Электрон-плазмонное взаимодействие в кристаллах Bi2Te3–Sb2Te3
- Авторы: Степанов Н.П.1
-
Учреждения:
- Забайкальский государственный университет
- Выпуск: № 4 (2024)
- Страницы: 57-61
- Раздел: Статьи
- URL: https://ogarev-online.ru/1028-0960/article/view/261076
- DOI: https://doi.org/10.31857/S1028096024040071
- EDN: https://elibrary.ru/GJBQGD
- ID: 261076
Цитировать
Полный текст
Аннотация
В ходе исследования оптических свойств твердых растворов Bi2Te3–Sb2Te3 р-типа проводимости в инфракрасном диапазоне было обнаружено, что в монокристалле Bi0.6Sb1.4Te3 происходит деформация спектров коэффициента отражения в интервале частот наблюдения плазменного резонанса свободных носителей заряда. Деформация плазменного края усиливается при уменьшении температуры. При помощи дисперсионных соотношений Крамерса–Кронига из экспериментальных спектров отражения рассчитаны спектральные зависимости действительной ε1 и мнимой частей ε2 функции диэлектрической проницаемости, а также функции энергетических потерь характеризующей скорость диссипации энергии. Обнаружено расщепление пика функции энергетических потерь, свидетельствующее о воздействии на плазменный резонанс со стороны другого процесса, протекающего в электронной системе. Установлено, что таким процессом является переход электронов между неэквивалентными экстремумами валентной зоны. Сближение энергий коллективного и одночастичного возбуждений электронной системы приводит к усилению электрон-плазмонного взаимодействия, которое и является наиболее вероятной причиной наблюдающейся деформации плазменного края.
Полный текст
ВВЕДЕНИЕ
Влияние электрон-плазмонного взаимодействия на поведение электронной системы рассмотрено в работе [1]. При исследовании поведения плотного и вырожденного электронного газа обнаружена возможность значительного вклада электрон-плазмонного взаимодействия в массовый оператор, имеющий в этом случае сильную пороговую особенность. Она возникает при приближении энергии электрона к величине, достаточной для возбуждения плазмона с малым значением волнового вектора. В связи с этим в работе [1] рассмотрены условия возникновения плазмона: связанного состояния электронов и плазмонов. Указано, что суммирование всего ряда теории возмущений по параметру g = e2/πћνF, где e – заряда электрона; νF – фермиевская скорость движения носителя заряда, приводит к появлению полюсов у массового оператора, входящего в выражение, определяющее спектр электронов через полюса их функции Грина, что можно рассматривать как возникновение связанных состояний электронов и плазмонов. Автор работы [1] отмечает, что куперовское спаривание электронов также приводит к появлению полюсов у массового оператора и нулей функции Грина. Было показано, что один нуль функции Грина отвечает связанному состоянию электрона и плазмона, а другой – дырки и плазмона. Энергия связи этих состояний экспоненциально мала и при минимальной энергии носителей заряда определяется выражением вида:
∆ ≈ ωрexp(–8/g), (1)
где ωр – плазменная частота [1]. В связи с этим представляет интерес экспериментальное наблюдение связанных состояний электронов или дырок с плазмонами.
Известно, что возможность сближения энергий в электронном и плазмонном спектрах существует в ряде узкозонных полупроводников и полуметаллов, таких как, например, Bi, Bi1–xSbx, InSb, Cd1–xHgxTe, PbTe, Pb1–xSnxTe [2–8]. Действительно, концентрация свободных носителей заряда, определяющая значение плазменной частоты, в этих материалах принимает значения, при которых энергия плазмона становится сопоставима с шириной запрещенной зоны. Такая ситуация существует и в кристаллах твердых растворов Bi2Te3–Sb2Te3. В работе [9] описаны особенности, обнаруженные в температурном поведении магнитной восприимчивости кристаллов Bi2Te3–Sb2Te3. Установлено, что они наблюдаются при сближении энергий плазмона Ер и перехода носителей заряда между неэквивалентными экстремумами валентной зоны ∆Е. В ходе анализа информации о физических свойствах кристаллов Bi2Te3–Sb2Te3 были выявлены закономерности изменения указанных энергий от состава твердого раствора и температуры (рис. 1).
Рис. 1. Зависимости энергий плазмона Ер (1, 2) и перехода электронов между неэквивалентными экстремумами валентной зоны ∆Е (3, 4), в кристаллах Bi2Te3–Sb2Te3 при температурах 80 (1, 3) и 300 К (2, 4) [9].
Обнаружение взаимосвязи между физическими свойствами кристаллов, которые в настоящее время интенсивно исследуют, в том числе и как топологические изоляторы [10–19], и сближением энергий плазмона и электронных переходов послужило поводом для исследования оптических свойств кристаллов Bi2Te3–Sb2Te3. Особое внимание было уделено кристаллу Bi0.6Sb1.4Te3, в котором, в соответствии с рис. 1, можно ожидать усиления электрон-плазмонного взаимодействия при низких температурах, близких к температуре кипения жидкого азота, что благоприятно для возникновения связанного состояния электрона и плазмона, поскольку энергия их связи, в соответствии с выражением (1), мала и при высоких температурах может оказаться существенно меньше энергии теплового хаотического движения.
МЕТОДИКА И ТЕХНИКА ЭКСПЕРИМЕНТА
Исследованный в настоящей работе монокристалл был выращен методом Чохральского в Институте металлургии и материаловедения им. А.А. Байкова. В качестве исходных материалов использовали Te, Sb, Bi, содержащие 99.9999 масс. % основного вещества. Детальное описание контроля качества кристаллов и методики эксперимента приведено в работе [20].
Спектры коэффициента отражения фиксировали на инфракрасном Фурье-спектрометре IFS-113V (Bruker) в диапазоне от 370 до 2500 см–1, с разрешением 1 см–1. Исследование проводили в неполяризованном излучении в геометрии k||C3, E⊥C3, где k – волновой вектор, Е – вектор напряженности электрического поля электромагнитной волны, а C3 – ось симметрии третьего порядка кристалла. Угол падения излучения на границу раздела вакуум–вещество не превышал 8° от нормали, проведенной к зеркальной поверхности образца, перпендикулярной оси C3. Для определения коэффициента отражения образца проводили последовательное измерение спектров коэффициента отражения R образца и эталона и последующее их сравнение.
Температуру образца контролировали при помощи испарительного криостата, обеспечивавшего плавную регулировку температуры в диапазоне 78-300 K и ее стабилизацию с точностью не хуже 2 K.
ОПИСАНИЕ И АНАЛИЗ ЭКСПЕРИМЕНТАЛЬНЫХ РЕЗУЛЬТАТОВ
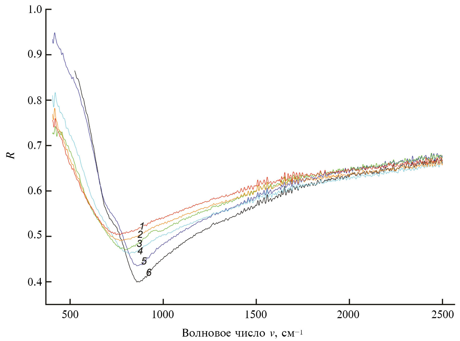
Спектры отражения кристалла Bi0.6Sb1.4Te3, полученные при температурах 78, 101, 173, 220, 250 и 292 К, представлены на рис. 2. Они имеют ярко выраженный плазменный край, что обусловлено резонансным взаимодействием электромагнитной волны и свободных носителей заряда, колеблющихся относительно ионного остова с собственной, плазменной частотой ωp, величина которой в случае многокомпонентной плазмы определяется выражением:
(2)
здесь e − заряд электрона; n и m* − концентрация и эффективная масса свободных носителей заряда соответственно; ε0 – диэлектрическая постоянная; ε∞ − высокочастотная диэлектрическая проницаемость. Суммирование осуществляли по всем группам свободных носителей заряда, участвующим в формировании отклика на внешнее воздействие. Из рис. 2 видно, что при уменьшении температуры минимум коэффициента отражения смещается в коротковолновую область спектра, что свидетельствует об увеличении плазменной частоты и энергии плазмона. Также видно, что при температурах меньше 173 К плазменный край существенно деформируется. Наблюдаемое изменение спектров коэффициента отражения свидетельствует о том, что плазма свободных носителей заряда испытывает влияние со стороны другого, дополнительного процесса, усиливающегося при уменьшении температуры.
Рис. 2. Спектры коэффициента отражения R кристалла Bi0.6Sb1.4Te3, полученные при температурах 292 (1); 250 (2); 220 (3); 173 (4); 101 (5); 78 К (6).
С целью более детального анализа полученных экспериментальных данных для всех спектров отражения, представленных на рис. 2, рассчитывали действительную ε1 и мнимую ε2 части функции диэлектрической проницаемости при помощи интегральных соотношений Крамерса–Кронига, связывающих амплитуду R и фазу θ отраженной волны выражением вида:
(3)
Обычно экспериментально определяют R(ω), а θ(ω) рассчитывают в соответствии с выражением (3). Зная R(ω) и θ(ω), можно восстановить частотные зависимости ε1 и ε2, поскольку для случая малого угла падения света на поверхность вещества можно применять следующие соотношения:
(4)
Рассчитанные по соотношениям (4) спектральные зависимости ε1 и ε2 использовали для восстановления спектральной зависимости функции энергетических потерь – Imε–1, – характеризующей интенсивность диссипации энергии электромагнитной волны в кристалле, в соответствии с выражением:
(5)
Полученные таким образом спектральные зависимости функции энергетических потерь – Imε–1 – представлены на рис. 3, из которого видно, что влияние некоторого процесса, усиливающееся при уменьшении температуры, приводит к расщеплению пика функции энергетических потерь на два максимума. Природу указанного процесса анализировали в работе [9], в которой отмечено, что некоторый процесс также является причиной появления особенностей температурных зависимостей магнитной восприимчивости кристалла Bi0.6Sb1.4Te3. В соответствии с данными, представленными на рис. 1, рассматриваемым процессом может быть электронный переход между неэквивалентными экстремумами валентной зоны с энергией ∆Е, энергия которого уменьшается при снижении температуры, и, таким образом, смещается навстречу увеличивающейся, как это видно из рис. 2, энергии плазмона [9].
Рис. 3. Спектральные зависимости функции энергетических потерь Imε–1, кристалла Bi0.6Sb1.4Te3 при температурах 78 (1); 101 (2); 173 (3); 292 К (4), рассчитанные при помощи соотношений Крамерса–Кронига из спектров коэффициента отражения R.
Как следует из теоретического анализа последствий сближения энергий плазмона и электронного перехода, выполненного в работах [21–25], в этом случае можно ожидать усиления плазменных колебаний за счет рекомбинации электронно-дырочных пар с испусканием плазмонов. Также отметим, что в работе [24] теоретически показана возможность формирования двух устойчивых состояний электронной системы в условиях вынужденного плазменного резонанса в полупроводнике, находящемся в переменном электрическом поле, в том случае, если энергия плазмона будет достаточна для возникновения ударной ионизации. Тогда, в соответствии с выражением (2), рост концентрации свободных носителей заряда приведет к увеличению плазменной частоты, а следовательно, к выходу системы из резонанса и прекращению процесса ударной ионизации. С другой стороны, процесс рекомбинации неравновесных носителей заряда, уменьшающий плазменную частоту и энергию плазмона, будет способствовать сближению Ер и ∆Е, и активации носителей заряда плазмонами. Аналогичный процесс может происходить и в исследованном кристалле Bi0.6Sb1.4Te3, с той только разницей, что электронный переход с уровня химического потенциала в подзону тяжелых дырок будет сопровождаться увеличением концентрации легких дырок и энергии плазмона.
Следовательно, стабилизация положения плазменного минимума, а соответственно, и пиков функции энергетических потерь, частота которых, как видно из рис. 3, не изменяется при уменьшении температуры от 101 до 78 К, может быть связана с процессом, теоретически описанном в работе [24].
ЗАКЛЮЧЕНИЕ
В заключение отметим, что разница в энергетическом положении пиков функции энергетических потерь, представленных на рис. 3 кривыми 1 и 2, составляет 13 мэВ. Это примерно в восемь раз меньше энергии плазмона в кристалле Bi0.6Sb1.4Te3 при температуре 101 К, что согласуется с выражением (1). В ходе предстоящих исследований планируется изучить возможность интерпретации наблюдаемого явления как проявление связанного состояния дырки и плазмона.
ФИНАНСИРОВАНИЕ РАБОТЫ
Исследование выполнено за счет гранта Российского научного фонда № 22-22-20055, при финансовой поддержке правительства Забайкальского края.
Конфликт интересов. Автор данной работы заявляет, что у него нет конфликта интересов.
Об авторах
Н. П. Степанов
Забайкальский государственный университет
Автор, ответственный за переписку.
Email: np-stepanov@mail.ru
Россия, 672038, Чита
Список литературы
- Дюгаев А.М. // Письма в ЖЭТФ. 1992. Т. 55. № 5. С. 2171.
- Gerlah E., Grosse P., Rautenberg M., Senske M. // Physica Status Solidi B. 1976. V. 75. Iss. 2. P. 553. https://doi.org/10.1002/pssb.2220750218
- Broerman J.G. // Phys. Rev. B. 1970. V. 2. P. 1818. https://doi.org/10.1103/PhysRevB.2.1818
- Grynberg M., Le Toulles R., Balkanski M. // Phys. Rev. B. 1974. V. 9. P. 517. https://doi.org/10.1103/PhysRevB.9.517
- Broerman J.G. // Phys. Rev. B. 1972. V. 5. P. 397. https://doi.org/10.1103/PhysRevB.5.397
- Nanabe A., Noguchi D., Mitsuishi A. // Physica Status Solidi B. 1978. V. 90. P. 157.
- Tussing P., Rosental W., Hang A. // Physica Status Solidi B. 1972. V. 52. P. 451.
- Alstrom P., Nielsen H.J. // J. Phys. C. Solid State Phys. 1981. V. 14. P. 1153.
- Степанов Н.П., Иванов М.С. // Физика и техника полупроводников. 2022. Т. 56. Вып. 12. С. 1103. https://www.doi.org/10.21883/FTP.2022.12.54508.4243
- Jung S.-J., Kim S.K., Park H.-H., Hyun D.-B., Baek S.-H., Kim J.-S. // J. Electronic Mater. 2014. V. 43. P. 1726. https://doi.org/10.1007/s11664-013-2851-1
- Meroz O., Elkabets N., Gelbstein Y. // ACS Appl. Energy Mater. 2020. V. 3. P. 2090. https://doi.org/10.1021/acsaem.9b02133
- Liu W., Chi H., Walrath J. C., Chang A. // Appl. Phys. Lett. 2016. V. 108. P. 043902. https://doi.org/10.1063/1.4940923
- Bulat L.P., Drabkin I.A., Osvenskii V.B., Parkhomen-ko Yu.N., Pshenay-Severin D.A., Sorokin A.I., Igoni-na A.A., Bublik V.T., Lavrentev M.G. // J. Electronic Mater. 2015. V. 44. P. 1846. https://www.doi.org/10.1007/s11664-014-3570-y
- Лукьянова Л.Н., Бойков Ю.А., Усов О.А., Дани- лов В.А., Волков М.П. // Физика и техника полупроводников. 2017. Т. 51. № 7. С. 880. https://www.doi.org/10.21883/FTP.2017.07.44632.18
- Xiaojian L., Chaogang L., Xin L., Yujie Z., Bo Y. // Phys. Rev. Appl. 2020. V. 13. P. 041002. https://doi.org/10.1103/PhysRevApplied.13.041002
- Zhang D., Shi M., Zhu T., Xing D., Zhang H., Wang J. // Phys. Rev. Lett. 2019. V. 122. P. 206401. https://www.doi.org/https://doi.org/10.1103/PhysRev Lett.122.206401
- Scipioni K.L., Wang Z., Maximenko Y., Katmis F., Stei-ner C., Madhavan V. // Phys. Rev. B. 2018. V. 97. P. 125150. https://www.doi.org/https://doi.org/10.1103/PhysRev B.97.125150
- Ou Y., Liu C., Jiang G., Feng Y., Zhao D., Wu W., Wang X.-X., Li W., Song C., Wang L.-L., Wang W., Wu W., Wang Y., He K., Ma X.-C., Xue Q.-K. // Adv. Mater. 2018. V. 30. P. 1703062. https://www.doi.org/10.7498/aps.72.20230690
- Gong Y., Guo J., Li J., Zhu K., Liao M., Liu X., Zhang Q., Gu L., Tang L., Feng X., Zhang D., Li W., Song C., Wang L., Yu P., Chen X., Wang Y., Yao H., Duan W., Xu Y., Zhang S.-C., Ma X., Xue Q.-K., He K. // Chinese Phys. Lett. 2019. V. 36. № 7. P. 076801. https://www.doi.org/10.1088/0256-307x/36/7/076801
- Степанов Н.П., Калашников А.А., Урюпин О.Н. // Физика и техника полупроводников. 2021. Т. 55. № 7. С. 586. https://www.doi.org/10.21883/FTP.2021.07.51023.9647
- Wolff P.A. // Phys. Rev. Lett. 1970. V. 24. P. 266. https://www.doi.org/https://doi.org/10.1103/Phys RevLett.24.266
- Барышев Н.С. // Физика и техника полупроводников. 1975. Т.9. № 10. С. 2023.
- Elci A. // Phys. Rev. B. 1977. V. 16. P. 5443. https://doi.org/10.1103/PhysRevB.16.5443
- Шикторов П.Н. // Физика и техника полупроводников. 1986. Т. 20. № 6. С. 1089.
- Jablan M. // Phys. Rev. B. 2020. V. 101. P. 224503. https://doi.org/10.1103/PhysRevB.101.224503
Дополнительные файлы





