Choice of the Target Material for a Compact Neutron Source at a Proton Energy of 20–100 MeV
- Autores: Moroz А.R.1,2, Kovalenko N.A.1
-
Afiliações:
- National Research Center “Kurchatov Institute”–PNPI
- Saint Petersburg State University
- Edição: Nº 7 (2023)
- Páginas: 71-76
- Seção: Articles
- URL: https://ogarev-online.ru/1028-0960/article/view/137784
- DOI: https://doi.org/10.31857/S1028096023070099
- EDN: https://elibrary.ru/TCMDFW
- ID: 137784
Citar
Texto integral
Resumo
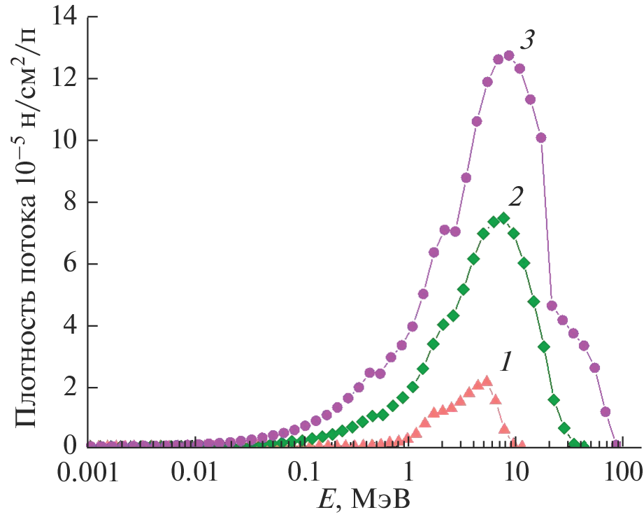
Be, Nb, Ta and W are considered as candidate target materials for a compact neutron source. The thermal characteristics and the hydrogen diffusion coefficients are taken into account. Using the simulation of particle transport in the PHITS program, estimates are obtained for the neutron yield when the target is irradiated with protons of various energies. Different optimal materials correspond to different energy ranges. The best results at energies up to 20 MeV are shown by Be, 20–35 MeV by Nb, and above 35 MeV by Ta. The last two materials have an increased blistering resistance compared to beryllium, but lose in thermal conductivity. An increase in the energy of incident protons also leads to an increase in the number of neutrons generated per one source proton due to a reduced time of the Coulomb interaction between a particle and the target atom nucleus.
Palavras-chave
Sobre autores
А. Moroz
National Research Center “Kurchatov Institute”–PNPI; Saint Petersburg State University
Autor responsável pela correspondência
Email: moroz_ar@pnpi.nrcki.ru
Russia, 188300, Gatchina; Russia, 199034, St. Petersburg
N. Kovalenko
National Research Center “Kurchatov Institute”–PNPI
Email: moroz_ar@pnpi.nrcki.ru
Russia, 188300, Gatchina
Bibliografia
- Low Energy Accelerator-Driven Neutron Sources: Rep. League of Advanced European Neutron Sources; Executor: hoc working group CANS LENS Ad, 2020.
- Tаскаeв С.Ю. // Физика элементарных частиц и атомного ядра. 2015. Т. 46. Вып. 6. С. 1770.
- Sordo F., Fernández-Alonso F., Terrón S., Magán M., Ghiglino A., Martinez F., Bermejo F.J., Perlado J.M. // Phys. Procedia. 2014. V. 60. P. 125.
- Gutberlet T. Conceptual Design Report-Jülich High Brilliance Neutron Source (HBS). Forschungszentrum Jülich GmbH, Zentralbibliothek, Verlag, 2020.
- Annighofer S.N., Meuriot J.-L., Tessier O., Permingeat P., Sauce Y., Chauvin N., Senee F., Schwindling J., Ott F. A Solid Beryllium Target Design for SONATE // Proc. Int. Symposium UCANS8. Paris, France, July, 8–11, 2019.
- Мурзина Е.А. Взаимодействие излучений высокой энергии с веществом: Учеб. пособие. М.: Изд-во МГУ, 1990. 369 с.
- Yamagata Y., Hirota K., Ju J., Wang S., Morita S.Y., Kato J.I., Otake Y., Taketani A., Sek, Y., Yamada M., Ota H., Bautista U., Jia Q. // J. Radioanal. Nucl. Chem. 2015. V. 305. № 3. P. 787.
- Ferry L., Virot F., Ferro Y., Matveev D., Linsmeier C., Barrachin M. // J. Nucl. Mater. 2019. V. 524. P. 323.
- Liu Y.N., Wu T., Yu Y., Li X.C., Shu X., Lu G.H. // J. Nucl. Mater. 2014. V. 455. № 1–3. P. 676.
- Wipf H. // Phys. Scripta. 2001. V. 2001. № T94. P. 43.
- Bauer H.C., Völkl J., Tretkowski J., Alefeld G. // Z. Physik. B. 1978. B. 29. № 1. S. 17.
- Ziegler J.F., Ziegler M.D., Biersack J.P. // Nucl. Instrum. Methods Phys. Res. B. 2010. V. 268. № 11–12. P. 1818.
- Немец О.Ф., Гофман Ю.В. Справочник по ядерной физике. Киев, Наукова думка, 1975. 416 с.
- Sato T., Iwamoto Y., Hashimoto S., Ogawa T., Furuta T., Abe S.I., Kai T., Tsai P.-E., Matsuda N., Iwase H., Shigyo N., Sihver L., Niita K. // J. Nucl. Sci. Technol. 2018. V. 55. № 6. P. 684.
- Koning A.J., Rochman D., Sublet J.C., Dzysiuk N., Fleming M., Van der Marck S. // Nucl. Data Sheets. 2019. V. 155. P. 1.
- Boudard A., Cugnon J., David J.C., Leray S., Mancusi D. // Phys. Rev. C. 2013. V. 87. № 1. P. 014606.
- Zakalek P., Doege P.E., Baggemann J., Mauerhofer E., Brückel T. // EPJ Web Conf. 2020. V. 231. P. 03006.
- Аксенов В.Л. // Физика элементарных частиц и атомного ядра. 1995. Т. 26. Вып. 6. С. 1449.
- Ditroi F., Hermanne A., Corniani E., Takacs S., Tárkányi F., Csikai J., Shubin Y.N. // Nucl. Instrum. Methods Phys. Res. B. 2009. V. 267. № 19. P. 3364.
Arquivos suplementares





