Investigation of Plasticity in Memristive Structures Based on Epitaxial Films Nd2–xCexCuO4–y
- Autores: Tulina N.A.1, Rossolenko A.N.1, Shmytko I.M.1, Borisenko I.Y.2, Ivanov A.A.3
-
Afiliações:
- Osipyan Institute of Solid State Physics, RAS
- Institute of Microelectronics Technology and High Purity Materials
- MEPhI National Research Nuclear University
- Edição: Nº 5 (2024)
- Páginas: 8-15
- Seção: Articles
- URL: https://ogarev-online.ru/1028-0960/article/view/264371
- DOI: https://doi.org/10.31857/S1028096024050025
- EDN: https://elibrary.ru/FUQYHV
- ID: 264371
Citar
Texto integral
Resumo
Pulse studies of resistive switching in memristive planar heterocontacts based on Nd2–xCexCuO4–y epitaxial films are presented. The possibility of regulating the resistive metastable states of memristive planar systems based on such films according to certain pulse research protocols has been studied. Various metastable states were realized when changing external parameters: frequency, voltage of the electric field applied to heterocontacts. Dynamic effects have been investigated, and transition times from one metastable state to another have been determined. The change in electrodynamic properties during the action of a sinusoidal alternating electric field at frequencies of 10–3 Hz and in pulse mode with a pulse duration from 0.1 ms to 25 s was directly investigated by measuring the volt-ampere characteristics, recording oscillograms of current and voltage at the heterocontact and temperature dependences of resistance of metastable phases. The multilevel nature of the metastable resistive states of the studied systems and the ability to adjust the switching time characterize the plasticity of these devices and the prospects for their use as memory elements for neuromorphic applications in spike neural networks.
Palavras-chave
Texto integral
ВВЕДЕНИЕ
Одним из перспективных элементов для создания нейроморфных вычислительных систем является мемристор – резистор с памятью, сочетающий в себе функции обработки и хранения информации [1–6]. Это двухэлектродный нелинейный динамический прибор, сопротивление которого зависит от электрического поля и протекающего тока. Принцип работы мемристора основан на его обратимом резистивном переключении (РП) под действием электрического поля и сохранении возникающего резистивного состояния после снятия напряжения. Эффект резистивного переключения был обнаружен в мемристивных системах типа металл–диэлектрик–металл (МДМ) на основе ряда соединений, в основном оксидных. Сегодня считают, что эффект резистивного переключения можно объяснить образованием и разрушением нитевидных хорошо проводящих каналов либо металлических мостиков, формирование и разрушение которых происходит при электромиграции вакансий кислорода. Особый интерес представляют переключения электронной природы, при которых работает моттовский механизм резистивных переключений (Mott ReRAM) на основе сильно коррелированных электронных систем (СКЭС) [7]. Несмотря на то, что в мемристивных материалах на основе СКЭС: Bi2Sr2CaCu2O8 (BSCCO), Nd2–xCexCuO4–y (NCCO), Ва0.6K0.4BiO3 (KBBO), продемонстрирован биполярный эффект резистивных переключений (БЭРП) [8, 9], возможность задания промежуточных состояний (пластичность) не была исследована. Особый интерес представляют изменения резистивного состояния мемристора по биологически правдоподобным алгоритмам [10], например долговременная способность к потенцированию (LTP), пластичность, зависящая от времени прихода импульсов (STDP, spike-timing-dependent plasticity) или эффекта неравномерной реакции, присущей биологическим нейронам (LIF, leaky integrate-and-fire) [11]. В биологических нейронных сетях обучение достигается через способность синапсов изменять вес, которым определяется эффективность связи нейронов (это свойство называется синаптической пластичностью). Основной целью настоящей работы было изучение пластичности мемристоров на основе Nd2–xCexCuO4–y как типичном представителе СКЭС. Изучена возможность регулирования резистивных метастабильных состояний мемристивных планарных систем на основе эпитаксиальных пленок NCCO по определенным протоколам импульсных исследований.
ЭКСПЕРИМЕНТ
Ранее [12] нами были получены пленки Nd1.85Ce0.15CuO4–у (NCCO) c диэлектрической прослойкой Nd0.5Ce0.5O1.75 (NCO). Эти исследования также показали, что обе фазы являются эпитаксиальными. В нескольких работах (как на монокристаллах, так и на пленках высокотемпературных сверхпроводников) обнаружили такое эпитаксиальное прорастание второй фазы [13]. Таким образом, эти пленочные системы являются уникальным объектом для изучения БЕРП, где буферный слой допирован кислородом и церием (диэлектрическая составляющая NCO), а базовая пленка NCCO является сверхпроводящим металлом.
В настоящей работе представлены исследования пластичности и способа получения много- уровневых резистивных состояний в материалах на основе NCO/NCCO. Мезоскопические гетерофазные образцы были двух типов: первые – высокоомные микроконтакты, вторые получены методом фотолитографии. Микроконтактные структуры демонстрировали мемристивные свойства при ограничивающем токе порядка 6 мА, литографические – при 10–20 мА. Микроконтакты получали подведением серебряной иглы в манипуляторе к поверхности as grown пленок NCO/NCCO. Cформированная методом фотолитографией система Ag/NCO/NCCO/STO имела контактное окно 100 × 100 мкм (рис. 1) (NCO – диэлектрическая фаза, NCCO – металлическая фаза, STO – подложка из титаната стронция). Полученные гетерофазные границы исследовали на предмет обнаружения резистивных переключений, измеряли вольт-амперные характеристики (ВАХ), температурную зависимость сопротивления образцов. При изменении внешних параметров: частоты, величины напряжения электрического поля, прикладываемого к гетероконтакту, реализуются разные метастабильные состояния. Исследованы динамические эффекты, определены времена переходов из одного метастабильного состояния в другое. Непосредственно исследовано изменение электродинамических свойств в процессе воздействия переменного электрического поля синусоидальной формы при частотах 10–3 Гц и в импульсном режиме при длительности импульса от 0.1 мс до 25 с посредством измерения ВАХ, записи осциллограмм тока и напряжения на гетероконтакте и температурных зависимостей сопротивления метастабильных фаз. Для определения мемристивных свойств образов с микроконтактами таких как cтабильность резистивного состояния, выносливость по отношению к циклическим переключениям, пластичность, зависящая от времени прихода импульсов (SDTP, Spike-Timing-Dependent Plasticity), был использован стенд Arc One (измерительная платформа для исследования характеристик мемристоров [14, 15])
Рис. 1. Пример ВАХ гетерофазного образца Ag/NCO/NCCO/STO микроконтактного типа (а); рентгенограмма двухфазной пленки NCCO/NCO (б); схема микроконтактной структуры с указанием токовых (I1, I2) и потенциальных (U1, U2) контактов (в)
На рис. 1 и 2 продемонстрированы примеры вольт-амперных характеристик с резистивным переключением в микроконтактных и литографических структурах. Изученные гетерофазные образцы стабильно демонстрируют эффект резистивного переключения порядка 100 циклов с отношением высокорезистивного (обозначено “Off”) сопротивления к низкорезистивному (обозначено “On”) ROff /ROn ~ 5–1000 при условии ограничения тока. При увеличении тока выше определенного предела образцы деградировали.
Рис. 2. Пример ВАХ гетерофазного образца Ag/NCO/NCCO/STO литографического типа. Развертка напряжения была по направлениям ветвей: 0–1–2–3–4–0 (а); изображение (б) и профиль (в) образца, сформированного литографией
Как видно из приведенных данных, обратимые и устойчивые бистабильные резистивные переключения наблюдается в исследованных образцах Ag/NCO/NCCO/STO. Показано, что перенос носителей заряда в гетерофазных слоях имеет диодный характер с барьерами в сильнолегированных полупроводниках типа Шоттки. Неоднородное распределение электрического поля вблизи края верхнего контакта создает области с повышенной напряженностью электрического поля, в которых происходит движение и перераспределение дефектов, изменение резистивных свойств всей системы и формирование перколяционного канала в форме проводящего кольца [16]. Для эффекта переключений важной составляющей является высокорезистивное состояние (ветвь ВАХ 4–1). Высокоомная ветвь ВАХ контактов имеет диодный характер. Формирование низкорезистивного состояния происходит при напряжении Vset (ветвь ВАХ 1–2), высокорезистивного состояния – при напряжении Vreset (ветвь ВАХ 4–0).
Было исследовано влияние импульсных нагрузок на резистивное состояние гетерофазных границ образцов при разных протоколах подачи импульсных сигналов с целью наблюдения эффектов пластичности и получения метастабильных многоуровневых состояний.
По протоколу 1 с помощью платформы Arc One на образец микроконтактного типа подавали ступеньки импульсов шагом 0.05 В различной длительности (рис. 3).
Рис. 3. Пример 10 циклов ВАХ в различных координатных представлениях (а), стабильность метастабильных низкорезистивного (On) и высокорезистивного (Off) состояний (б) и пластичность образца, зависящая от времени импульсного воздействия (в) в гетеропереходах Ag/NCO/NCCO/STO микроконтактного типа
По протоколу 2 на образец Ag/NCO/NCCO/STO, полученный фотолитографией, подавали импульсы амплитудой 4 В длительностью от 25 с до 100 мкс, измеряли изменение сопротивление системы во время прохождения импульса (рис. 4).
Рис. 4. Зависимость сопротивления образца Ag/NCO/NCCO/STO литографического типа от времени при прохождении импульсов различной длительности
Протокол 3 заключался в следующем. На образец литографического типа подавали серию импульсов амплитудой 3.5 В в виде последовательности двух меандров. Длительности импульсов от 25 с до 100 мкс. Измерения проводили по второму меандру: переход в низкорезистивное состояние – по второму положительному импульсу, переход в высокорезистивное состояние – по второму отрицательному импульсу (рис. 5).
Рис. 5. Зависимость сопротивления образца Ag/NCO/NCCO/STO литографического типа от отношения времени к длительности импульса при переходах из низкорезистивного в высокорезистивное состояние и обратно. В верхней части рисунка показана форма сигнала импульса
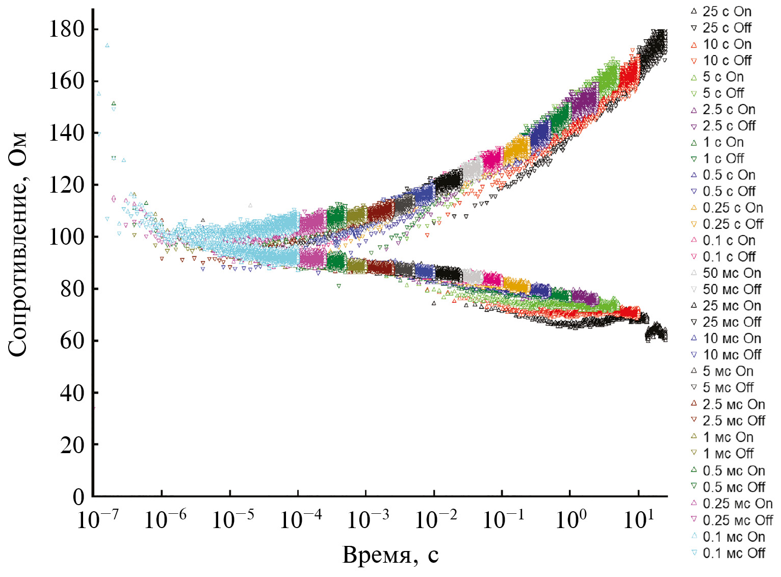
На рис. 6 показана зависимость сопротивления метастабильных резистивных состояний литографической гетероструктуры Ag/NCO/NCCO/STO от длительности импульсов прикладываемого напряжения амплитудой 4 В. Совокупность полученных данных позволяет сделать вывод, что сопротивление мемристора на основе NCCO при импульсном воздействии есть функция параметров: амплитуды, длительности и числа импульсов.
Рис. 6. Зависимость сопротивления метастабильных резистивных состояний образца Ag/NCO/NCCO/STO литографического типа от длительности импульса амплитудой 4 В
ОБСУЖДЕНИЕ
В работе установлены следующие факты. Резистивные переключения в мемристивных структурах на основе NCCO носят пороговый характер; мы наблюдали асимметрию и диодный характер ВАХ. Время переключений при импульсном воздействии зависит от амплитуды, длительности и числа импульсов. Метастабильные резистивные состояния можно регулировать как ограничением токовой нагрузки при непрерывной развертке, так и регулируя длительность и амплитуду импульсной нагрузки. В настоящей работе приведены примеры протоколов испытаний для получения многоуровневых метастабильных состояний мемристивных систем. Механизм изменения пластичности мемристоров с помощью импульсов представляет собой сложный процесс, который в исследованных в настоящей работе структурах определяется длительными процессами порядка 100 мс (рис. 3в).
В работах [9, 12, 16, 17] показано, что ключевым фактором обратимого и воспроизводимого эффекта резистивных переключений в исследованных гетерофазных системах на основе NCCO является высокорезистивное состояние полупроводникового типа с локализованными носителями (вакансии кислорода). Высокоомная ветвь ВАХ контактов можно аппроксимировать поведением двух противоположно направленных диодов [17, 18]. Пространственная неоднородность носителей приводит к полевому влиянию на потенциальный барьер на гетерофазной границе раздела слоев, демонстрирующих БЭРП. Полевой характер переключений косвенно подтверждается тем наблюдением, что в гетерофазных системах с электродом микроконтактного типа резистивные переключения дают больший эффект (отношение ROff/ROn), так как в таких системах может достигаться большая напряженность электрического поля. Переключения возникают с превышением некоторого порогового напряжения, величина эффекта зависит от площади верхнего контакта, от толщины слоя диэлектрика. Результаты настоящей работы доказывают, что медленный процесс, порядка нескольких секунд, формирует низкорезистивное состояние и, видимо, определяется электродиффузией кислорода, которая проходит полный обратимый цикл при низких частотах. Достижение критической напряженности электрического поля при развертке напряжения на образце является началом двух процессов: на краю контакта начинает формироваться (либо распадаться при обратной полярности электрического поля) домен с повышенной плотностью носителей (диэлектрический пробой); одновременно с этим при изменении конфигурации электрического поля идет медленный процесс электродиффузии подвижных ионов, формируются каналы туннелирования барьеров на границе раздела слоев. И от того, насколько длительными будут эти процессы, будет зависеть конечное состояние структуры. Анизотропия резистивных свойств текстурированных пленок NCCO (с приоритетным направлением ориентации кристаллитов вдоль кристаллографического направления [001]) также оказывает сильное влияние на временные параметры ВАХ гетерофазных материалов, демонстрирующих БЭРП, время переключения между высокорезистивным и низкорезистивным состояниями существенно зависит от геометрических размеров системы, анизотропии ее резистивных свойств, от величины приложенного напряжения. В работах [19, 20] было показано, что учет анизотропии резистивных и диффузионных свойств материала мемрезистивных гетерофазных систем приводит к радикальному изменению конфигурации электрического поля и формы проводящего канала в гетероконтактах планарного типа с резистивным переключением. Анизотропия материала создает значительные задержки при переходах из низкорезистивного в высокорезистивное состояние, которые могут быть связаны с формированием вокруг контакта протяженной области, в которой концентрация подвижных ионов кислорода имеет максимально возможное значение. В данном случае скорость переключения задается медленным, преимущественно диффузионным переносом ионов на периферии этой области, а не их быстрым дрейфом в зоне контакта; возникает щелевая структура, которая определяет воспроизводимость резистивного переключения [21].
ЗАКЛЮЧЕНИЕ
С использованием определенных протоколов импульсных испытаний в работе исследована пластичность мемристивных систем на основе эпитаксиальных пленок Nd2–xCexCuO4–y. Многоуровневый характер и возможность регулировать времена переключений между различными метастабильными состояниями характеризуют пластичность этих устройств в качестве элементов памяти для нейроморфных приложений в спайковых нейросетях.
ФИНАНСИРОВАНИЕ РАБОТЫ
Работа выполнена в рамках государственных заданий Института физики твердого тела имени Ю.А. Осипьяна Российской академии наук, Института проблем технологии микроэлектроники и особо чистых материалов РАН.
Конфликт интересов. Авторы данной работы заявляют, что у них нет известных конкурирующих финансовых интересов или личных отношений, которые могли бы повлиять на работу, представленную в этой статье.
Sobre autores
N. Tulina
Osipyan Institute of Solid State Physics, RAS
Autor responsável pela correspondência
Email: tulina@issp.ac.ru
Rússia, Chernogolovka
A. Rossolenko
Osipyan Institute of Solid State Physics, RAS
Email: tulina@issp.ac.ru
Rússia, Chernogolovka
I. Shmytko
Osipyan Institute of Solid State Physics, RAS
Email: tulina@issp.ac.ru
Rússia, Chernogolovka
I. Borisenko
Institute of Microelectronics Technology and High Purity Materials
Email: tulina@issp.ac.ru
Rússia, Chernogolovka
A. Ivanov
MEPhI National Research Nuclear University
Email: tulina@issp.ac.ru
Rússia, Moscow
Bibliografia
- Yang J.J., Strukov D.B., Stewart D.R. // Nature Materials. 2013. V. 8. P. 13. https://www.doi.org/10.1038/nnano.2012.240
- Chen A. // Solid-State Electron. 2016. V. 125. P. 25. https://www.doi.org/10.1016/j.sse.2016.07.006
- Wang C., Wu H., Gao B., Zhang T., Yang Y., Qian H. // Microelectron. Eng. 2018. V. 187–188. P. 121. https://www.doi.org/10.1016/j.mee.2017.11.003
- Li Y., Wang Z., Midya R., Xia Q., Yang J.J. // J. Phys. D.: Appl. Phys. 2018. V. 51. P. 503002. https://www.doi.org/ 10.1088/1361-6463/aade3f
- Pérez-Tomás A. // Adv. Mater. Interfaces. 2019. V. 6. P. 1970096. https://www.doi.org/10.1002/admi.201900471
- Mikhaylov A, Pimashkin A, Pigareva Y, Gerasimova S., Gryaznov E., Shchanikov S., Zuev A., Talanov M., Lavrov I., Demin V., Erokhin V., Lobov S., Mukhina I., Kazantsev V., Wu H., Spagnolo B. // Frontiers Neu-rosci. 2020. V. 14. P. 358. https://www.doi.org/10.3389/fnins.2020.00358
- International Technology Roadmap for Semicon-ductors and the Semiconductor Technology Roadmap (2023) Semiconductor Industry Association. https://www.semiconductors.org/wpcНРСtent/up-loads/2018/06/0_2015-ITRS-2.0-Executive-Report
- Tulina N.A., Ivanov A.A. // J. Supercond. Nov. Magn. 2020. V. 33. P. 2279. https://www.doi.org/10.1007/s10948-019-05383-3
- Тулина Н.А., Россоленко А.Н., Шмытько И.М., Иванов А.А., Ионов А.М., Божко С.И., Сироткин В.В. // Наноиндустрия. 2019. Т. 89. С. 237. https://www.doi.org/10.22184/NanoRus.2019.12.89. 237.240
- Thomas A. // J. Phys. D: Appl. Phys. 2013. V. 46. P. 093001. https://www.doi.org/10.1088/0022-3727/46/9/093001
- Stoliar P., Tranchant J., Corraze B., Janod E., Bes-land M.-P., Tesler F., Rozenberg M., Cario L. // Adv. Functional Mater. 2017. V. 27. P. 1604740. https://www.doi.org/10.1002/adfm.201604740
- Tulina N.A., Rossolenko A.N., Ivanov A.A, Sirotkin V.V., Shmytko I.M., Borisenko I.Yu., Ionov А.М. // Physica C: Superconduct. Appl. 2016. V. 527. P. 41. https://www.doi.org/10.1016/j.physc.2016.05.015
- Mang P.K., Larochelle S., Mehta A., Vajk O.P., Erickson A.S., Lu L., Buyers W.J.L., Marshall A.F., Prokes K., Greven M. // Phys. Rev. B. 2004. V. 70. P. 094507. https://www.doi.org/10.1103/PhysRevB.70.094507
- Serb A., Khiat A., Prodromakis T. // IEEE Trans. Electron Devices. 2015. V. 62. P. 3685. https://www.doi.org/10.1109/TED.2015.2478491
- Berdan R., Serb A., Khiat A., Regoutz A., Papavassi- liou Ch., Prodromakis T. // IEEE Trans. Electron Devices. 2015. V. 62. P. 2190. https://www.doi.org/10.1109/TED.2015.2433676
- Tulina N.A., Rossolenko A.N., Shmytko I.M., Ivanov A.A., Sirotkin V.V., Borisenko I.Y., Tulin V.A. // Supercond. Sci. Technol. 2019. V. 32. P. 015003. https://www.doi.org/10.1088/1361-6668/aae966
- Tulina, N.A., Ivanov, A.A., Rossolenko. Ivanov A.A., Sirotkin V. V., Shmytko I.M., Borisenko I.Y., Ionov A.M. // Mater. Lett. 2017. V. 203. P. 97. https://www.doi.org/10.1016/j.matlet.2017.05.091
- Acha C. // J. Phys. D: Appl. Phys. 2011. V. 44. P. 345301. https://www.doi.org/10.1088/0022-3727/44/34/345301
- Tulina N.A., Borisenko I.Yu. // Phys. Lett. A. 2008. V. 372. P. 918. https://www.doi.org/10.1016/j.physleta.2007.08.045
- Sirotkin V.V., Tulina N.A., Rossolenko A.N., Borisenko I.Yu. // Bull. RAS. 2016. V. 80. P. 497. https://www.doi.org/10.3103/S1062873816050191
- Tulina N.A., Shmytko I.M., Ivanov A.A., Rossolenko A.N., Zotov A.V., Borisenko I.Y., Sirorkin V.V., Tulin V.A. // Rus. Microelectronics. 2022. V. 51. № 5. P. 349. https://www.doi.org/10.1134/s1063739722050110
Arquivos suplementares







