Моделирование выщелачивания алюмофосфатного стекла в присутствии бентонита
- Авторы: Болдырев К.А.1
-
Учреждения:
- Институт проблем безопасного развития атомной энергетики РАН
- Выпуск: № 1 (2024)
- Страницы: 23-32
- Раздел: МОДЕЛИ В ИНЖЕНЕРНОЙ ГЕОЛОГИИ И ГИДРОГЕОЛОГИИ
- URL: https://ogarev-online.ru/0869-7809/article/view/260037
- DOI: https://doi.org/10.31857/S0869780924010031
- EDN: https://elibrary.ru/GOFEVI
- ID: 260037
Цитировать
Полный текст
Аннотация
В статье представлена модель выщелачивания алюмофосфатного стекла — аналога стекломатрицы РАО, в статическом режиме в присутствии бентонита. Параметризация модели основана на экспериментальных данных. Модель учитывает кинетику выщелачивания стекломатрицы и трансформации минеральных фаз бентонита, также производится учет сорбционных процессов и ингибирование выщелачивания образующимися вторичными минеральными фазами. Модель демонстрирует малую трансформацию глинистых фаз, формирование вторичных фосфатных фаз и гиббсита. Моделирование проводилось в расчетном коде PhreeqC.
Ключевые слова
Полный текст
ВВЕДЕНИЕ
Понимание поведения стекломатериалов при контакте с водной фазой представляет интерес для многих областей современной науки и техники, включая археологию (в том числе, обращение с культурным наследием), геологию, строительство, волоконную оптику, полупроводниковую технику, изоляцию отходов и др. Последний аспект стоит особняком, поскольку в случае с радиоактивностью ассоциирован с необходимостью прогнозирования выщелачивания на периодах времени порядка миллиона лет.
В СССР и затем в Российской Федерации (РФ) отверждение жидких высокоактивных РАО в алюмофосфатное стекло на промышленной основе началось в 1987 г. [4]. Накопленный объем порядка 10 тыс. т остеклованных РАО размещен на площадке временного хранилища на территории ФГУП ПО “Маяк”.
В соответствии с международным консенсусом такого рода РАО для обеспечения их долговременной безопасности должны захораниваться в глубоких геологически формациях. В РФ для этих целей определён участок “Енисейский” в Красноярском крае [1]. Концепция окончательной изоляции подразумевает размещение РАО в форме алюмофосфатного стекла в толстостенных стальных контейнерах. Пространство между стенками контейнеров и вмещающей породой будет заполнено бентонитом. После коррозии стали наступит контакт воды, проникающей сквозь массив бентонита, со стекломатрицей.
Бентонит — природная глинистая порода, которая, благодаря комплексу своих уникальных свойств (значительная набухаемость, высокая гидроизоляционная способность и сорбционные свойства по отношению к ряду радионуклидов) широко используется как материал для создания барьеров безопасности. Прогнозирование эволюции бентонита в условиях пункта глубинного захоронения твердых радиоактивных отходов (ПГЗРО) является важнейшей частью оценки безопасности.
Согласно НП-055-14 и др., прогнозирование эволюции ПГЗРО требует использования математических моделей. Для финальной оценки его безопасности следует создать реалистичную и правдоподобную модель выхода радионуклидов за пределы существующих и новосозданных барьеров безопасности. Общая схема формирования интегральной модели прохождения радионуклида сквозь каскад эволюционирующих барьеров безопасности ПХРО1/ПГЗРО представлена на рис. 1 [2, 3]. Частью этой концептуальной модели будет модель выщелачивания стекломатрицы в присутствии бентонита, учитывающая их взаимовлияние.
Рис. 1. Схема формирования интегральной модели прохождения поллютанта сквозь каскад эволюционирующих барьеров безопасности.
В расчетах миграции радионуклидов из источника при выщелачивании из алюмофосфатного стекла необходимо учесть образование фосфатных фаз радионуклидов. В связи с этим разработка моделей выщелачивания алюмофосфатного стекла в присутствии бентонита, учитывающая химические процессы влияния выщелачивания алюмофосфатных стекол на бентонит, является весьма важной и актуальной, представляет высокий интерес. В статье описана модель выщелачивания алюмофосфатной матрицы (NAP-матрицы) в присутствии бентонита, основанная на экспериментальных исследованиях выщелачивания и эволюции фаз бентонита в высокощелочных условиях при повышенных температурах.
МАТЕРИАЛЫ И РАСЧЕТНЫЕ МЕТОДЫ
Модель выщелачивания NAP-матрицы
Рассмотрим аспекты моделирования выщелачивания NAP-матрицы. Коррозия стекла — сложный процесс, поскольку стекло изменяется с различной скоростью на разных стадиях и в самых разных условиях окружающей среды. Согласно [9], при контакте силикатных стекол с водой могут происходить три основных процесса:
- Гидратация (молекулы воды проникают в стекло).
- Гидролиз (вода вступает в реакцию со связями металл-кислород и образует гидроксильные группы).
- Ионный обмен (заменяются модифицирующие катионы в решетке).
Все три реакции, приводящие к разрушению структуры стекла, тесно взаимосвязаны. Гидролиз открывает структуру, которая усиливает проникновение как молекул воды, так и протонов. К сожалению, механизмы растворения алюмофосфатных стекол менее исследованы. По этой причине при описании выщелачивания будем пользоваться упрощенными моделями.
Кинетику растворения с течением времени можно описать как функцию состава стекла, температуры, рН и химического состава раствора. При этом критически важными являются значения константы скорости выщелачивания стекла и состав раствора, с которым контактирует барьерный бентонит. При этом следует учесть влияние протекающих химических процессов и температуры.
К настоящему моменту разработаны модели выщелачивания, учитывающие кинетику выщелачивания, на основе следующей зависимости (для расчета растворимости стекла выбирается контролирующая растворение минеральная фаза, назовем ее ведущей фазой) [7, 16–18]:
(1)
где Rate — скорость растворения, моль/м2/с; S — удельная площадь контакта (м2); EA — энергия активации (Дж/моль); ПАИ — текущее произведение активности ионов в растворе ведущей фазы растворения стекла; ПР — произведение растворимости ведущей фазы растворения стекла.
Вследствие того, что выщелачивание стекла является инкогруэнтным процессом, при выщелачивании на поверхности стекла в зоне контакта с водой образуется слой вторичных фаз, формирующих коррозионный слой. В статье [8] в уравнение выщелачивания (1) был введен член ингибирования выщелачивания:
(2)
где ƒинг — функция ингибирования, которая описывается следующим образом [8]:
инг = 1 / (1+k1 × (3)
× ÓEQUIi (“Продукт коррозии”))k2
где k1,2 — аппроксимирующие коэффициенты; EQUIi (“Продукт коррозии”) — количество i-го образовавшегося продукта коррозии, моль/л.
Данная модель [8], с одной стороны, позволила добиться удовлетворительных результатов по моделированию выщелачивания такого макрокомпонента матрицы, как Na, однако для фосфора ее результаты не совсем удовлетворительны. Кроме того, эта модель не учитывала кинетику растворения фаз контактирующего со стекломатрицей бентонита, а прогнозирование содержания фосфат-иона, как говорилось, ранее, крайне важно.
Вследствие этого в настоящей работе уравнение выщелачивания стекломатрицы (2) было модифицировано введением члена влияния рН, [H+]n (как в [6]):
(4)
Модель эволюции минерального состава фаз бентонита
В [13] описаны модели кинетики трансформации фаз монтмориллонита на основе компиляции литературных источников, а также предложена кинетическая модель описания кинетики растворения минеральных фаз, которая нами и будет использована в дальнейшей работе:
где Ratej (моль∙c–1∙л–1) — скорость растворения j-й твердой фазы; ki25— константа скорости при 298.15 K (25C); нейтр. — соответствует нейтральным условиям, кисл. — кислым, щелоч. — щелочным условиям; ni — показатель степени.
На основе анализа международного опыта, при моделировании будем учитывать процессы, которые оказывают важное влияние на состав поровой воды. Основные процессы — переходы смектита и акцессорных минеральных фаз, газообмен с атмосферой (в случае контакта), процессы сорбции (ионный обмен и процессы комплексообразования на поверхности). Параметризация модели осуществляется согласно следующей последовательности:
- Задается исходный состав поровой воды бентонита;
- В предположении, что эта поровая вода находится в равновесии с исходными минеральными фазами бентонита, рассчитываются параметры растворимости твердых минеральных фаз;
- Задаются площади минеральных фаз (м2/г), задаются законы кинетики растворения, согласно модели, описанной в [13];
- Задаются внешние условия, аналогичные условиям моделируемого эксперимента.
Экспериментальные данные по эволюции минерального состава фаз бентонита принимались согласно работе [14], в которой авторы исследовали влияние выщелатов бетона на бентонит при повышенных температурах. В модели осуществляется учет кинетики растворения: смектита, каолинита, иллита, кварца, альбита, хлорита, калиевого полевого шпата (в модели микроклин), кальцита. Также производился учет ионного обмена и комплексообразования на сорбционных центрах, при этом производится учет блокирования ионообменных центров бентонита новосозданными фазами. Расчеты проводились в расчетном коде геохимического моделирования PhreeqC2.18 [15]. Использовалась база термодинамических данных llnl.dat.
ОБЪЕДИНЕННАЯ МОДЕЛЬ ВЫЩЕЛАЧИВАНИЯ NAP-СТЕКЛОМАТРИЦЫ И ТРАНСФОРМАЦИИ ФАЗ БЕНТОНИТА
Концепция окончательной изоляции РАО 1 класса в ПГЗРО “Енисейский” подразумевает размещение остеклованных РАО в толстостенных стальных контейнерах. Пространство между стенками контейнеров и вмещающей породой будет заполнено бентонитом. После коррозии стали наступит контакт воды, проникающей сквозь массив бентонита, со стекломатрицей.
Разработанная параметризация модели эволюции фаз бентонита была использованы для создания модели выщелачивания. Схема взаимосвязи процессов, происходящих при выщелачивании в контакте с бентонитом, представлена на рис. 2. Укажем, что разные компоненты стекломатрицы будут выходить при выщелачивании в раствор с разной скоростью. Этим реализуется инконгруэнтный характер растворения стекломатрицы. Ведущая растворение стекла фаза — фосфат алюминия. Модель выхода составляющих стекла соответствует модели, принятой в [8]. Было принято, что 1 моль стекла описывается формулой:
Na0.1815P0.197Al0.062Ca0.00375Cr0.00048Fe0.00446Ni0.0034Sr0.0037Cs0.00094La0.0018Nd0.0018S0.00078О0.7.
Рис. 2. Учет в модели протекающих процессов.
В модели принимается, что на расчетном шаге при растворении стекла согласно кинетическому закону его составляющие конгруэнтно переходят в раствор, после чего происходит шаг расчета термодинамического равновесия, согласно которому при превышении предела растворимости происходит осаждение фаз, водная фаза по которым пересыщена.
Значения логарифмов констант растворимости для некоторых твердых минеральных фаз (гиббсита (ÄlgKs –2), гидроксиапатита (ÄlgKs + 7.5)) в расчетах изменяли, чтобы учесть отличия реальной от идеализированной системы.
РЕЗУЛЬТАТЫ И ОБСУЖДЕНИЕ
Сначала проведено моделирование эволюции фаз бентонита месторождения 10-й Хутор (эксперименты описаны в [14]). При экспериментальном исследовании соотношение Т:Ж составляло 10, температура поддерживалась на уровне 90оС. Результаты расчетов после выполнения параметризации модели с использованием процедуры калибровки приведены в табл. 1. Результаты сравнения модельных и экспериментальных данных по трансформации фаз бентонита представлены на рис. 3. Видно удовлетворительное соответствие модельных и экспериментальных данных. Следует отметить, что бентонит обладает высокой устойчивостью, рассчитанные значения констант растворимости в уравнении растворения значительно ниже литературных.
Рис. 3. Результаты сравнения модельных и экспериментальных данных по моделированию трансформации фаз бентонита месторождения 10-й Хутор в щелочных условиях.
Таблица 1. Параметризация некоторых членов уравнения в модели эволюции глинистых материалов для бентонита месторождения 10-й Хутор. Кинетические константы (k) выражены в моль м–2с–1, а энергия активации (Ea) — в кДж моль–1 (согласно [13] и калибровке*)
Минерал | S, м2/г | kнейтр. | jEнейтр. | kкисл. | jEкисл. | nH+ | kщелоч. | jEщелоч. | nOH– | Kосажд. | jEнукл. |
Альбит | 2 | 5.1 × 10–20 5.1 × 10–21* | –57 | 8.5 × 10–11 8.5 × 10–13* | –58 | 0.34 | 1.4 × 10–10 | –56 | 0.32 | 2.15 × 10–13 | –66.4 |
Иллит | 30 | 3.3 × 10–17 | –35 | 9.8 × 10–12 | –36 | 0.52 | 3.1 × 10–12 1.6 × 10–12* | –48 | 0.38 | 2.15 × 10–13 | –66.4 |
Калиевый полевой шпат | 1 | 1.0 × 10–14 | –31 | 1.7 × 10–11 | –31 | 0.27 | 1.4 × 10–10 2.8 × 10–11* | –31 | 0.35 | 2.15 × 10–13 | –66.4 |
Каолинит | 5 | 1.1 × 10–14 | –38 | 7.5 × 10–12 | –43 | 0.51 | 1.25 × 10–11* | –46 | 0.58 | 2.15 × 10–12 2.15 × 10–13* | –66.4 |
Кварц | 0.03 | 6.4 × 10–14 | –77 | 1.9 × 10–10 6.7 × 10–11* | –80 | 0.34 | |||||
Смектит | 40 | 9.3 × 10–15 4.7 × 10–16* | –63 | 5.3 × 10–11 2.65 × 10–14* | –54 | 0.69 | 2.9 × 10–12 3.63 × 10–14* | –61 | 0.34 | 2.15 × 10–13 | –66.4 |
Хлорит | 1 | 6.4 × 10–17 | –16 | 8.2 × 10–9 | –17 | 0.28 | 6.9 × 10–9 | –16 | 0.34 | 2.39 × 10–9 | –66.4 |
Кальцит | 0.7 | 1.6 × 10–6 8 × 10–7* | –14.4 | 5 × 10–1 5 × 10–3* | –14.4 | 1 | 1.8 × 10–9 1.9 × 10–3* | –66 –67* | |||
Стекломатрица | |||||||||||
kнейтр. | EA | k1 | k2 | ||||||||
NAP-стекло | 6.32 × 10–6 | 17 [18] | –0.4 | 3000 | 3.12 | ||||||
* — для члена с карбонат-ионом
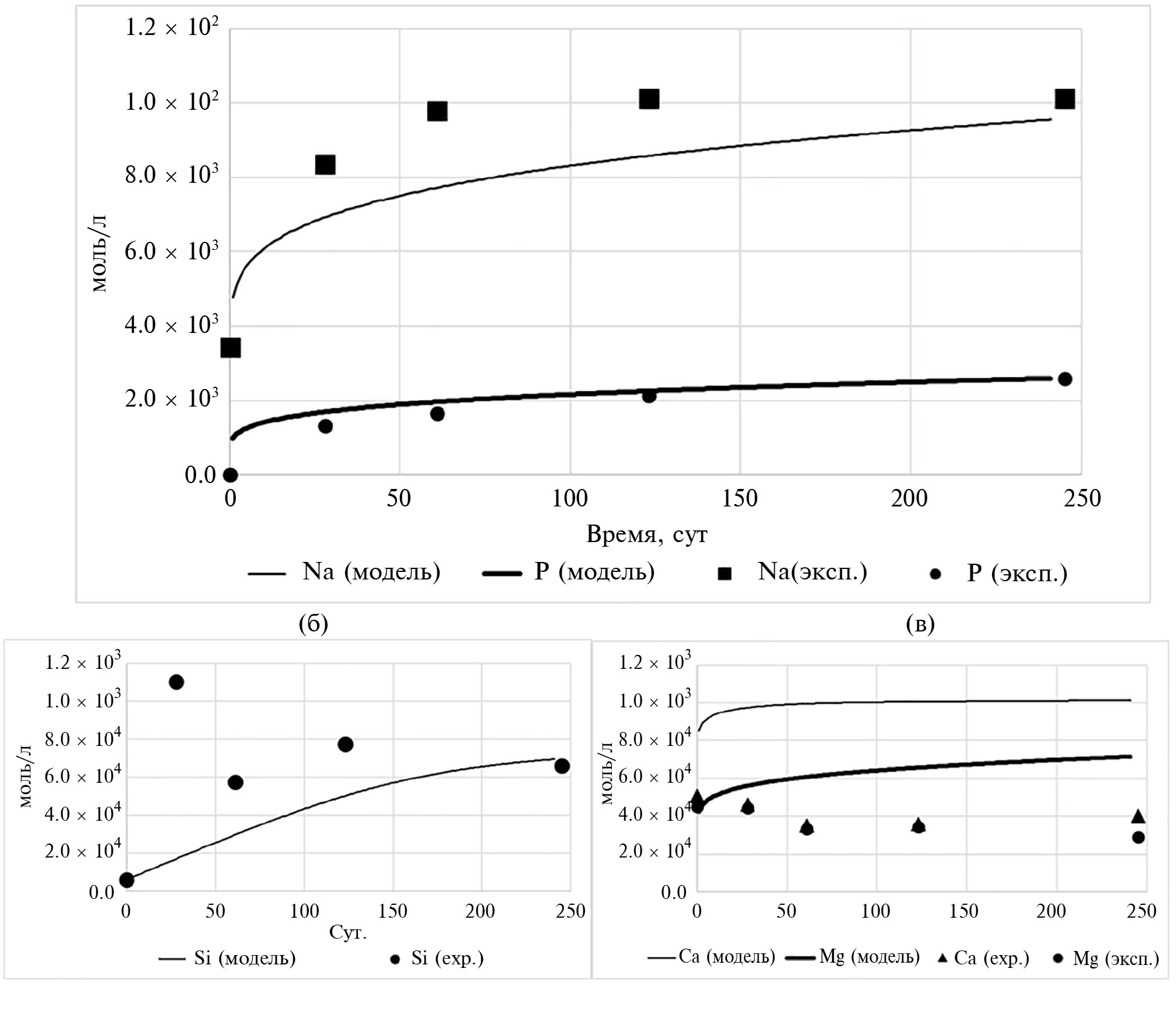
Результаты сравнения модельных и экспериментальных данных по выщелачиванию NAP-стекла отображены на рис. 4. Результаты моделирования содержания фаз в системе в ходе выщелачивания отражены на рис. 5.
Рис. 4. Результаты сравнения модельных и экспериментальных данных по выщелачиванию NAP-стекла. а – для Na и Р; б – для Si; в – для Ca, Mg.
Рис. 5. Результаты моделирования содержания фаз при выщелачивании: а— фаз бентонита в мас. %; б— содержание в системе вторичных фаз.
При рассмотрении рис. 4 заметно, что прогнозируемые кривые выхода макрокомпонентов матрицы Na и Р, практически выходят на плато. Концентрация силикат-иона также близка к экспериментальной. Прогнозируемые концентрации магния и кальция превышают в два раза экспериментально измеренные, это может быть объяснено несовершенством существующих термодинамических баз.
Рассмотрим изменения фазового состава (рис. 5). Модель демонстрирует малую трансформацию глинистых фаз, формирование вторичных фаз гиббсита, восьмиводного фосфата магния, гидроксиапатита, фосфата неодима, лантана, никеля, гидроксида железа. Именно эти фазы и будут формировать коррозионный слой стекла, блокируя его поверхность.
Бентонит и обменный комплекс служат источником кальция и магния, а стекломатрица — фосфат-ионов. Доминирующим, фактически контролирующим влиянием на растворение стекломатрицы обладают следующие процессы — осаждение гиббсита, а также фосфатов кальция и других катионов. Образующиеся вторичные новосозданные фазы будут не только приводить к трансформации свойств контактирующего бентонита, меняя его свойства набухания и водопроводимости, но и захватывать радионуклиды, выщелачивающиеся из матрицы. Этот процесс может приводить к дополнительной фиксации радионуклидов.
В модели площадь открытой поверхности стекломатрицы, контактирующей с раствором, была рассчитана исходя из геометрической поверхности образца. Известно, что реальный материал матриц в процессе внутреннего облучения накапливает микродефекты, появляются центры кристаллизации внутри стекла, это может приводить к растрескиванию, к увеличению объема (см. [10]). Согласно [11], может наблюдаться увеличение контактной поверхности матрицы вплоть до 40 раз, следовательно, увеличение площади контакта с водой будет способствовать ускоренному выходу компонентов стекломатрицы в раствор и, соответственно, более быстрому выходу раствора на насыщение.
Полученные в статье результаты важны для прогнозирования переноса радионуклидов сквозь барьеры безопасности. На миграцию радионуклидов влияют сорбция и процессы осаждения минеральных фаз. В работе [5] был проведен расчет значений предельной растворимости фаз радионуклидов в условиях выщелатов алюмофосфатных матриц. Согласно [8], состав выщелатов принимался рН 8.2, концентрации Ca 1 × 10–3 моль/л, фосфат-ион 2 × 10–3 моль/л, а фосфатные фазы в высокой степени вероятности контролируют концентрации Eu, Ho, Ni, Pb, Ra, Th, U. Такие элементы, как Sr, могут образовывать как собственные малорастворимые фосфатные фазы, так и соосаждаться с кальциевыми фосфатными фазами, например, гидроксиапатитом. Согласно исследованию [12], для некоторых радионуклидов чем выше щелочность среды, тем сильнее фосфат будет влиять на снижение растворимости радионуклида. Полученные в настоящей статье данные демонстрируют важность учета при моделировании миграции радионуклидов сквозь бентонитовый барьер процессов образования твёрдых минеральных фаз фосфатов и других фаз, следовательно, к переходу к моделям переноса с учетом частично необратимой сорбции.
ВЫВОДЫ
В статье на основе экспериментальных исследований продемонстрирована разработка модели выщелачивания в воде натриевоалюфосфатного стекла в присутствии бентонита. Модель учитывает кинетику выщелачивания стекломатрицы, а также кинетические параметры растворения индивидуальных фаз бентонита, также производится учет ингибирования выщелачивания вторичными фазами. Результаты работы указывают на формирование фосфатных фаз и гиббсита в зоне контакта с бентонитом. Критическими параметрами, влияющими на процесс выщелачивания, являются задаваемые значения растворимости фосфатных фаз вторичных продуктов, особенно гидроксиапатита.
Полученные результаты станут основой для моделирования миграции выщелачиваемых радионуклидов за пределы барьеров безопасности.
Разработанная методология моделирования эволюции стекломатериалов в водной системе может быть применена к широкому спектру ядерных и неядерных составов стекол, включая силикатные, боросиликатные стекла, а также к стеклокерамике, материалам горячих частиц. Модель подходит для описания эффектов, связанных с химическим составом раствора или составом стекла.
1 ПХРО — пункт хранения радиоактивных отходов
Об авторах
К. А. Болдырев
Институт проблем безопасного развития атомной энергетики РАН
Автор, ответственный за переписку.
Email: kaboldyrev@ibrae.ac.ru
Россия, ул. Большая Тульская, 52, Москва, 115191
Список литературы
- Абрамов А. А., Дорофеев А. Н. Современное состояние и перспективы развития системы обращения с РАО в Российской Федерации // Радиоактивные отходы. 2017. № 1. С. 10–21.
- Болдырев К. А., Крючков Д. В, Мартынов К. В. и др. Разработка расчетных методов оценки миграции радионуклидов за пределы ИББ с учетом их эволюции. Препринт ИБРАЭ № IBRAE-2017–11. М.: ИБРАЭ РАН, 2017. 23 с.
- Крючков Д. В., Болдырев К. А. Принципы комплексного учета процессов эволюции инженерных барьеров безопасности при оценке распространения радионуклидов за пределы объекта // Радиоактивные отходы. 2019. № 4 (9). С. 106–115.
- Ожован М. И., Полуэктов П. П. Применение стекол при иммобилизации радиоактивных отходов // Природа. 2010. № 3. С. 3–11.
- Соболев Д. А. Расчет значений предельной растворимости твердых минеральных фаз ряда радионуклидов для прогноза выхода радионуклидов из матриц разного состава // Сб. трудов XXI научной школы молодых ученых ИБРАЭ РАН. М.: ИБРАЭ, 2022. С. 88–91.
- Aagaard P., Helgeson H. C. Thermodynamic and kinetic constraints on reaction rates among minerals and aqueous solutions. I. Theoretical considerations // American Journal of Science. 1982. V. 282 P. 237–285. https://doi.org/ 10.2475/AJS.282.3.237
- Bacon D. H., Ojovan M. I., McGrail P. et al. Vitrified waste corrosion rates from field experiment and reactive transport modeling // Proc. of ICEM'03: The 9th Int. Conf. on Environmental Remediation and Radioactive Waste Management, September 21–25, 2003, Examination Schools, Oxford, England. https://doi.org/ 10.1115/ICEM2003-4509
- Boldyrev, K. A., Martynov, K. V., Kryuchkov, D. V. et al. Numerical Modeling of Leaching of Aluminophosphate Glass in the Batch Mode in the Presence of Bentonite // Radiochemistry. 2019. V. 61. № 5. P. 612–618. https://doi.org/10.1134/S1066362219050151.
- Bunker, B. C. Molecular mechanisms for corrosion of silica and silicate glasses // Journal of Non-Crystalline Solids. 1994. V. 179. P. 300–308.
- Donald I. W., Metcalfe B. L., Taylor R. N. J. The immobilization of high level radioactive wastes using ceramics and glasses // Journal of materials science. 1997. V. 32. № 22. P. 5851–5887.
- Godon N., Gin S., Minet Y., Grambow B. et al. Reference report on the state of the art of glass properties and glass alteration during long term storage and under disposal conditions’. Deliverable 1.1.1 of RTD component 1, Part I. NF-PRO project with the European commission (Contract Number: FI6W-CT-2003-02389), 2005, 244 pages.
- Long-term performance of permeable reactive barriers. K. E. Roehl, T. Meggyes, F. G. Simon, D. I. Stewart (eds.). Gulf Professional Publishing, 2005. 244 pages.
- Marty N. C. M. et al. A database of dissolution and precipitation rates for clay-rocks minerals // Applied Geochemistry. 2015. V. 55. P. 108–118.
- Morozov I. et al. Bentonite–Concrete Interactions in Engineered Barrier Systems during the Isolation of Radioactive Waste Based on the Results of Short-Term Laboratory Experiments // Applied Sciences. 2022. V. 12. № 6. P. 3074.
- Parkhurst D. L. et al. User's guide to PHREEQC (Version 2): A computer program for speciation, batch-reaction, one-dimensional transport, and inverse geochemical calculations. Water-Resources Investigations Report 99–4259. 1999. https://doi.org/10.3133/wri994259
- PNNL-13369. Waste Form Release Calculations for the 2001 Immobilized Low-Activity Waste Performance Assessment. 2001.
- PNNL-19736. Integrated Disposal Facility FY2010 Glass Testing Summary Report. September 2010.
- Poluektov P. P. et al. Modelling aqueous corrosion of nuclear waste phosphate glass // Journal of Nuclear Materials. 2017. V. 484. P. 357–366.
Дополнительные файлы







