Calorimetric and Volumetric Studies of Dislocations During Martensitic Transformations in Shape Memory TiNi Alloy
- Authors: Nechaev Y.S.1, Denisov E.A.2, Shurygina N.A.1, Sineva S.I.3, Misochenko A.A.4, Stolyarov V.V.4
-
Affiliations:
- Scientific Center of Metals Science and Physics, I.P. Bardin Central Research Institute for Ferrous Metallurgy
- Physics Department, St. Petersburg State University
- Physics Department, St. Petersburg Polytechnical University
- Blagonravov Mechanical Engineering Research Institute of RAS
- Issue: No 2 (2024)
- Pages: 18-25
- Section: Articles
- URL: https://ogarev-online.ru/1028-0960/article/view/257498
- DOI: https://doi.org/10.31857/S1028096024020035
- EDN: https://elibrary.ru/BDMFCZ
- ID: 257498
Cite item
Full Text
Abstract
Based on the use of appropriate approaches, methods and results of the analysis of a number of topical problems of physical materials science, an in-depth analysis has been done of calorimetric and volumetric data for direct, reverse and deformation martensitic transformations in a nanostructured Ti49.3Ni50.7 shape memory alloy obtained by cold rolling with simultaneous action of pulsed high-density current. For the first time, by applying a new technique for processing calorimetric spectra (peaks), the staging and “kinetics” of changes in heat content, as well as thermal effects (enthalpies of individual stages) during direct and reverse martensitic transformations during cooling or heating of samples at a constant rate (3 × K/ min) in the range 170–370 K has been done. It is shown, by processing volumetric data, using theoretical values of the dislocation density and elements of the classical theory of dislocations, that in the Ti49.3Ni50.7 shape memory alloy subjected to cold deformation accompanied by the action of a pulsed current, a deformation martensitic transformation occurs, leading to a positive volume effect (∆V/V) ≈ 3 × 10–3), which can be largely due to dislocations. It is shown, by applying the theoretical values of the dislocation density and elements of the classical theory of dislocations, that the possible contributions of dislocations to the enthalpies of direct and reverse martensitic transformations (in the Ti49.3Ni50.7 alloy) can and should be significantly lower in absolute value, but opposite in sign to the observed enthalpies of direct and reverse martensitic transformation in a given alloy. It is shown that the physics of the processes under consideration is contained to a certain extent in scientific discoveries No. 239 “The phenomenon of thermoelastic equilibrium during phase transformations of the martensitic type – the Kurdyumov effect” and No. 339 “The phenomenon of the formation of non-equilibrium grain boundaries in polycrystals when they absorb lattice dislocations”.
Full Text
ВВЕДЕНИЕ И ЦЕЛЬ ИССЛЕДОВАНИЯ
Проблема определения плотности дислокаций в металлах и сплавах при мартенситных превращениях до сих пор мало изучена. Экспериментальное определение плотности дислокаций в сплавах на основе железа, в которых имело место мартенситное превращение (при охлаждении), проведено, например, в работах [1–3]. В этих работах получены значения плотности дислокаций порядка 1011 см–2. Близкие теоретические значения плотности дислокаций для сплавов на основе железа, в которых прошло мартенситное превращение (при охлаждении), получены в работе [4], где при анализе использовали волновую модель [5, 6], в которой не принята во внимание роль углерода. Близкие эмпирические значения плотности дислокаций для мартенситных углеродистых сталей получены в аналитических обзорах [7, 8]. В этих работах использовали данные ионно-силовой микроскопии [9] и особое внимание уделяли роли углерода.
В связи с вышеизложенным, настоящая работа посвящена следующим малоизученным аспектам и проблемам.
Оценке возможного вклада дислокаций в объемный эффект (∆V/V > 0) при деформационном мартенситном превращении в сплаве TiNi с памятью формы, подвергнутом холодной плоской деформации, сопровождаемой воздействием импульсного тока высокой плотности. При анализе использованы объемометрические данные [10, 11] для рассматриваемого сплава, теоретические значения плотности дислокаций [4], а также общепризнанные и экспериментально подтвержденные элементы классической теории дислокаций [12, 13].
Изучению кинетики и стадийности изменения теплосодержания и тепловых эффектов, отвечающих энтальпии отдельных стадий при прямых и обратных мартенситных превращениях при охлаждении или нагреве сплава со скоростью 3 K/мин в интервале 170–370 K. При углубленной обработке калориметрических спектров [10, 11] сплава TiNi с памятью формы использованы элементы методики обработки термодесорбционных спектров водорода для различных материалов [14, 15].
Оценке возможного вклада дислокаций в наблюдаемую энтальпию прямых и обратных мартенситных превращений в сплаве TiNi с памятью формы с использованием теоретических значений плотности дислокаций [4] и элементов классической теории дислокаций [12, 13].
Рассмотрению физики мартенситного превращения в сплаве TiNi с памятью формы в свете научных открытий [16, 17].
ОБЪЕКТ ИССЛЕДОВАНИЯ И МЕТОДОЛОГИЯ
Объектом исследования являлся сплав Ti49.3Ni50.7 с памятью формы, который может находиться в двух структурных состояниях: крупнозернистом, со средним размером зерен порядка 60 мкм, и наноструктурированном, со средним размером зерен порядка 50 нм. Крупнозернистое состояние сплава получали закалкой образцов (полоски с сечением 2 × 7 мм2) в воду с 1073 K. Наноструктурированное состояние получали с помощью холодной плоской прокатки (с уменьшением толщины образца с 2 до 0.48 мм, скоростью прокатки 6 см/с, обжатием за проход 50 мкм), сопровождаемой воздействием импульсного тока (плотность тока 160 А/мм2, длительность импульса 80 мкс, частота импульсов 1000 Гц), и последующего отжига (при 723 K в течение 1 ч).
Данные электронной микроскопии для сплава (в каждом из состояний), в т.ч. информация о фазовом составе, представлены в работе [10, рис. 1, 2, 3, 7]; результаты механических испытаний представлены в [10, табл. 3; рис. 6].
Определение температур и тепловых эффектов фазовых переходов в сплаве (в каждом из состояний) проводили с использованием калориметра теплового потока ДСК-111 фирмы Setaram. Нагрев образцов проводили в алюминиевой ампуле на воздухе со скоростью 3 K/мин от комнатной температуры (около 290 K) до 373 K без регистрации теплового потока. Затем выполняли охлаждение образцов от 373 до 173 K и последующий нагрев от 173 до 373 K с той же скоростью 3 K/мин и с регистрацией теплового потока.
Калориметрические спектры для образцов сплава в крупнозернистом и наноструктурированном состояниях представлены в работе [10, рис. 4, 5; табл. 2]. При охлаждении образцов от 373 K до 173 K и последующем нагреве до 373 K на спектрах проявились пики прямого и обратного мартенситного превращения.
Объемометрические данные, полученные посредством определения плотности материала по стандарту ASTM C373-88 (классический метод гидростатического взвешивания) для различного образцов сплава в крупнозернистом и наноструктурированном состояниях, представлены в работе [10, табл. 1]. В наноструктурированных образцах, не подвергнутых постдеформационному отжигу, обнаружено проявление “деформационного” мартенситного превращения.
Методология, результаты анализа и интерпретации отмеченных выше данных [10] представлены ниже.
РЕЗУЛЬТАТЫ ИССЛЕДОВАНИЯ
Определение кинетики выделения или поглощения тепловой энергии и суммарных тепловых эффектов при мартенситном превращении сплава TiNi
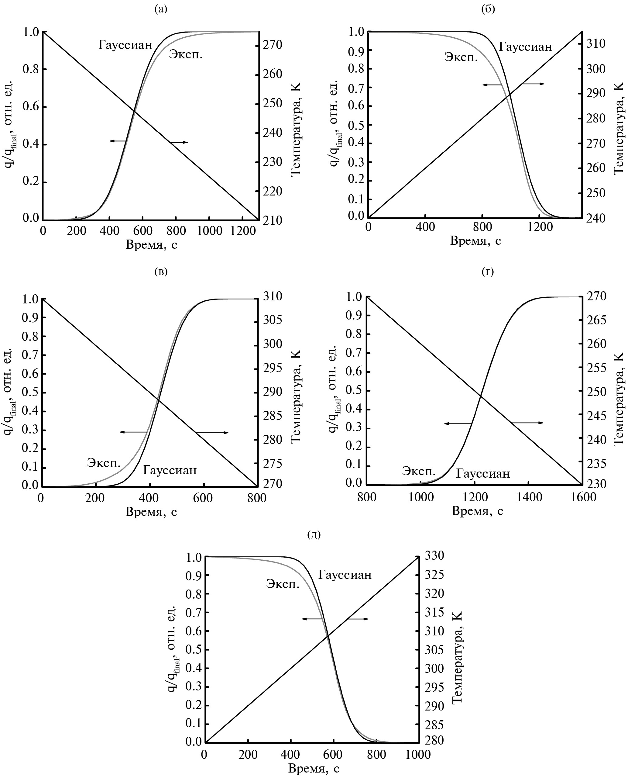
В настоящей работе полученные ранее калориметрические спектры [10, рис. 4, 5] аппроксимировали гауссианами (рис. 1, 2) и получали, посредством соответствующей обработки гауссианов и экспериментальных калориметрических пиков, кинетические кривые выделения (q > 0) или поглощения (q < 0) тепловой энергии в образцах, а также суммарные тепловые эффекты (q) и энтальпию процессов (∆H = –q), отвечающие отдельным гауссианам (рис. 3, табл. 1). Использовали элементы методологии, развитой в [14, 15] для обработки и анализа термодесорбционных спектров водорода в различных материалах.
Рис. 1. Аппроксимация гауссианами (методология [14, 15]) калориметрических спектров (пиков) из работы [10, рис. 4]. Номер гауссина на рисунке сответствует номеру в табл. 1, “Σ” – сумма гауссианов (серая пунктирная линия), “Эксп.” – экспериментальная кривая (сплошная черная кривая)
Рис. 2. Аппроксимация гауссианами (методология [14, 15]) калориметрических спектров (пиков) из работы [10, рис. 5]. Номер гауссина на рисунке сответствует номеру в табл. 1, “Σ” – сумма гауссианов (серая пунктирная линия); “Эксп.” – экспериментальная кривая (сплошная черная кривая)
Рис. 3. Определение (из рис. 1а, 1в, 2а, 2в) кинетических кривых (методология [14, 15]) изменения теплосодержания в сплаве Ti49.3Ni50.7 с памятью формы при прямых и обратных мартенситных превращениях при охлаждении или нагреве с постоянной скоростью (3 K/мин) в интервале 170–370 K. “Эксп.” – экспериментальная кривая (серая сплошная линия), “Гауссиан” – результат обработки гауссиана (черная сплошная линия)
Таблица 1. Результаты аппроксимации гауссианами калориметрических спектров [10, рис. 4, 5]: A – аустенит; M – мартенсит; R – “промежуточный” мартенсит; Tmax – температура наибольшего теплового потока для данного гауссиана; γ – доля спектра, отвечающая данному гауссиану; q – тепловой эффект процесса (q > 0 при выделении тепла); ∆H – энтальпия процесса
Номер гауссиана на рис., (номер рис.), процесс | Tmax, K | γ | q = –∆H, Дж/г | q = –∆H, Дж/г [10] |
1, (1a), A → M [10] | 249 | ~1.0 | 17.5 | 17.9 |
1, (1б) | 245 | 0.32 | 5.8 | – |
2, (1б) | 249 | 0.68 | 12.3 | – |
1, (1в), M → A [10] | 292 | ~1.0 | –18.6 | –21.0 |
1, (1г) | 287 | 0.53 | –10.6 | – |
2, (1г) | 294 | 0.47 | –9.3 | – |
1, (2а), R → M [10] | 248 | 0.65 | 7.8 | 7.9 |
2, (2а), A → R [10] | 288 | 0.35 | 4.2 | 4.7 |
1, (2б), R → M [10] | 248 | 0.63 | 7.8 | 7.9 |
2, (2б) | 288 | 0.20 | 2.5 | – |
3, (2б) | 290 | 0.17 | 2.1 | – |
1, (2в), A → M [10] | 309 | ~1.0 | –17.5 | –18.4 |
1, (2г) | 309 | 0.72 | –13.2 | – |
2, (2г) | 310 | 0.28 | –5.2 | – |
1, (2д) | 306 | 0.19 | –3.7 | – |
2, (2д) | 309 | 0.65 | –12.2 | – |
3, (2д) | 310 | 0.16 | –3.0 | – |
Уместно напомнить определение мартенситного превращения как специфического (бездиффузионного) кооперативного превращения [1]. Как отмечено в [4], мартенситное превращение реализуется во многих кристаллических материалах, имеет кооперативный характер и протекает, как правило, с признаками фазового перехода первого рода. Попытки интерпретации гетерогенного зарождения на основе традиционных представлений о существовании квазиравновесных зародышей новой фазы, с одной стороны, не подкрепляются надежными наблюдениями подобных зародышей (проблема ненаблюдаемости зародышей), а с другой стороны, не позволяют адекватно интерпретировать богатую совокупность наблюдаемых особенностей мартенситного превращения, в т.ч. отмечаемую в ряде работ [1–3, 7, 8] высокую плотность дислокаций.
Поэтому представляется целесообразным изучение “кинетики” выделения или поглощения тепловой энергии и суммарных тепловых эффектов (энтальпий процессов), отвечающих отдельным пикам (гауссианам) калориметрического спектра, а также оценка возможного вклада дислокаций в энтальпии прямых и обратных мартенситных превращений.
Оценка возможного вклада дислокаций в объемный эффект при деформационном мартенситном превращении
Вклад дислокаций в объемный эффект, определяемый из объемометрических данных в работе [10, табл. 1], можно оценить как:
, (1)
где b – величина наименьшего вектора Бюргерса для мартенситной фазы, ρ ≈ 1010–1012 см–2 – теоретические значения плотности дислокаций [4]. Отсюда можно получить величину (∆V/V ≈ 3 × 10–3), близкую к определяемой из объемометрических данных [10].
Принимая во внимание представленные в [10] данные растровой и просвечивающей электронной микроскопии и результаты механических испытаний, а также результаты [17–23], можно предполагать, что дислокации локализованы в нанообластях вблизи границ зерен. Следует отметить, что локальная плотность дислокаций может достигать предельных значений, близких к таковым в нанообластях предельно неравновесных границ зерен в металлических материалах, подвергнутых интенсивному деформированию [17–22].
Следует отметить, что физика мартенситных превращений в Ti–Ni сплавах с памятью формы в значительной мере отвечает явлению термоупругого равновесия при фазовых превращениях мартенситного типа – эффекту Курдюмова [16], а также явлению образования в поликристаллах неравновесных границ зерен при поглощении ими решеточных дислокаций [17].
Обсуждение стадийности и тепловых эффектов (энтальпии) отдельных стадий
В настоящей работе полагали, что тепловой эффект процесса (стадии) равен энтальпии процесса, но с противоположным знаком (q = –∆H), как это принято в термохимии, где q рассматривают в качестве одного из продуктов реакции. Анализ результатов, представленных в табл. 1 и на рис. 1, 2, приводит к следующим промежуточным выводам.
Для крупнозернистых образцов при их охлаждении [10, рис. 4] наблюдаемый положительный калориметрический пик qпик = 17.9 Дж/г [10, табл. 2], который соответствует выделению тепла, целесообразно аппроксимировать двумя гауссианами (рис. 1б, табл. 1) с положительными тепловыми эффектами (qГ1 = 5.8 Дж/г и qГ2 = 12.3 Дж/г), сумма которых (18.1 Дж/г) близка к значению qпик. Это отвечает двухстадийному процессу. Наблюдаемый для крупнозернистых образцов при их нагреве [10, рис. 4] отрицательный (поглощение тепла) калориметрический пик qпик = –21.0 Дж/г [10, табл. 2], который соответствует поглощению тепла, целесообразно аппроксимировать также двумя гауссианами (рис. 1г, табл. 1) с отрицательными тепловыми эффектами (qГ1 = –10.6 Дж/г и qГ2 = = –9.3 Дж/г), сумма которых (–19.9 Дж/г) близка к qпик.
Для наноструктурированных образцов при их охлаждении [10, рис. 5] два наблюдаемых положительных калориметрических пика qпик1 = = 7.9 Дж/г и qпик2 = 4.7 Дж/г [10, табл. 2] целесообразно аппроксимировать тремя гауссианами, т.е. рассматривать как трехстадийный процесс (рис. 2б, табл. 1) с положительными тепловыми эффектами (qГ1 = 7.8 Дж/г, qГ2 = 2.5 Дж/г и qГ3 = = 2.1 Дж/г). Отметим, что величина qГ1 близка к величине qпик1, а сумма величин qГ2 и qГ3 близка к величине qпик2. Наблюдаемый для наноструктурированных образцов при их нагреве [10, рис. 5] отрицательный калориметрический пик qпик = = –18.4 Дж/г [10, табл. 2] целесообразно описать двумя гауссианами (рис. 2г, табл. 1) с отрицательными тепловыми эффектами (qГ1 = –13.2 Дж/г и qГ2 = –5.2 Дж/г), сумма которых (–18.4 Дж/г) соответствует qпик.
Следует отметить, что суммарные тепловые эффекты при охлаждении крупнозернистых и наноструктурированных образцов (18.1 и 12.4 Дж/г соответственно) существенно меньше по абсолютной величине, чем таковые при нагреве этих же образцов (–19.9 и –18.4 Дж/г соответственно).
Отмеченные выше аспекты подтверждают целесообразность рассмотрения стадийности процессов и показывает необходимость их дальнейших исследований. Вместе с тем, следует отметить, что полученные значения энтальпии прямого и обратного мартенситного превращений (табл. 1) согласуются (как по абсолютной величине, так и по знаку) с результатами работ [24, 25].
Оценка возможного вклада дислокаций в энтальпию мартенситного превращения
Оценку вклада дислокаций можно сделать при помощи выражения:
, (2)
где µ – модуль сдвига для мартенситной фазы; (µb2) – основная составляющая энергии дислокации единичной длины [12, 13]; ρ ≈ 1010–1012 см–2 – теоретические значения плотности дислокаций [4].
Отсюда можно получить значения qdisl = –∆Hdisl для прямого и обратного превращений, близкие по величине, но противоположные по знаку к значениям q = –∆H, представленным в табл. 1.
ЗАКЛЮЧЕНИЕ
Впервые детально изучены для сплава Ti49.3Ni50.7 с памятью формы стадийность и “кинетика” изменения теплосодержания, а также тепловые эффекты (энтальпия) отдельных стадий для прямых и обратных мартенситных превращений при охлаждении или нагреве с постоянной скоростью в интервале 170–370 K.
Использование теоретических значений плотности дислокаций и элементов классической теории дислокаций показало, что вклады дислокаций в энтальпии прямых и обратных мартенситных превращений в исследованном сплаве могут и должны быть значительно ниже по абсолютной величине, но противоположными по знаку наблюдаемым энтальпии прямого и обратного мартенситного превращения в этом сплаве.
Обработка объемометрических данных, а также использование теоретических значений плотности дислокаций и элементов классической теории дислокаций позволили выявить, что в сплаве Ti49.3Ni50.7 с памятью формы, подвергнутом холодной плоской деформации (прокаткой), сопровождаемой воздействием импульсного тока, протекает деформационное мартенситное превращение, приводящее к существенному увеличению объема образца, или объемному эффекту (∆V/V ≈ 3 × 10–3), который в значительной мере может быть обусловлен дислокациями.
Показано, что физика рассматриваемых процессов в определенной мере согласуется с изложенными в работах [16, 17] явлениями.
Конфликт интересов. Авторы заявляют, что у них нет конфликта интересов.
About the authors
Yu. S. Nechaev
Scientific Center of Metals Science and Physics, I.P. Bardin Central Research Institute for Ferrous Metallurgy
Author for correspondence.
Email: yuri1939@inbox.ru
Russian Federation, Moscow
E. A. Denisov
Physics Department, St. Petersburg State University
Email: yuri1939@inbox.ru
Russian Federation, St. Petersburg
N. A. Shurygina
Scientific Center of Metals Science and Physics, I.P. Bardin Central Research Institute for Ferrous Metallurgy
Email: yuri1939@inbox.ru
Russian Federation, Moscow
S. I. Sineva
Physics Department, St. Petersburg Polytechnical University
Email: yuri1939@inbox.ru
Russian Federation, St. Petersburg
A. A. Misochenko
Blagonravov Mechanical Engineering Research Institute of RAS
Email: yuri1939@inbox.ru
Russian Federation, Moscow
V. V. Stolyarov
Blagonravov Mechanical Engineering Research Institute of RAS
Email: yuri1939@inbox.ru
Russian Federation, Moscow
References
- Курдюмов Г.В., Утевский Л.М., Энтин Р.И. Превращения в железе и стали. М.: Наука, 1977. 240 с.
- Этерашвили Т.В., Утевский Л.М., Спасский М.Н. // ФММ. 1979. Т. 49. С. 807.
- Родионов Д.П., Счастливцев В.М. Стальные монокристаллы. Екатеринбург: УрО РАН, 1996. 275 с.
- Кащенко М.П., Кащенко Н.М., Чащина В.Г. // ФТТ. 2019. Т. 61. Вып. 12. С. 2274. https://doi.org/10.21883/FTT.2019.12.48532.04ks
- Кащенко М.П. Волновая модель роста мартенсита при γ—α превращении в сплавах на основе железа. Изд. 2-е. М.−Ижевск: НИЦ “Регулярная и хаотическая динамика”. Ижевский институт компьютерных исследований, 2010. 280 с.
- Кащенко М.П., Чащина В.Г. Динамическая модель формирования двойникованных мартенситных кристаллов при γ−α превращении в сплавах на основе железа. Екатеринбург: Урал. гос. лесотехн. ун-т, 2009. 98 с.
- Нечаев Ю.С. // УФН. 2008. Т. 178. № 7. С. 709. https://doi.org/10.3367/UFNr.0178.200807b.0709
- Нечаев Ю.С. // УФН. 2011. Т. 181. № 5. С. 483. https://doi.org/10.3367/UFNr.0181.201105b.0483
- Wild J., Cerezo A., Smith G.D.W. // Scripta Mater. 2000. V. 43. P. 39. https://www.doi.org/10.1016/S1359-6462(00)00361-4
- Misochenko A.A., Kumar J.V.T., Jayaprakasam S., Padmanabhan K.A., Stolyarov V.V. // Defect and Diffusion Forum. 2018. V. 385. P. 169. https://doi.org/10.4028/www.scientific.net/DDF.385.169
- Потапова А.А. (Мисоченко А.А.). Структура и свойства конструкционных сплавов на основе TiNi, подвергнутых прокатке с импульсным током. Дис. канд. технических наук: 05.16.09. Москва, МГУ, 2014. 141 с.
- Фридель Ж. Дислокации. М.: Мир, 1967. 660 с.
- Хирт Дж., Лоте И. Теория дислокаций. М.: Атом- издат, 1972. 600 c.
- Nechaev Yu.S., Alexandrova N.M., Cheretaeva A.O., Kuznetsov V.L., Öchsner A., Kostikova E.K., Zai- ka Yu.V. // Int. J. Hydrogen Energy. 2020. V. 45. № 46. P. 25030. https://www.doi.org/10.1016/j.ijhydene. 2020.06.242
- Нечаев Ю.С., Александрова Н.М., Шурыгина Н.А., Черетаева А.О., Денисов Е.А., Костикова Е.К. // Известия РАН. Серия Физическая. 2021. Т. 85. № 7. С. 918. https://www.doi.org/10.31857/S0367676521070164
- Научное открытие 239 (СССР). Явление термоупругого равновесия при фазовых превращениях мартенситного типа – эффект Курдюмова. / Курдюмов Г.В., Хандрос Л.Г. // Б.О.И. 1980.
- Научное открытие 339 (СССР). Явление образования в поликристаллах неравновесных границ зерен при поглощении ими решеточных дислокаций. / Кайбышев О.А., Валиев Р.З. // Б.О.И. 1987. № 7.
- Nechaev Yu.S. // Defect and Diffusion Forum. 2018. V. 385. P. 120.
- Sundeev R.V., Shalimova A.V., Glezer A.M., Nosova G.I., Gorshenkov M.V., Pechina E.A. Glezer A.A. // Mater. Sci. Eng. A. 2017. V. 679. P. 1.
- Divinski S.V., Reglitz G., Rösner H., Wilde G., Estrin Y. // Acta Materialia. 2011. V. 59. Iss. 5. P. 1974.
- Валиев Р.З., Кайбышев О.А. // Доклады АН СССР. 1980. Т. 239. С. 91.
- Валиев Р.З., Кайбышев О.А. // Доклады АН СССР. 1977. Т. 236. № 2. С. 339.
- Zhang Q., Song W.P., Li X.H., Stolyarov V.V., Zhang X.Y. // Mater. Sci. Technol. 2016. V. 32. P. 1200. https://www.doi.org/10.1080/02670836.2015.1114206
- Гюнтер В.Э., Матюнин А.Н., Монасевич Л.А. // ИПФ. 1993. № 1. С. 42.
- Егоров С.А., Волков А.Е. // Журнал технической физики. 2017. Т. 87. В. 2. С. 204.
Supplementary files





