Assessment of the water and mass balance in the landfill body by modelling using the example of the Dubna city landfill
- Authors: Pozdnyakova I.A.1
-
Affiliations:
- Sergeev Institute of Environmental Geoscience, Russian Academy of Sciences
- Issue: No 2 (2024)
- Pages: 66-75
- Section: MODELS IN ENGINEERING GEOLOGY AND HYDROGEOLOGY
- URL: https://ogarev-online.ru/0869-7809/article/view/264603
- DOI: https://doi.org/10.31857/S0869780924020066
- EDN: https://elibrary.ru/DZPDHR
- ID: 264603
Cite item
Full Text
Abstract
To predict the migration of pollutants in groundwater from the landfill site, it is necessary to know the infiltration rate and the concentration of pollutants in the moisture entering the groundwater level below the landfill. It is shown that the HELP program for calculating moisture transport in the unsaturated zone can be used to estimate the infiltration rate by the example of the municipal solid waste in Dubna, To estimate chloride ion concentration in the leachate entering the groundwater level, the VS2DT program for calculating the transport of pollutants with moisture in the unsaturated zone can be used. It is shown how uncertainty and insufficiency of information about the landfill site affects the estimation of these parameters, in what cases it is possible to use information about a similar dump, how test calculations help to verify hypotheses of formation of groundwater pollution under the landfill. The ranges of infiltration rate and chloride ion concentrations in moisture entering the groundwater level under the landfill body obtained as a result of calculations of the water and mass balance of the landfill in Dubna were further used to calculate the chloride ion transport in groundwater.
Full Text
ВВЕДЕНИЕ
Влияние свалочных тел на полигонах твердых коммунальных отходов (ТКО) на подземные воды заключается в том, что они долгие годы могут поставлять вместе с фильтратом в подземные воды загрязняющие вещества (ЗВ). Фильтрат – влага, образующаяся при просачивании атмосферных осадков через толщу отходов и стекающая на уровень подземных вод (УПВ) под свалкой. ЗВ поступают в фильтрат из отходов в результате простых реакций их растворения или сложных биохимических процессов разложения. При поступлении фильтрата на УПВ под свалочным телом происходит его разбавление чистыми водами, поступающими с соседних участков. Далее ЗВ переносятся потоком подземных вод в направлении их движения.
Степень влияния свалочного тела на загрязнение подземных вод определяется количеством фильтрата, концентрацией ЗВ в нем, степенью разбавления чистыми подземными водами, скоростью и дальностью переноса ЗВ с потоком. Для прогноза переноса загрязнения подземными водами необходимо оценить количество фильтрата и концентрации ЗВ в нем. Количество влаги, являющееся инфильтрационным питанием и поступающее на УПВ, можно рассчитать, как статью водного баланса свалочного тела при помощи программы [11]. Программа HELP была создана для составления и обоснования проектов свалок, но широко используется и для оценок утечек фильтрата в подземные воды [4–8].
Зная инфильтрацию и концентрацию ЗВ в фильтрате, можно рассчитать концентрацию ЗВ во влаге, достигающей УПВ, с помощью программы VS2DT по расчету миграции ЗВ в ненасыщенной зоне [9], а в дальнейшем использовать полученные величины для прогноза миграции ЗВ в подземных водах.
В качестве объекта исследования был выбран полигон ТКО “Дубна Правобережная”, который находится в Городском округе Дубна на северо-западе Московской области. Полигон функционировал 30 лет, за это время на площади 42000 м2 было складировано около 400 000 т ТКО. По данным инженерно-геологических изысканий, проводившихся при разработке проекта рекультивации полигона, высота свалочного тела в центральной части составляла 17–19 м, на периферии – от 1 до 5 м. Свалочное тело представляет собой чередование слоев отходов мощностью 5 м и суглинков мощностью 0.5–0.6 м. ТКО состоят из пластика, стекла, металла, древесины, текстиля, бумаги, пищевых остатков и других органических отходов. С поверхности свалочное тело перекрыто песчано-глинистым грунтом мощностью 0.6 м.
РАСЧЕТ ВОДНОГО БАЛАНСА СВАЛОЧНОГО ТЕЛА
Методика исследований
Кроме атмосферных осадков, в фильтрат свалочного тела поступает влага из отходов, как удерживаемая и высвобождающаяся при их уплотнении, и как продукт биохимических реакций [7]. Кроме того, свалочное тело часто поливают с поверхности водой для избежания возгорания. Влага, поступающая в фильтрат из перенасыщенных отходов, может быть основным источником водного баланса свалок, если месячные объемы фильтрата в несколько раз превышают месячные атмосферные осадки. В полузасушливых и засушливых регионах образование фильтрата связано главным образом с биохимическими процессами [10].
В данном исследовании при расчете водного баланса свалочного тела предполагается, что источником фильтрата являются атмосферные осадки, и никакие другие источники и механизмы образования фильтрата не учитывались.
На количество фильтрата, образующегося за счет атмосферных осадков, влияют плотность, влажность и коэффициент фильтрации отходов. При проведении полевых исследований свалочных тел в разное время в нескольких странах было отмечено увеличение плотности и снижение проницаемости отходов по глубине [12], а также наличие нескольких зон в свалочном теле по направлению от центра к краям с разными профилями влажности и способностью задерживать влагу [10]. Так как параметры ТКО на полигоне в Дубне не определялись, то в расчетах водного баланса использованы данные, приводимые в публикациях и базах данных, а изменения параметров свалочного тела с глубиной и по площади не учитывались.
Расчет водного баланса свалочного тела на полигоне ТКО в Дубне выполнен при помощи программы HELP, которая представляет гидрологическую модель водного баланса полигонов (открытых и закрытых с поверхности) и других сооружений складирования ТКО. Программа разработана в США Агентством по охране окружающей среды (US EPA) для выбора и проектирования оптимальной конструкции полигона ТКО в отношении обеспечения минимальных утечек фильтрата в подземные воды на основе анализа водного баланса свалочного тела. Программа позволяет учесть в конструкции полигонов различные комбинации составляющих его элементов: растительность, насыпной грунт, отходы, боковой дренаж, изолирующие грунты с низкой проницаемостью и синтетические геомембранные вкладыши.
В балансовых расчетах предполагается, что атмосферные осадки, попадающие на поверхность свалочного тела (в том числе в результате снеготаяния), сначала тратятся на поверхностный сток, затем на эвапотранспирацию (поглощение влаги растениями и испарение с поверхности растений и свалки) и впитывание влаги почвой. Оставшаяся после этого влага стекает под действием гравитации к основанию свалки или до дренирующих слоев.
Для расчета водного баланса используется около 10 расчетных модулей и 3 блока данных: климатический; свойства материала, составляющего свалочное тело и пород зоны аэрации; проектные решения организации полигона (покрытие, изоляция, дренаж).
Расчет водного баланса начинается с климатического блока. Водный баланс свалочного тела рассчитывается посуточно, что требует задания для каждых суток расчетного периода климатических данных: осадки, температура воздуха, инсоляция. Специальная программа в климатическом модуле Weather Generator позволяет на основе имеющихся за годовой период среднемесячных температур воздуха и осадков стохастически сгенерировать посуточные климатические данные для расчетного периода любой продолжительности.
Движение влаги в свалочном профиле рассматривается как квазидвумерное:
- вертикальное − гравитационное стекание через насыпные грунты, свалочное тело, слабопроницаемые грунты и изолирующие искусственные мембраны;
- горизонтальное – в слоях, дренирующих свалочное тело.
Гравитационное стекание рассчитывается по закону Дарси для зоны неполного насыщения, при этом для связи коэффициента фильтрации с коэффициентом влагопереноса и высоты всасывания с влажностью используется соотношение Брукса-Кори. Для расчета переноса влаги программа HELP содержит большую базу данных гидрофизических свойств (общая пористость, полевая влагоемкость, влажность увядания и коэффициент фильтрации в условиях насыщения и др.) более 42-х типов материалов, составляющих свалочное тело: отходов, пород, геомембран.
В выполненных расчетах водного баланса свалочного тела на полигоне в Дубне для получения среднемноголетних значений количества осадков, поверхностного стока, эвапотранспирации и инфильтрации расчетный период составлял 100 лет. Для генерации суточных показателей осадков и температуры в течение 100 лет были использованы данные метеостанции № 27612, расположенной в г. Москва на территории Выставки достижений народного хозяйства, по месячным осадкам и температуре, осредненным за последние 60 лет (табл. 1).
Таблица 1. Среднемноголетние месячные осадки и температура*
Месяц | I | II | III | IV | V | VI | VII | VIII | IX | X | XI | XII |
Осадки, мм | 49.2 | 40.4 | 36.9 | 40.5 | 56.1 | 75.7 | 88.7 | 78.1 | 67.5 | 65.3 | 55.6 | 53.1 |
T, °С | –10.2 | –9.2 | –4.3 | 4.4 | 11.9 | 16 | 18.1 | 16.3 | 10.7 | 4.3 | –1.9 | –7.3 |
*Источник информации: доступ к данным (meteo.ru).
Результаты расчета водного баланса выводятся программой для каждых суток, месяца, года и суммарно за расчетный период. Пример сгенерированных программой в многолетнем разрезе годовых осадков показан на рис. 1.
Рис. 1. Годовое количество осадков в Москве в течение 100-летнего периода, мм.
При расчетах водного баланса профиль свалочного тела принимался в двух вариантах: (1) состоящий полностью из отходов и (2) в виде переслаивания отходов и слабопроницаемых суглинков. То есть вариант 2 был близок к реальному строению свалочного тела (рис. 2).
Рис. 2. Строение свалочного тела (вар. 2): 1 – песчано-глинистый насыпной грунт; 2 – отходы; 3 – насыпной суглинок; 4 – суглинок моренный; 5 – уровень подземных вод.
Расчетный профиль ненасыщенной зоны включал 9 слоев до кровли водоносного горизонта, из них 8 – в свалочном теле, и 1 – в моренных суглинках (табл. 2). Гидрофизические характеристики слоев подбирались из базы данных HELP, публикаций и результатов инженерно-геологических исследований при рекультивации полигона ТКО в Дубне.
Таблица 2. Расчетный профиль ненасыщенной зоны свалочного тела (вар. 2)
Номер слоя | Тип материала | Мощность, м | Коэффициент фильтрации, м/сут | Источник информации* |
1 | Песчано-глинистый насыпной грунт | 0.6 | 0.44 | А |
2 | Отходы | 1.0 | 0.78 | Б |
3 | Суглинок насыпной | 0.6 | 0.1 | А |
4 | Отходы | 6.0 | 0.78 | Б |
5 | Суглинок насыпной | 0.6 | 0.1 | А |
6 | Отходы | 5.7 | 0.78 | Б |
7 | Суглинок насыпной | 1.0 | 0.1 | А |
8 | Отходы | 2.7 | 0.78 | Б |
9 | Суглинок моренный | 1.4 | 0.002 | В |
*А – база данных HELP; Б – [8]; В – инженерно-геологические изыскания.
Как выглядят расчетный профиль и результаты расчета водного баланса свалочного тела в программе HELP показано на рис. 3, посуточная динамика изменения количества осадков и инфильтрации за столетний период – на рис. 4.
Рис. 3. Расчетный профиль свалочного тела и результаты расчета водного баланса (вар. 2).
Рис. 4. Результаты расчета суточных осадков (1) и инфильтрации (2) в течение 100 лет (вар. 2).
Результаты и их обсуждение
Результаты расчета годового водного баланса свалочного тела для двух вариантов его строения, осредненные за столетний период, представлены в табл. 3.
Таблица 3. Среднемноголетний водный баланс свалочного тела
Статьи водного баланса | Вариант 1 | Вариант 2 | ||
мм | % | мм | % | |
Осадки | 734 | 100 | 734 | 100 |
Поверхностный сток | 146 | 20 | 176 | 24 |
Эвапотранспирация | 413 | 56 | 391 | 53 |
Фильтрация вниз к основанию свалочного тела (инфильтрация) | 175 | 24 | 167 | 23 |
Максимальное количество осадков расходуется на эвапотраспирацию (53–56%), остальное – практически поровну на поверхностный сток (20–24%) и инфильтрацию (23–24%). Сравнение результатов расчета водного баланса, полученных для двух вариантов строения свалочного тела, показывает, что если отходы переслаиваются слабопроницаемыми суглинками, то в среднемноголетнем разрезе интенсивность инфильтрации и эвапотранспирации несколько уменьшается, а поверхностный сток увеличивается.
Полученные результаты расчета водного баланса свалочного тела на полигоне ТКО в Дубне в целом не противоречат сведениям, приведенным в научных публикациях. Так, эвапотранспирация может составлять от 30 до 70%, поверхностный сток от 25 до 40%, интенсивность инфильтрации до 43% от осадков за год [4–6, 8]. Сравнение абсолютных величин показывает, что рассчитанное при помощи Weather Generator и осредненное за столетний период годовое количество осадков 734 мм (см. табл. 3, вар. 2) превышает данные метеостанции № 27612 (639 мм). Величина эвапотранспирации 391–413 мм/год получена с учетом характерной для свалочного тела на полигоне в Дубне бедной растительности и преобладания физического испарения с его поверхности, засыпанной слабопроницаемыми задерживающими влагу суглинистыми грунтами. Она хорошо согласуется с характерной для Московского региона величиной эвапотранспирации 373–465 мм/год для разного типа почв [1]. Величина поверхностного стока 146–176 мм/год является максимально возможной, так как свалочное тело на полигоне в Дубне перекрыто с поверхности слабопроницаемыми грунтами, а крутизна его склонов достаточная, чтобы сток был возможен со всей его поверхности.
Величина инфильтрации составила 167–175 мм/год, что превышает рассчитанные при помощи программы HYDRUS для близкой климатической зоны значения естественной инфильтрации 60–100 мм/год [2]. Для участков с мощностью свалочного тела 3–5 м рассчитанное при помощи HELP значение инфильтрационного питания составило 100 мм/год. Полученное в расчетах количество влаги, поступающей на УПВ под свалочным телом, превышает интенсивность инфильтрации, оцененную для естественных условий. Такая ситуация допустима для свалочных тел в нашей климатической зоне, так как инфильтрационное питание под ними может составлять до 50–60% от годовых осадков [10].
Таким образом, в дальнейших расчетах концентраций ЗВ, поступающих на УПВ, диапазон значений интенсивности инфильтрационного питания был принят от минимальных значений, близких к естественным в данной климатической зоне, до максимальных, составляющих более 40% от годовой суммы осадков, т.е. от 100 до 400 мм/год.
РАСЧЕТ КОНЦЕНТРАЦИЙ ХЛОРИД-ИОНА, ПОСТУПАЮЩИХ ИЗ СВАЛОЧНОГО ТЕЛА
Методика исследований
Для расчета концентраций ЗВ в фильтрате, поступающем на УПВ под свалочным телом, был выбран консервативный элемент хлорид-ион, не вступающий в реакции с другими веществами и породами. Концентрация хлорид-иона (Cl–) снижается во влаге зоны аэрации и подземных водах только в результате уменьшения его концентрации в источнике поступления и разбавления чистой влагой.
Концентрация Cl– в фильтрате является также одним из индикаторов геохимической стабильности свалочного тела, наряду с химическим и биологическим потреблением кислорода и концентрацией иона аммония [3]. Cl– поступает во влагу (фильтрат) в течение всего срока существования свалочного тела в результате процессов дехлорирования хлорсодержащих органических соединений и растворения водорастворимых компонентов пищевых отходов, текстиля, бумаги, картона и т.д. Наблюдения показали, что максимальные концентрации Cl– в фильтрате наблюдаются в первые 5–6 лет существования полигона. Затем за счет поступления чистых атмосферных осадков и уменьшения растворимых хлорсодержащих соединений в отходах в течение 15–20 лет (по данным полевых исследований) и 25–30 лет (по данным лабораторных экспериментов) происходит снижение концентраций Cl– в фильтрате до значений ПДК в подземных водах – 350 мг/л и менее [3].
По возрасту (более 30 лет в местах максимальной мощности) свалочное тело на полигоне в Дубне уже должно было бы достигнуть стадии геохимической стабильности по хлорид-иону, однако имеющиеся данные о концентрации Cl– в подземных водах в районе его расположения указывают на то, что процесс очищения свалочного тела незакончен. По данным изысканий в 2019 г. концентрация Cl–в водоносном горизонте под свалочным телом на участке, где его мощность около 17 м, составляла 2836 мг/л, а на периферии, где мощность свалочного тела не превышала 5 м до 3119–3403 мг/л. Фоновым значением для подземных вод на окружающей территории можно считать концентрацию Cl– 34 мг/л в колодезной воде на территории садового товарищества, расположенного в 200 м юго-восточнее полигона ТКО.
Таким образом, высокие концентрации Cl– в подземных водах под свалочным телом указывают на то, что на начало рекультивации полигона значительное количество хлорид-иона могло поступать на УПВ с инфильтрационным питанием.
Для расчета переноса Cl– с влагой в свалочном теле была использована программа VS2DT − численная конечно-разностная модель миграции ЗВ с влагой в ненасыщенной зоне [9]. Моделирование миграции ЗВ происходит на основе численного решения уравнения Ричардсона, описывающего вертикальное движение влаги в частично насыщенном поровом пространстве, и сопряженного с ним уравнения конвективно-дисперсионного массопереноса для расчета массопереноса в зоне аэрации. Полученные в результате решения уравнения Ричардсона распределения напора и влажности по профилю зоны аэрации затем использовались для вычисления скоростей движения влаги в зоне аэрации в расчетах массопереноса.
Основные допущения в расчетах:
- свалочное тело представляет собой зону неполного насыщения,
- влага в свалочном теле формируется из атмосферных осадков, поступающих на его поверхность,
- загрязняющие вещества моментально поступают из отходов в инфильтрующуюся влагу и мигрируют до УПВ.
В расчетах воспроизводились реальные профили свалочного тела мощностью 1; 3–5 и 19 м. Значения параметров влагопереноса для профилей принимались такие же, как и при расчете интенсивности среднемноголетней инфильтрации. Значения параметров дисперсии, молекулярной диффузии и плотности скелета сухой породы принимались для всех типов отложений по умолчанию из базы данных программы VS2DT [9]. Для решения уравнения влагопереноса на верхней границе расчетной области задавался поток с постоянной интенсивностью, равной интенсивности инфильтрации, на нижней – нулевая высота давления. На верхней границе массопотока для решения миграционной задачи задавалась постоянная концентрация Cl–.
Основная проблема при выполнении расчетов – неопределенность в определении исходной концентрации хлорид-иона в фильтрате, необходимой для дальнейших расчетов, из-за некондиционного анализа фильтрата при инженерно-геоэкологических изысканиях. Тогда как диапазон концентрации Cl– в фильтрате, по опубликованным данным, может быть очень большим − от 300 до >15 000 мг/л [5, 12]. Одним из способов преодоления этого затруднения является привлечение данных моделирования миграции ЗВ с фильтратом на объекте-аналоге.
Примерный диапазон концентраций Cl– в фильтрате из свалочного тела на полигоне в Дубне был оценен по одному из хорошо изученных объектов складирования твердых коммунально-бытовых отходов в Греции, существующему около 23 лет (объекту-аналогу).
Мощность свалочного тела на объекте-аналоге ~22.5 м. Концентрация Cl– в фильтрате 3074–5375 мг/л, а в подземных водах под свалочным телом и вблизи него 878–939 мг/л. Рассчитанная при помощи программы HELP для объекта-аналога среднемноголетняя интенсивность инфильтрации 167 мм/год (43% от годовой суммы осадков) [8] близка к данным, полученным для полигона в Дубне (см. табл. 3). Сравнение свалочных тел показывает их идентичность по составу отходов, возрасту, мощности, строению и количеству фильтрата, поступающему в подземные воды. Это позволяет предположить сходность состава и концентрации ЗВ в фильтрате.
Задав характерные параметры свалочного тела объекта-аналога: срок существования, мощность, коэффициенты фильтрации отходов и изолирующих суглинков, интенсивность инфильтрации и диапазон изменения концентрации Cl– в фильтрате, по программе VS2DT для свалочного тела в Дубне были рассчитаны концентрации Cl– во влаге по всему его профилю, а также поступающие на УПВ под ним на разные моменты времени, в том числе на конец расчетного периода (23 года). Полученные результаты расчета совпали с концентрациями Cl– в подземных водах на объекте-аналоге, тем самым была подтверждена возможность применения программы VS2DT для расчета миграции хлорид-иона в свалочном теле и использования данных о концентрации Cl– в фильтрате на объекте-аналоге (3000–5500 мг/л) для подбора значений его концентраций в фильтрате на полигоне в Дубне.
Расчеты миграции хлорид-иона в свалочном теле на полигоне в Дубне проводились в следующей последовательности. Первоначально решалась обратная задача по подбору интенсивности инфильтрации и концентрации Cl– в инфильтрующейся влаге таким образом, чтобы в конце 30-летнего периода существования свалочного тела концентрации Cl– в поступающей на УПВ влаге были сопоставимы с его концентрациями в подземных водах в изыскательских скважинах. Расчеты выполнялись для реального строения профиля свалочного тела (вар. 2). Подобранные значения должны были соответствовать допустимым: интенсивность инфильтрации находиться в диапазоне 100–400 мм/год, концентрации хлорид- иона в инфильтрующейся влаге – 3000–5500 мг/л.
Используя сформировавшийся на конец расчета профиль концентрации Cl– во влаге свалочного тела в качестве начальных условий на втором этапе решалась прогнозная задача. Прогноз заключался в расчете концентраций хлорид-иона во влаге, поступающей на УПВ, с начала рекультивации полигона, когда на поверхности свалочного тела интенсивность инфильтрации соответствовала естественным, характерным для климатической зоны значениям 60 мм/год [2], а концентрация Cl–в инфильтрующейся влаге равна нулю. Такое низкое значение интенсивности инфильтрации в прогнозных расчетах принято для того, чтобы оценить максимально возможное время очищения свалочного тела от хлорид-иона за счет разбавления чистой влагой с поверхности и стекания загрязненной влаги на УПВ.
Результаты и их обсуждение
Расчеты по подбору концентрации хлорид- иона в инфильтрующейся влаге при выбранном диапазоне изменений интенсивности инфильтрации (100–400 мм/год) показали, что при минимальном ее значении (100 мм/год) концентрации Cl– должны были бы превышать 8000 мг/л, чтобы на конец расчетного периода в подземные вод под свалочным телом в центральной его части на УПВ с инфильтрующейся влагой поступали бы 2800 мг/л Cl–. Так как концентрация 8000 мг/л существенно превышает выбранный диапазон концентраций Cl– в фильтрате на объекте-аналоге, то дальнейший подбор концентраций хлорид-иона в фильтрате проводился с более высокой интенсивностью инфильтрации: рассчитанной для свалочного тела на полигоне в Дубне – 175 мм/год, и максимальной 390 мм/год, что составляет 43% от годовой суммы осадков, как и на объекте-аналоге.
В результате расчетов были подобраны следующие значения: при интенсивности инфильтрации 175 мм/год концентрация хлорид-иона в инфильтрующейся влаге в центре свалочного тела должна составлять 3000 мг/л, в склоновой части – 3500 мг/л, в краевой части – 3300 мг/л. При интенсивности поступающей на поверхность свалочного тела инфильтации 390 мм/год на полигоне в Дубне концентрации хлорид-иона в центральной части свалки составили 2800 мг/л, для склонов – от 3300 мг/л, для краевой части – от 3100 мг/л.
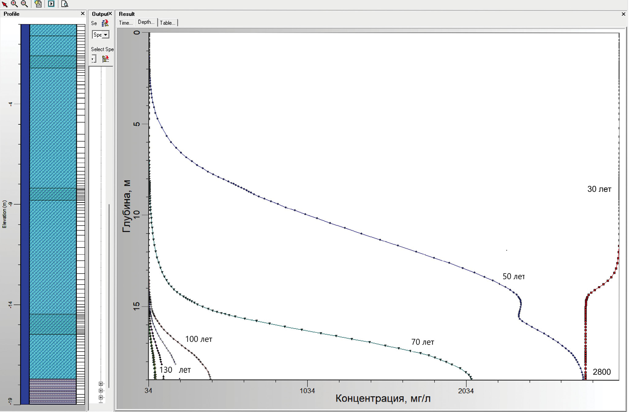
Прогнозные расчеты показали, что при снижении интенсивности инфильтрации на поверхности свалочного тела до естественных 60 мм/год и нулевой концентрации хлорид-иона в инфильтрующейся влаге концентрация Cl– в фильтрате по профилю свалочного тела будет постепенно снижаться (рис. 5). Но поскольку интенсивность инфильтрации низкая, процесс очищения свалочного тела от хлорид-иона будет происходить длительное время. Таким образом, через 40 лет после рекультивации полигона на УПВ поступит более 2000 мг/л хлорид-иона, а снижение его концентраций до фоновых значений в подземных водах (34 мг/л) займет более 100 лет в центре свалочного тела (см. рис. 5), более 80 лет в его склоновой и более 50 лет в краевых частях.
Рис. 5. Расчетный профиль и кривые концентрации хлорид-иона во влаге в центральной части свалочного тела на разные моменты времени после рекультивации полигона.
ЗАКЛЮЧЕНИЕ
Расчеты переноса влаги и хлорид-иона в свалочном теле на примере полигона ТКО в Дубне показали, что свалочное тело долгие годы после рекультивации остается источником поступления ЗВ в подземные воды, что необходимо учитывать при прогнозе их загрязнения. Прогноз загрязнения подземных вод в районе свалки должен выполняться поэтапно.
На первом этапе при помощи расчетов влаго- и массопереноса в ненасыщенной зоне, которой является свалочное тело, следует определить интенсивность инфильтрации и концентрации загрязняющих веществ, поступающих на уровень подземных вод под свалочным телом в период эксплуатации полигона и после его рекультивации. Существующие программные средства позволяют оценить эти величины: HELP – рассчитать интенсивность инфильтрационного питания, а VS2DT – рассчитать концентрации загрязняющих веществ, поступающих с инфильтрационным питанием.
На втором этапе прогноза загрязнения подземных вод использовать полученные результаты для задания граничных условий при геофильтрационном и геомиграционном моделировании загрязнения подземных вод.
Такой поэтапный прогноз позволит более достоверно оценить влияние свалочного тела на загрязнение подземных вод.
Работа выполнена при финансовой поддержке гранта РФФИ 20-0500574 “Долгосрочное влияние свалок и полигонов твердых коммунальных отходов на трансформацию химического состава подземных вод”.
About the authors
I. A. Pozdnyakova
Sergeev Institute of Environmental Geoscience, Russian Academy of Sciences
Author for correspondence.
Email: irina_pozd58@mail.ru
Russian Federation, Ulanskii per., 13, bld. 2, Moscow, 101000
References
- Grinevskii, S.O. [Modeling root water uptake when calculating unsaturated flow in the vadose zone and groundwater recharge]. Vestnik Moskovskogo Universiteta. Seriya 4: Geologiya. 2011, no. 3, pp. 189–201. (in Russian)
- Grinevskii, S.O., Novoselova M.V. [Regularities in the formation of groundwater infiltration recharge]. Vodnye resursy, 2010, vol. 38, no. 2, pp. 175–186. (in Russian)
- Sliusar, N.N., Vaisman, Ya.I., Korotaev, V.N. [The estimation of long-term emissions from municipal solid waste landfill-sites: the results of field studies and laboratory modeling]. Ekologiya i promyshlennost’ Rossii. 2016, vol. 20, no. 4, pp. 32–39. (in Russian)
- Alslaibi, T., Mogheir, Y., Afifi, S. Analysis of landfill components in estimating the percolated leachate to groundwater using the HELP model. Water Science and Technology. 2010, vol. 62, no. 8, pp. 1727–1734.
- Al-Suraifi, A. Simulation of contaminants transport and groundwater flow for Basrah landfill site. Engineering and technology journal, 2017, vol. 35, no. 6, pp. 560–570.
- Beck-Broichsitter, S., Gerke, H., Horn, R. Assessment of leachate production from a municipal solid-waste landfill through water-balance modeling. Geosciences, 2018, vol. 8, no. 10, pp. 372. https://doi.org/10.3390/geosciences8100372
- Cossu, R., Stegmann, R. Solid waste landfilling: concepts, processes, technology. 2019, 1174 р. https://doi.org/10.1016/C2012-0-02435-0
- Fatta, D. A study on the landfill leachate and its impact on the groundwater quality of the greater area. Environmental Geochemistry and Health, 1999, vol. 21, pp. 175–190.
- Healy, R.W. Simulation of solute transport in variably saturated porous media with supplemental information on modifications to the US Geological Survey’s computer program VS2D. Water-Resources Investigations Report, 1990, no. 90-4025. https://doi.org/10.3133/wri904025
- Podlasek, A. Modeling leachate generation: practical scenarios for municipal solid waste landfills in Poland. Environmental Science and Pollution Research International, 2023, vol. 30, no. (5), pp. 13256–13269.
- Schroeder, R., Dozier, T.S., Zappi, P.A. The hydrologic evaluation of landfill performance (HELP) model: Engineering Documentation for Version 3, 1994, EPA/600/9-94/xxx, US Environmental Protection Agency Risk Reduction Engineering Laboratory, Cincinnati, OH, USA.
- Yang, R., Xu, Z., Chail, J. A review of characteristics of landfilled municipal solid waste in several countries: physical composition, unit weight, and permeability coefficient. Polish Journal of Environmental Studies, 2018, vol. 27, no. 6, pp. 2425–2435.
- Zeng, D., Chen, G., Zhou, P., Xu, H. Factors influencing groundwater contamination near municipal solid waste landfill sites in the Qinghai-Tibetan plateau. Ecotoxicology and Environmental Safety, 2021, vol. 211, 111913. https://doi.org/10.1016/j.ecoenv.2021.111913
Supplementary files






