaba 1:2 500 000 : principy sozdaniya, soderzhanie, predvaritelnye rezultaty [Tectonic map of the Russian Federation and adjacent water areas, scale 1:2 500 000 : principles of creation, content, preliminary results] / O. V. Petrov, G. A. Babin, A. I. Khanchuk, S. D. Sokolov // Petrologiya i rudonosnost magmaticheskih formacij [Petrology and Ore Content of Igneous Formations]. Materials of the Scientific Conference dedicated to the Memory of the Corresponding Member of the USSR AS and RAS G. V. Polyakov and Professor A. G. Vladimirova. – Novosibirsk, 2022. – P. 153–155.
- Noskova, N. N. Makrosejsmicheskoe pole Vyatskogo zemletryaseniya 13 avgusta 1897 g. [Macroseismic field of the Vyatka earthquake of August 13, 1897] / N. N. Noskova, F. G. Verkholantsev, R. A. Dyagilev // Sovremennye metody obrabotki i interpretacii sejsmologicheskih dannyh [Modern Methods of Processing and Interpretation of Seismological Data]. Materials of the XVII International Seismological School / Resp. editor A. A. Malovichko. – Obninsk: FRC EGS RAS, 2023. – P. 87.
- Gabsatarova, I. P. Verhoshizhemskoe zemletryasenie 18 yanvarya 2000 goda s MPSP=4.0, Kp=11.2, I0=5 (Kirovskaya oblast) [The Verkhoshizhem earthquake of January 18, 2000 with MPSP=4.0, Кp=11.2, I0=5 (Kirov Region)] / I. P. Gabsatarova, L. S. Chepkunas // Zemletryaseniya Severnoj Evrazii v 2000 godu [Earthquakes of Northern Eurasia in 2000]. – Obninsk : GS RAS, 2006. – P. 230–235.
- Stoletie Vyatskoj gubernii, 1780–1880. T. 1. Vyatskij gubernskij statisticheskij komitet, 1880. Nacionalnaya biblioteka Udmurtskoj respubliki [Centenary of the Vyatka province, 1780–1880. Vol. 1. Vyatka Provincial Statistical Committee, 1880. National Library of the Udmurt Republic]. URL: https://elibrary.unatlib.ru/handle/123456789/7647 (accessed: 01.11.2024).
- Hronika. Zemletryasenie [Chronicle. Earthquake] // Vyatskaya rech [Vyatka Speech]. – March 15, 1908. - № 23.– P. 3.
- Pamyatnaya knizhka Vyatskoj gubernii i kalendar na 1909 g. (God XXX-j). Izdanie gubernskogo statisticheskogo komiteta [Commemorative book of the Vyatka province and 1909 calendar (Year XXX). Publication of the Provincial Statistical Committee]. – Vyatka : Gubernskaya tipografiya, 1909.
- Noskova, N. N. Zemletryasenie 16 sentyabrya 2020 g. v Kirovsko-Kazhimskom avlakogene [Earthquake of September 16, 2020 in the Kirov-Kazhim aulacogen] / N. N. Noskova // Voprosy inzhenernoi seismologii [Engineering Seismology Issues]. – 2020. – Vol. 47. – № 4. – P. 92–100. - doi: 10.21455/VIS2020.4-6.
Supplementary files





