Bioavailable Nanocomposition of Chitosan-copper Nanoparticles as an Alternative to Antibiotics in BroilerFeed
- Authors: Apryatina K.V.1, Egorov I.A.2, Zaitsev S.D.1, Laptev G.Y.3, Salomatina E.V.1, Smirnova L.A.1, Samodelkin A.G.4, Frolov V.G.5
-
Affiliations:
- National Research Lobachevsky State University of Nizhni Novgorod
- Federal State Budget Scientific Institution Federal Scientific Center “All-Russian Research and Technological Poultry Institute”
- BIOTROF LLC
- Scientific and educational center “Nizhny Novgorod REC”
- AGROСHITIN LLC
- Issue: Vol 61, No 1 (2025)
- Pages: 44-57
- Section: Articles
- URL: https://ogarev-online.ru/0555-1099/article/view/294541
- DOI: https://doi.org/10.31857/S0555109925010051
- EDN: https://elibrary.ru/CZPSHT
- ID: 294541
Cite item
Full Text
Abstract
Pathogens pose a serious threat to agriculture as they reduce the growth rate and efficiency of farm birds, animals and cause economic losses. Therefore, there is a need for their use despite all the negative effects of antibiotics and bacterial resistance to them, and therefore, there is a need for effective alternatives that exclude the use of vaccines and drugs. An aggregatively stable nanocomposition of chitosan-nanoparticles of copper with an average size of the latter 25–30 nm was developed. The bactericidal effect of the nanocomposition was shown in vitro on pathogenic bacteria Enterococcus faecalis and investigated in vivo in the composition of broiler chickens’ drink and feed in comparison with antibiotic “Maxus”, used in their diet, on a wide range of pathogenic microorganisms. It was shown that the number of bacteria in broilers was 1.88% when the nanocomposition was administered, which is more than two times less compared to the group where the antibiotic was used.
Full Text
Использование антибиотиков в сельском хозяйстве необходимо не только в целях профилактики предотвращения различных инфекционных заболеваний и для лечения болезней, но и для стимулирования роста животных и птиц [1]. Во многих странах антибиотики применяются у животных даже в больших масштабах, чем у людей, преимущественно для лечения респираторных и кишечных инфекций. Особенно широко антибиотики используются у молодняка, например у бройлерных цыплят, а также у поросят и телят, находящихся на искусственном вскармливании. В число ведущих потребителей антибиотиков входят куры-бройлеры, в частности из-за загрязнения микробами произведенных кормов [6] и естественно развивающихся микробных инфекций. Антибиотики также применяются для лечения инфекций отдельных животных, вызванных различными патогенными бактериями, в частности, они часто используются для лечения мастита — нередкой инфекции животных с высокими надоями молока.
Чрезмерное применение антибиотиков для сельскохозяйственных животных имеет серьезные последствия для общественного здравоохранения, так как способствует появлению устойчивых к антибиотикам бактерий и генов резистентности, которые могут быть переданы бактериям, патогеным для человека [2–5]. Обычно это происходит при употреблении пищевых продуктов, но может иметь место и при непосредственном контакте с животными или через объекты окружающей среды. В конечном счете, это может привести к проблемам в лечении инфекционных заболеваний. При этом торговля как самими животными, используемыми для получения пищевых продуктов, так и пищевыми продуктами животного происхождения осуществляется в глобальных масштабах [6]. Так, по данным ресурса WATTPoultry, совокупный объем производства мяса птиц в мире в 2023 году составил 139 млн. т (https://www.wattagnet.com/broilers-turkeys/broilers/article/15635594/worldwide-poultry-meat-production-outpaces-production-of-other-meat-sources).
Таким образом, с одной стороны, несмотря на всю опасность использования антибиотиков, существует необходимость их применения, а с другой — нужны действенные альтернативы, исключающих применение вакцин и лекарственных средств.
Одной из таких многообещающих альтернатив является медь — жизненно важный микроэлемент, участвующий в различных физиологических и биохимических процессах живых организмов. Медь необходима для выполнения надлежащих физиологических функций — среди которых синтез гемоглобина, транспортировка кислорода и участие в качестве коэнзимов в каталитических реакциях [7–9]. Медь является частью многих ферментов: аскорбатоксидазы, Cu-Zn-супероксиддисмутазы, L-лизиноксидазы. Эти ферменты необходимы для антиоксидантной защиты, синтеза меланина, метаболизма допамина, митохондриального дыхания и формирования соединительной ткани. Медь участвует в выработке антител, белых и красных кровяных телец, а также синтезе антиоксидантных ферментов, регуляции холестерина и глюкозы [10, 11]. Она также играет ключевую роль в синтезе соединительных тканей, таких как коллаген и эластин, и в катаболизме (разрушении) некоторых биологически активных веществ [12]. В организме медь ингибирует развитие воспалительных процессов и выступает в качестве стимулятора роста [13].
У животных недостаток этого элемента вызывает медленный рост, снижение массы тела, мышечную слабость, анемию, проблемы с костями, дефекты в синтезе соединительных тканей, измененный метаболизм липидов, и вызывает плохую пигментацию перьев. При этом концентрация меди в организме не должна превышать оптимальную, поскольку ее избыток так же вреден и может отрицательно повлиять на производительность птицы (на рост и усвоение кормов) [14]. Соли меди используют в рационе, однако их усвояемость очень низкая, и примерно 80% элемента выводится с фекалиями, вызывая загрязнение окружающей среды [15].
Выдвинута гипотеза, что, благодаря высокой физиологической активности наночастиц (НЧ) меди, они могут стать многообещающей альтернативой антибактериальным агентам и солевым формам меди в кормах при использовании в гораздо меньших дозах в силу меньшей токсичности [16]. НЧ определяются как частицы с размерами от 1 до 100 нм [17]. В последнее десятилетие НЧ широко используются в медицине для различных целей, таких как доставка лекарств и вакцин [18–21]. Тем не менее, изучение и использование нанотехнологий в сельском хозяйстве крайне ограничено. На сегодняшний день были незначительно исследованы различные виды НЧ в птицеводстве, вводимые путем кормления (нано-питания) или с помощью других маршрутов доставки в целях улучшения здоровья птиц.
Показано, что в зависимости от размера, формы, дозы и вида животных НЧ меди по-разному влияют на продуктивность животных. Помимо высокой биодоступности, в работах [22, 23] показаны такие эффекты НЧ меди, как стимулирование роста, антибактериальное, противовирусное, противогрибковое и иммуномодулирующее действие.
Авторы [24] показали, что добавление НЧ меди к питьевой воде бройлеров улучшило физиологическое состояние птиц, иммунный статус, гематологические параметры и гормоны, связанные со стрессом, повысило антиоксидантный потенциал организма. Кроме того, НЧ меди также улучшают самочувствие птиц за счет снижения окислительного стресса, что отражается на их продуктивности и увеличении веса. Добавка к кормам НЧ меди, с одной стороны, улучшила производительность бройлеров, а, кроме того, у эмбрионов происходило стимулирование развития кровеносных сосудов на молекулярном и системном уровне, продлевая доминирование гиперплазии над гипертрофией до конца эмбриогенеза. Рост мышц во время эмбриогенеза зависит от развития сосудов, которое стимулируется медью, а количество мышечных волокон устанавливается в основном в пренатальный период. Такая стимуляция пролиферации клеток НЧ меди может иметь решающее влияние на последующий рост курицы. Сообщалось, что внутримышечные инъекции НЧ меди эффективно стимулируют рост и метаболические изменения [25].
Одним из наиболее важных преимуществ НЧ меди является то, что они не приводят к бактериальной резистентности, что является важнейшим преимуществом по сравнению с антибиотиками при лечении различных бактериальных заболеваний у животных [26]. На сегодняшний день существует необходимость в оптимизации дозы и исследовании продолжительности приема добавок с НЧ меди для домашнего скота. Кроме того, необходимо использование матриц-носителей, обеспечивающих большую биодоступность НЧ меди в организме животных и их пролонгированный эффект [27].
Актуальной остается проблема стабилизации и проникновения НЧ меди из полости кишечника в кровь, направленной доставки к различным органам и пролонгированного выделения в организме. Одним из перспективных путей решения этой проблемы является применение природных биосовместимых полимеров в качестве матриц-носителей НЧ для создания биологически активного препарата, способного к контролируемой адресной доставке НЧ в организме. Среди них можно выделить хитозан, нетоксичный, обладающий биосовместимостью и полифункциональными биологическим свойствам [28–30]. Известно, что этот полисахарид может выполнять транспортную и защитную функцию по доставке НЧ и биологически активных добавок в организм при пероральном применении [31–34].
Были проведены исследования хитозана в качестве дополнения к кормам животным. Сообщалось, что пищевые добавки хитозана могут улучшить показатели роста перепелов [35]. Замечено, что пищевой хитозан при низких концентрациях, как правило, увеличивал темпы роста за счет увеличения использования азота и усвояемости аминокислот [36]. Кроме того, при введении в корма хитозановой добавки увеличивается масса тела молодняка [37]. Использование хитозана позволило охарактеризовать его, как многофункциональную добавку, способную оказывать противодействие инфекционным заболеваниям. Добавление хитозана к рациону питания бройлеров может значительно снизить колонизацию бактериями Salmonella typhimurium [38]. Показано, что при оптимальной концентрации хитозана, он может быть использован в качестве эффективной альтернативы антибиотикам в прикорме бройлеров с одновременным улучшением функции кишечника [39]. Следует отметить, что избыток хитозана может приводить к уменьшению массы птицы [40].
Таким образом, можно предположить, что сочетание свойств НЧ меди и хитозана при их оптимальном соотношении позволит создать высокоэффективные противомикробные препараты для перорального применения как альтернативу антибиотикам, обладающие адаптогенными и иммуномодулирующими свойствами пролонгированного действия.
Цель работы — разработка агрегативно устойчивой бактерицидной нанокомпозиции хитозан-наночастицы меди для применения в кормах и выпойке бройлеров.
МЕТОДИКА
Использовали хитозан (ООО “Биопрогресс”, ФКП “Щелковский биокомбинат”, Россия) с молекулярными массами (ММ) 0.2 × 105, 1 × 105 и 2 × 105 Да и степенью деацетилирования 80–82%, хлорид меди (II) CuCl2 × 2H2O, ледяную уксусную кислоту (марка “х. ч.” 99.5 %, ЗАО, аскорбиновую кислоту (марка “ч.”, ЗАО “Химреактив”, Россия).
НЧ меди получали непосредственно во всех растворах хитозана, который выступает в качестве стабилизатора. Во всех экспериментах использовали растворы хитозана с массовым содержанием 3%. Концентрация CuCl2 — как предшественника НЧ меди в растворе хитозана составляла 0.04 моль×л–1. В случае использования микроволнового метода получения НЧ, в уксуснокислый раствор хитозана при непрерывном перемешивании вводили аскорбиновую кислоту (0.04 моль×л–1), продували раствор аргоном, выдерживали 10 мин, затем по каплям добавляли раствор CuCl2 и перемешивали систему в течение 30 мин, после чего повторно продували раствор аргоном для удаления остатков кислорода. НЧ меди получали под действием микроволнового излучения при мощности установки 900 Вт в течение 10 мин. Кинетику восстановления ионов меди и образования НЧ изучали спектрофотометрически на UV-vis спектрофотометре UV-1650PC “SHIMADZU” (Япония), наблюдая появление и рост максимума полосы плазмонного резонанса в области λ ~ 570–600 нм, характерного для НЧ меди [41, 42]. Одновременно наблюдали изменение окраски раствора от зелено-голубого до красно-кирпичного.
В случае химического получения НЧ меди использовали водно-кислотные растворы хитозана (3 мас. %) с различными ММ, концентрация уксусной кислоты составляла 6 мас. %. В растворы хитозана при постоянном перемешивании по каплям вводили 5%-ный раствор прекурсора хлорида меди (II) CuCl2 в дистиллированной воде. Содержание CuCl2 в итоговой системе рассчитывали, исходя из соотношения — 10 г сухого хлорида меди на 500 г 3 мас. % раствора хитозана. Далее в растворы хитозана, содержащие хлорид меди, при постоянном перемешивании и температуре 50°С вводили раствор гидразин гидрата, являющегося восстановителем ионов Cu2+ [43]. Количество моль гидразин гидрата в 40 раз превышало количество моль CuCl2. При введении гидразин гидрата в растворы хитозана во всех случаях наблюдалось выпадение осадка полисахарида, так как рН раствора смещался в щелочную область. В связи с этим pH растворов доводили до значения 5.0–5.3 добавлением дополнительного количества уксусной кислоты до полного растворения хитозана.
Размеры НЧ меди определяли на основании результатов рентгенофазового анализа (РФА) образцов на рентгеновском дифрактометре “Bruker D8 Discover” (Германия), с использованием CuKa-излучения и линейного позиционно-чувствительного детектора LynxEye с шагом сканирования 0.02°, для углового диапазона 10°–60° по углу дифракции 2θ в симметричной геометрии. Точность определения дифракционных углов (2θ) составляла ±0.02°. Оценку интенсивности дифракционных максимумов проводили по их высоте (100-бальная шкала).
Размер кристаллитов меди определяли по формуле Шеррера [44]:
где D — размер кристаллита (в ангстремах), K — так называемая “постоянная Шеррера” (в данном исследовании k = 0.94), λ — длина волны излучения (0.15418 нм для CuKα), а θ — угол дифракции вершины пика. Основной “вклад” в формулу вносит значение FWHM (FWHM = полная ширина на полувысоте максимума) пиков.
Бактерицидные свойства синтезированных комплексов хитозан-НЧ меди изучали согласно методике, изложенной в руководстве [45] — методом диффузии в агар. На застывшую в чашке Петри питательную агаризованную среду наносили суспензию индикаторной культуры Enterococcus faecalis (3 × 108 клеток в суспензии). Нанесенную взвесь равномерно распределяли шпателем по поверхности агара, затем чашки подсушивали, с помощью стерильного бура в каждой из них делали по три лунки диаметром 10 мм, в которые вносили по 250–300 мкл испытуемых разведений композиции и оставляли в термостате на 24 часа. О наличии бактерицидной активности судили по зоне ингибирования роста бактерий, которая образуется вокруг исследуемых образцов.
Влияние комплекса хитозан-НЧ меди на микрофлору желудочно-кишечного тракта (ЖКТ) птиц изучали на цыплятах-бройлерах породы Росс 308 в 35-дневном возрасте. Анализ бактериального сообщества отрезков слепой кишки цыплят проводили с помощью молекулярно-генетического метода NGS-секвенирования в лаборатории “БИОТРОФ” (Россия). Амплификацию для последующего NGS-секвенирования проводили на ДНК-амплификаторе Verity (“Life Technologies, Inc.”, США) с использованием эубактериальных праймеров (IDT) 343F (5'-CTCCTACGGRRSGCAGCAG-3') и 806R (5'-GGACTACNVGGGTWTCTAAT-3'), фланкирующих область V1V3 гена 16S рРНК. Метагеномное секвенирование проводили на геномном секвенаторе MiSeq (“Illumina, Inc.”, США) с использованием набора MiSeq Reagent Kit v3 (“Illumina, Inc.”, США). Максимальная длина полученных последовательностей составляла 2 × 300 нуклеотидов (нт). Химерные последовательности исключали из анализа с помощью программы “USEARCH 7.0”. Обработка полученных ридов 2 × 300 нт происходила с помощью биоинформатической платформы “CLC Bio GW 7.0” (“Qiagen”, Нидерланды) и включала в себя перекрывание, фильтрацию по качеству (QV > 15), триммирование праймеров. Определение таксономической принадлежности микроорганизмов к роду проводили с помощью программы RDP Classifier. Погрешность прибора MiSeq, используемого для NGS-секвенирования, составляла 5%.
Экспериментальные группы птиц по 35 голов в каждой:
группа 1 — контрольная, основной рацион (ОР) + кормовой антибиотик “Максус” — 100 г/т;
группа 2 — контрольная, ОР без кормового антибиотика;
группа 3 — опытная, ОР + сухой хитозановый комплекс (“КХ-1”) — 100 г/т;
группа 4 — опытная, ОР + сухой хитозановый комплекс с НЧ меди (“КХМ”) — 100 г/т;
группа 5 — опытная, ОР + хитозановый комплекс (через питьевую воду) (“КХ-аква”) — 1 мл/л воды;
группа 6 — опытная, ОР + хитозановый комплекс с НЧ меди (через питьевую воду) (“КХМ-аква + медь”) — 1 мл/л воды.
РЕЗУЛЬТАТЫ И ИХ ОБСУЖДЕНИЕ
Результаты, хотя и немногочисленных работ, приведенных во вступительной части по испытанию НЧ меди в птицеводстве, показали их влияние на здоровье бройлеров и подавление патогенных микроорганизмов, что и определило перспективность их использования как многообещающей альтернативы антибиотикам. Большая удельная поверхность НЧ обеспечивает их высокую физиологическую активность, что дает преимущество по сравнению с неорганическими солями при использовании НЧ в гораздо меньших концентрациях. В перспективе это приведет к снижению экологической нагрузки на окружающую среду. Актуальной задачей остается разработка эффективного способа получения НЧ меди, стабилизированных полисахаридной матрицей.
В работе разработан однореакторный микроволновый метод синтеза НЧ меди в водной среде с использованием аскорбиновой кислоты в качестве восстановителя и хитозана в качестве стабилизатора [46]. Синтез НЧ меди проводили в инертной среде (аргоне) для предотвращения в процессе их получения реакции их окисления. Реакционная смесь после завершения восстановления НЧ имела ярко-красную окраску.
Кинетику образования НЧ меди в растворах хитозана контролировали спектрофотометрически по появлению и увеличению интенсивности полос поглощения, соответствующих плазмонному резонансу НЧ меди — λ ~ 590 нм. Процесс завершали по достижении постоянного значения максимума полосы плазмонного поглощения НЧ меди. На рис. 1 показан типичный спектр поглощения НЧ меди, синтезированных микроволновым методом. Стабилизация НЧ осуществлялась гидроксильными и амино-группами хитозана. Предполагаемая схема стабилизации НЧ меди полисахаридом представлена на рис. 2.
Рис. 1. Полоса плазмонного поглощения НЧ меди, стабилизированных хитозаном с ММ 2 × 105, [Cu] = 1 мас. %.
Рис. 2. Схема стабилизации НЧ меди функциональными группами хитозана.
Средние значения размеров НЧ меди, определенные на основании результатов рентгенофазового анализа, составили ~ 30 нм (рис. 3).
Рис. 3. Дифрактограмма композиции хитозан-НЧ меди, полученная в микроволновом излучении.
При синтезе НЧ меди микроволновым способом было отмечено уменьшение вязкости растворов, что может быть связано с частичным разрушением цепей хитозана в процессе облучения. Была проведена оценка относительной вязкости растворов хитозана до и после микроволнового облучения. После завершения процесса относительная вязкость растворов падала почти на 50% — с ~3.94 до 2.56, что свидетельствовало о деструкции макромолекул хитозана, приводящей к снижению его ММ. Это могло негативно сказаться на устойчивости дисперсии.
В связи с этим была исследована агрегативная устойчивость полученных дисперсий НЧ меди в растворах хитозана электрофоретическим методом. Установлено, что для дисперсий НЧ меди в растворах хитозана значение электрокинетического потенциала, являющегося количественной характеристикой стабильности системы, составило: ζ = 61.8 мВ, что в два раза выше критического значения [47]. Таким образом, несмотря на снижение ММ хитозана, она остается на достаточно высоком уровне для эффективной стабилизации НЧ меди в долгосрочной перспективе.
Известно, что чем меньше размер НЧ, тем выше их удельная поверхность, а значит и физиологическая активность. Возможность управления размерами НЧ была исследована в опытах по влиянию ММ хитозана (0.2 × 105, 1 × 105 и 2 × 105) на размерные характеристики НЧ меди при использовании другого способа получения НЧ в растворах полисахарида — при действии на ионы меди восстановителя гидразин-гидрата.
Данные оптической спектроскопии показали, что чем больше ММ хитозана, тем в более коротковолновую область смещен максимум полосы плазмонного поглощения НЧ меди (рис. 4). Так, в растворах хитозана с ММ 0.2 × 105 максимум полосы плазмонного поглощения НЧ меди наблюдался при λmax = 586 нм (рис. 4, кривая 1), при повышении ММ полисахарида в 10 раз — при λmax = 577 нм (рис. 4, кривая 3). Смещение максимума полосы плазмонного поглощения отражало размерные характеристики НЧ — чем в более коротковолновую область смещается максимум, тем меньше средние размеры НЧ в дисперсиях [48].
Рис. 4. Спектры поглощения нанодисперсий меди, стабилизированных хитозаном с различной ММ: 1 — 0.2 × 105, 2 — 1×105, 3 — 2×105, [Cu] = 1 мас. %.
Средний размер НЧ меди был определен по данным РФА порошков, полученных при осаждении комплекса “хитозан-медь” из нанодисперсий этиловым спиртом (рис. 5). На дифрактограммах видны характерные для хитозана пики — на углах 2θ 11 и 22°. Также в образцах видна фаза меди, которая идентифицируется интенсивными пиками при углах 43.5°, 50.5° и 74°. Расчеты по уравнению Шеррера показали возможность получения НЧ меди различного размера при использовании на начальной стадии процесса хитозана с различной ММ. Размер НЧ меди, сформированных в растворах хитозана с ММ 1 × 105, составил 28 нм (рис. 5а), а в растворах хитозана с ММ 2 × 105 — 25 нм (рис. 5б). Таким образом, данные оптической спектроскопии и РФА показывают, что с повышением ММ полисахарида, средний размер НЧ меди в нанодисперсиях уменьшался.
Рис. 5. Дифрактограмма композиции хитозан-НЧ меди, ММ хитозана 1 × 105 (а), ММ хитозана 2 × 105 (б).
Бактерицидные свойства комплексов хитозан-НЧ меди прежде всего были изучены in vitro на патогенных бактериях вида Enterococcus faecalis — наиболее часто встречающиеся в организме человека и домашней птицы энтерококки, которые могут быть возбудителями различных инфекций: мочевыводящих путей, интраабдоминальных, органов малого таза, раневых, эндокардита.
Показано, что композиции хитозан-НЧ меди (5%-ный и 2.5%-ный растворы) проявляли высокую бактерицидную активность по отношению к патогенному типу бактерии Enterococcus faecalis. Радиус зоны ингибирования роста бактерии вокруг образцов составил 5.5 и 3.5 мм соответственно, что позволило предположить возможность снижения количества вводимых антибиотиков в сухие корма или выпойку птиц, или полное их исключение.
В соответствии с полученными результатами был выполнен анализ микрофлоры ЖКТ цыплят-бройлеров с помощью молекулярно-генетического метода NGS-секвенирования, позволяющего изучить полный микробный пейзаж материала, при введении нанокомплекса в корма и питье птиц в сравнении с антибиотиком “Максус”.
Исследовали долю целлюлозолитических бактерий в пробе микрофлоры ЖКТ бройлеров (рис. 6). Целлюлозолитические бактерии представляют собой бактерии, которые расщепляют клетчатку в рационе, в данном исследовании изучили следующие таксоны — семейства Ruminococcaceae, Clostridiaceae, Lachnospiraceae, Peptostreptococcaceae, Eubacteriaceae, отряды Bacteroidales, Thermoanaerobacteroidales. Доля целлюлолитиков оказалась высокой во всех образцах и превышала 80% при добавлении хитозан-НЧ меди в питьевую воду бройлеров, а также достигла 80% в образцах из контрольной группы. Наименьшее количество целлюлолитических микроорганизмов было обнаружено в образцах, где бройлерам скармливали хитозановый комплекс без НЧ меди. По количеству выявленных целлюлолитических микроорганизмов (5% от всех обнаруженных бактерий) группа с добавлением НЧ меди в питьевую воду значительно превосходила группу, в основной рацион которой вводили кормовой антибиотик “Максус” (рис. 6). Таким образом, можно сделать вывод, что НЧ меди положительно влияют на жизнедеятельность микроорганизмов целлюлолитической группы.
Рис. 6. Содержание целлюлозолитиков, %.
Далее исследовали бактерии, являющиеся антагонистами патогенов и иммуномодуляторами.
Бациллы. Функции бацилл в кишечнике птиц: проявление антимикробной активности, иммуномодулирующей, протеолитической и ферментативной активности в отношении углеводов кормов. В исследование были включены 12 выявленных представителей семейства Bacillaceae, при этом были выявлены следующие виды: B. manliponensis, B. panaciterrae, B. thermoamylovorans, Virgibacillus arcticus, Vulcanibacillus modesticaldus, B. schlegelii, Thermicanus aegyptius.
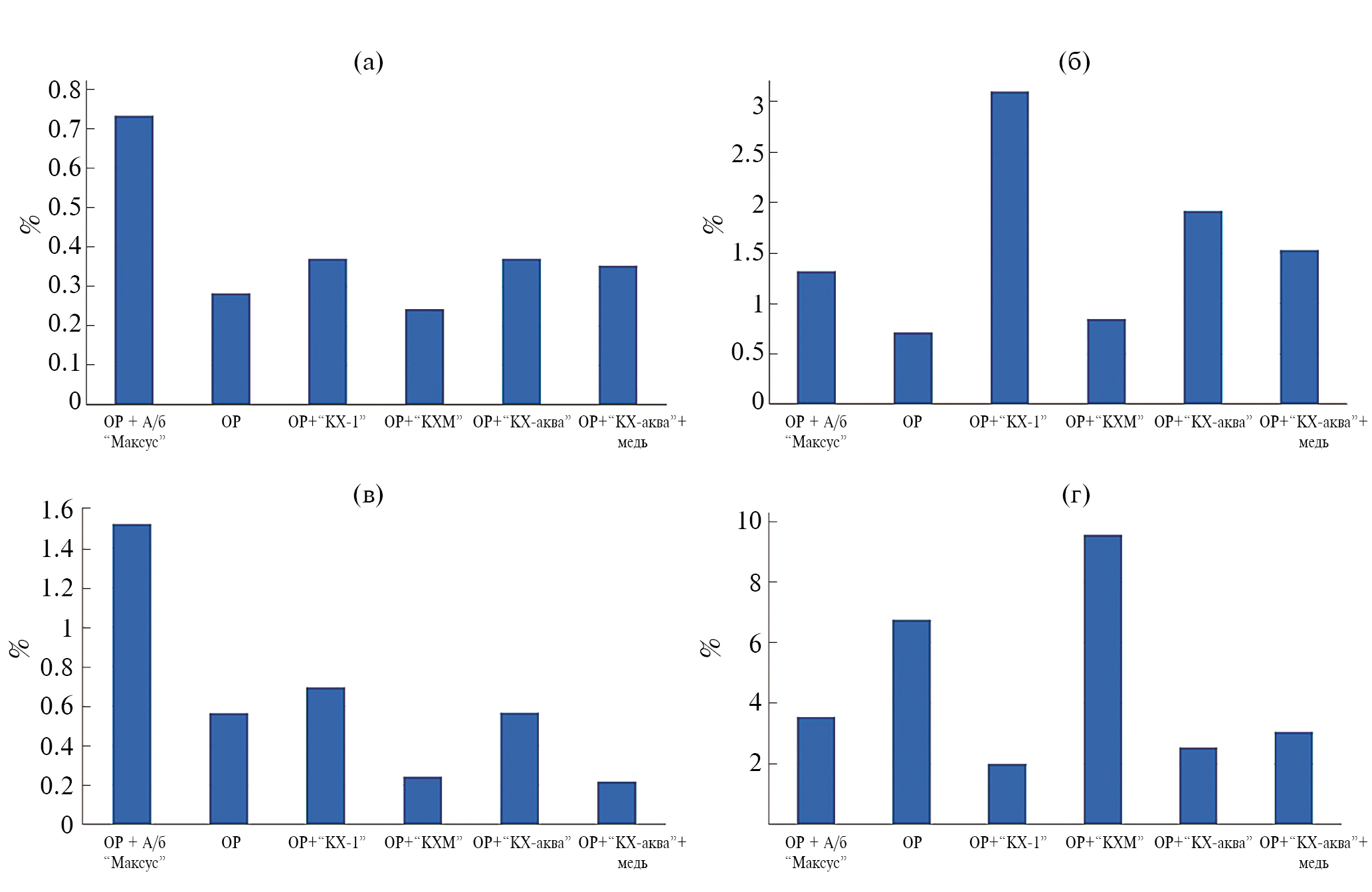
Наиболее низкое содержание бацилл обнаруживалось в пробах от птиц, потреблявших основной рацион с добавлением “КХМ” — 0.24%. Видно (рис. 7а), что в группе птиц с рационом, включающим кормовой антибиотик “Максус” обнаруживалось в среднем вдвое больше бацилл по сравнению с группой, в рацион которой включалась выпойка хитозанового комплекса “КХ-аква”, обогащенного НЧ меди.
Рис. 7. Содержание бацилл (а), %; лактобактерий (б), %; бифидобактерий (в), %; ЛЖК-синтезирующих бактерий (г), %.
Лактобактерии. Функции лактобактерий в кишечнике кур — это проявление антимикробной и иммуномодулирующей активности, синтез антимикробных пептидов, витаминов, некоторых незаменимых аминокислот, лактата, необходимого для производства летучих жирных кислот ЛЖК-продуцирующими бактериями.
Наибольшая доля лактобактерий обнаруживалось в пробах от птиц из группы, потреблявших вместе с основным рационом хитозановый комплекс “КХ-1” (количество лактобактерий составило 3.1% от всех обнаруженных микроорганизмов) (рис. 7б). Количество полезных лактобактерий в группе с кормовым антибиотиком и группе с выпойкой хитозанового комплекса “КХ-аква”, обогащенного НЧ меди было сходным (1.32% и 1.53% соответственно).
Бифидобактерии. Функции бифидобактерий в кишечнике птиц — это проявление антимикробной и иммуномодулирующей активности, синтез витаминов и некоторых незаменимых аминокислот.
Общее содержание бифидобактерий в обнаруженных образцах сравнительно невелико и колебалось в пределах от 0.22% в пробах от птиц, в рацион которой включалась выпойка хитозанового комплекса “КХ-аква”, обогащенного НЧ меди, до 1.52% в пробах от птиц группы с кормовым антибиотиком (рис. 7в). В среднем, в группе, потреблявшей кормовой антибиотик количество бифидобактерий вдвое больше, чем в прочих группах. Необходимо отметить, что бифидобактерии — микроорганизмы, традиционно обнаруживающиеся в низких концентрациях, однако играющие существенную роль в противодействии патогенным и условно-патогенным микроорганизмам.
ЛЖК-синтезирующие бактерии (лактат-утилизирующие). ЛЖК-синтезирующие бактерии (селеномонады) ферментируют молочную кислоту, образуемую бактериодами и молочнокислыми бактериями до летучих жирных кислот, используемых организмом птицы в метаболических процессах. NGS-анализ образцов показал, что в некоторых исследованных пробах было обнаружено значительное количество ЛЖК-синтезирующих бактерий. Их содержание составило от 2.00 до 9.56% от всех обнаруженных микроорганизмов. Наибольшее количество ЛЖК-синтезирующих микроорганизмов обнаружено в пробе от птиц с хитозановым комплексом “КХМ” в рационе (9.56%) (рис. 7г). Наименьшее содержание ЛЖК-синтезирующих микроорганизмов замечен в пробах от птиц, в рацион которых был включен хитозановый комплекс “КХ-1” (2%). В группе птиц с антибиотиком в рационе и группе птиц с НЧ меди в рационе было обнаружено сходное количество ЛЖК-синтезирующих бактерий (3.6 и 3.1% соответственно). Таким образом можно сделать вывод, что хитозановый комплекс “КХМ” способствует развитию лактат-утилизирующих микроорганизмов.
Таким образом, можно сделать вывод, что хитозановый комплекс “КХМ” способствует развитию утилизирующих лактат-микроорганизмов.
Исследовали влияние композиции на патогенные микроорганизмы в ЖКТ бройлеров в сравнении с антибиотиком. Как видно из рис. 8 патогенные виды выявлялись в значительных количествах в зависимости от исследованных проб.
Были выявлены следующие виды бактерий, которые могут являться участниками патогенных процессов:
- бактерии рода Helicobacter (до 4%) — возбудители расстройств ЖКТ птиц и возбудители гастроэнтеритов;
- бактерии рода Mycoplasma (до 0.15%) — возбудители микоплазмозов кур, поражающие желудочно-кишечный тракт и дыхательную систему;
- бактерии семейства Clostridiaceae (до 0.55%) — возбудители анаэробных заболеваний и частые участники патогенных процессов с вовлечением продуцируемых микроорганизмами токсинов;
- бактерии семейства Enterococcus (до 0.1%) — пантропные возбудители воспалительных процессов в организме птицы, поражающие желудочно-кишечный тракт и опорно-двигательную систему.
- Другие виды бактерий.
Показано (рис. 8), что количество патогенных микроорганизмов в пробах от большинства групп птиц не превышало 2%. Исключение составляла группа с кормовым антибиотиком “Максус” в рационе, где было обнаружено наибольшее количество патогенных микроорганизмов — 4.3%. Наименьшее относительное содержание патогенов было отмечено в пробах от птиц из группы, в которой рацион включал в себя хитозановый комплекс “КХМ” — 0.32% от всех обнаруженных бактерий. В группе с добавлением НЧ меди в основной рацион количество обнаруженных патогенных микроорганизмов составило 1.88%, что более чем в 2 раза меньше по сравнению с группой, где применялся кормовой антибиотик “Максус”.
Рис. 8. Относительная численность патогенов в исследованных пробах, %.
Все рассчитанные количества микроорганизмов и патогенов в ЖКТ бройлеров в процентном содержании с погрешностью значений приведены в табл. 1 и 2 соответственно.
Таблица 1. Относительная численность микроорганизмов в исследованных пробах ЖКТ бройлеров, %
Группа микроорганизмов | Гр 1 | Гр 2 | Гр 3 | Гр 4 | Гр 5 | Гр 6 | |
Целлюлозолитики | Сумма целлюлозолитиков | 75.04 ± 3.72 | 78.77 ± 0.68 | 71.29 ± 4.53 | 73.48 ± 1.93 | 69.22 ± 2.15 | 80.49 ± 2.27 |
Bacteroidetes | 30.44 ± 10.07 | 39.63 ± 4.61 | 27.72 ± 4.56 | 32.18 ± 3.15 | 32.06 ± 2.32 | 44.93 ± 3.13 | |
Ruminococcaceae | 22.57 ± 3.62 | 20.31 ± 1.68 | 21.07 ± 0.56 | 26.14 ± 3.84 | 19.2 ± 0.77 | 20.02 ± 1.18 | |
Lachnospiraceae | 13.58 ± 3.69 | 12.23 ± 2.4 | 11.96 ± 1.41 | 9.92 ± 2.04 | 10.58 ± 2.24 | 10.87 ± 1.18 | |
Eubacteriaceae | 2.37 ± 0.15 | 2.14 ± 0.41 | 3.13 ± 1.3 | 2.54 ± 0.29 | 1.85 ± 0.19 | 1.23 ± 0.12 | |
Peptostreptococcaceae | 0.04 ± 0.01 | 0.02 ± 0.02 | 0.02 ± 0.01 | 0 | 0.01 ± 0.01 | 0.05 ± 0.03 | |
Clostridiaceae | 5.77 ± 2.84 | 4.38 ± 1.19 | 7.27 ± 2.44 | 2.7 ± 0.6 | 5.31 ± 0.62 | 3.3 ± 0.58 | |
Thermoanaerobacterales | 0.26 ± 0.08 | 0.05 ± 0 | 0.13 ± 0.1 | 0 | 0.21 ± 0.09 | 0.08 ± 0.02 | |
ЛЖК-синтезирующие | Selenomo-nadales | 3.55 ± 1.29 | 6.76 ± 0.49 | 1.99 ± 0.43 | 9.56 ± 2.7 | 2.53 ± 1.84 | 3.05 ± 1.4 |
Бациллы | Bacillaceae | 0.73 ± 0.11 | 0.28 ± 0.1 | 0.4 ± 0.12 | 0.24 ± 0.07 | 0.45 ± 0.03 | 0.35 ± 0.08 |
Бифидобактерии | Bifidobacteriales | 1.52 ± 0.81 | 0.56 ± 0.16 | 0.7 ± 0.57 | 0.24 ± 0.13 | 0.57 ± 0.14 | 0.22 ± 0.09 |
Лактобактерии | Lactobacillales | 1.32 ± 0.55 | 0.71 ± 0.15 | 3.1 ± 0.49 | 0.85 ± 0.46 | 1.92 ± 1.21 | 1.53 ± 0.86 |
Таблица 2. Относительная численность патогенов в исследованных пробах ЖКТ бройлеров, %
Группа патогенов | Виды патогенов | Гр 1 | Гр 2 | Гр 3 | Гр 4 | Гр 5 | Гр 6 |
Ацинетобактерии | Acinetobacter johnsonii | 0 | 0 | 0 | 0 | 0.02 ± 0.02 | 0 |
Гистофилюсы | Histophilus somni | 0 | 0 | 0 | 0.04 ± 0.04 | 0 | 0 |
Клостридии | Clostridium chauvoei | 0 | 0 | 0 | 0 | 0 | 0 |
Clostridium intestinale | 0 | 0 | 0.01 ± 0.01 | 0.04 ± 0.03 | 0.02 ± 0.02 | 0 | |
Clostridium colinum | 0.03 ± 0 | 0.01 ± 0 | 0 | 0.04 ± 0.04 | 0.14 ± 0.09 | 0.02 ± 0 | |
Clostridium innocuum | 0.01 ± 0 | 0.01 ± 0.01 | 0 | 0.04 ± 0.02 | 0.03 ± 0.03 | 0.01 ± 0.01 | |
Лавсонии | Lawsonia intracellularis | 0 | 0 | 0 | 0 | 0 | 0 |
Лептотрихии | Leptotrichia wadei | 0 | 0 | 0 | 0 | 0 | 0 |
Streptobacillus notomytis | 0 | 0 | 0 | 0 | 0 | 0 | |
Микоплазмы | Mycoplasma conjunctivae | 0.04 ± 0.02 | 0.01 ± 0 | 0.05 ± 0.03 | 0.04 ± 0.01 | 0.04 ± 0.02 | 0.04 ± 0.03 |
Mycoplasma pulmonis | 0 | 0 | 0 | 0 | 0 | 0 | |
Пептококки | Peptococcus niger | 0.01 ± 0 | 0 | 0.02 ± 0.01 | 0 | 0 | 0 |
Порфиромонады | Porphyromonas circumdentaria | 0 | 0 | 0 | 0 | 0 | 0 |
Porphyromonas endodontalis | 0 | 0 | 0 | 0 | 0 | 0 | |
Псевдомонады | Pseudomonas plecoglossicida | 0 | 0 | 0 | 0 | 0 | 0.01 ± 0.01 |
Pseudomonas psychrotolerans | 0 | 0 | 0 | 0 | 0 | 0 | |
Риккетсии | Orientia tsutsugamushi | 0 | 0 | 0 | 0 | 0 | 0 |
Стафилококки | Staphylococcus hominis | 0 | 0 | 0 | 0 | 0 | 0 |
Стрептококки | Streptococcus salivarius | 0 | 0 | 0 | 0 | 0 | 0 |
Streptococcus sobrinus | 0 | 0 | 0 | 0 | 0 | 0 | |
Трепонемы | Treponema maltophilum | 0 | 0 | 0 | 0 | 0 | 0 |
Фузобактерии | Fusobacterium canifelinum | 0 | 0 | 0 | 0 | 0 | 0 |
Хеликобактерии | Helicobacter pullorum | 1.33 ± 0.92 | 0.16 ± 0.01 | 0.23 ± 0.04 | 0.12 ± 0.08 | 0.12 ± 0.02 | 0.52 ± 0.17 |
Helicobacter rodentium | 0 | 0 | 0 | 0 | 0 | 0 | |
Энтерококки | Enterococcus cecorum | 0.01 ± 0.01 | 0.03 ± 0.02 | 0.01 ± 0.01 | 0 | 0 | 0 |
Enterococcus gallinarum | 0 | 0 | 0 | 0 | 0 | 0.01 ± 0.01 | |
Эризипелотрихии | Bulleidia extructa | 0 | 0 | 0 | 0 | 0 | 0.01 ± 0.01 |
Erysipelothrix rhusiopathiae | 0 | 0 | 0 | 0 | 0 | 0 |
Таким образом, установлено, что баланс микрофлоры у птиц всех образцов поддерживался на должном уровне, однако определенная патогенная нагрузка присутствовала в кишечнике исследуемых птиц. С точки зрения баланса микрофлоры кишечник цыплят находился в наилучшем состоянии в группах, в которых в состав кормов вводили НЧ меди. В целом можно отметить, что комплекс НЧ-хитозан-медь является ценной кормовой добавкой для цыплят-бройлеров. Такой комплекс можно вводить как в сухом виде в комбикорм, так и в растворенном виде в питьевую воду. Введение комплекса хитозан-НЧ меди в рацион бройлеров в совокупности с другими микроэлементами в хелатной форме после соответствующей проверки их влияния на состояние жизнедеятельности организма птиц, позволит полностью исключить антибиотик из кормов. Это приведет к снижению нагрузки на здоровье человека и уменьшению появления антибиотикорезистентных бактерий и генов. Кроме того, замена солевой формы меди, используемой в рационе животных, на НЧ приведет к снижению экологической нагрузки на окружающую среду.
* * *
Разработан способ получения агрегативно-устойчивых композиций НЧ меди, стабилизированных хитозаном, в качестве эффективной добавки в выпойке и составе сухих комбикормов цыплят-бройлеров широкого спектра действия. На клеточной культуре и экспериментальных животных доказаны высокая бактерицидность и биодоступность комплексов хитозан-НЧ меди. Хитозан самостоятельно способен восстанавливать микрофлору и поддерживать работу ЖКТ, нормализовать перистальтику кишечника, а благодаря его способности адсорбироваться на стенках ЖКТ и преодолевать его эпителиальный барьер, обеспечивается поступление и высокая усвояемость микроэлементов в организме, что приводит к повышению усвояемости кормов и их минеральных компонентов. Показано, что нанокомпозиция оказывает положительное действие на привес массы бройлеров. Целесообразно использование в кормах вместо традиционной солевой меди с низкой усвояемостью композиции хитозан-НЧ меди, приводящей к стимулированию роста животных и птиц, повышению устойчивости организма к заболеваниям с пролонгированным высоким антибактериальным эффектом.
Следует отметить, что при проведении исследований на данном этапе концентрации комплексов хитозана с НЧ меди задавались, исходя из существующих нормативов применению их в виде солей. Полученные результаты с одной стороны указывают на существенно более высокую усвояемость нанокомплекса хитозан-НЧ-медь, благодаря транспортным свойствам хитозана, с другой — ставят задачу по оптимизации концентрации вводимого комплекса и возможного снижения количества микроэлементов по сравнению с их солевой формой при обеспечении необходимого уровня микроэлементов в организме птиц.
ФИНАНСИРОВАНИЕ
Работа частично осуществлена в Научно-исследовательской лаборатории химии природных соединений и их синтетических аналогов, созданной по ГЗ при НОЦ “Техноплатформа2035”, проект FSWR-2024-0002.
Исследование выполнено при поддержке гранта Российского научного фонда № 23-13-00342 (https://rscf.ru/project/23-13-00342/) и частично при поддержке гранта РНФ (соглашение № 23-74-10069).
СОБЛЮДЕНИЕ ЭТИЧЕСКИХ НОРМ
Данная статья не содержит исследований с участием животных или людей в качестве объектов исследования.
КОНФЛИКТ ИНТЕРЕСОВ
Авторы заявляют об отсутствии конфликта интересов.
About the authors
K. V. Apryatina
National Research Lobachevsky State University of Nizhni Novgorod
Author for correspondence.
Email: apryatina_kv@mail.ru
Russian Federation, Nizhny Novgorod, 603022
I. A. Egorov
Federal State Budget Scientific Institution Federal Scientific Center “All-Russian Research and Technological Poultry Institute”
Email: apryatina_kv@mail.ru
Russian Federation, Sergiev Posad, 141311
S. D. Zaitsev
National Research Lobachevsky State University of Nizhni Novgorod
Email: apryatina_kv@mail.ru
Russian Federation, Nizhny Novgorod, 603022
G. Y. Laptev
BIOTROF LLC
Email: apryatina_kv@mail.ru
Russian Federation, Pushkin, St. Petersburg, 196602
E. V. Salomatina
National Research Lobachevsky State University of Nizhni Novgorod
Email: apryatina_kv@mail.ru
Russian Federation, Nizhny Novgorod, 603022
L. A. Smirnova
National Research Lobachevsky State University of Nizhni Novgorod
Email: apryatina_kv@mail.ru
Russian Federation, Nizhny Novgorod, 603022
A. G. Samodelkin
Scientific and educational center “Nizhny Novgorod REC”
Email: apryatina_kv@mail.ru
Russian Federation, Nizhny Novgorod, 603000
V. G. Frolov
AGROСHITIN LLC
Email: apryatina_kv@mail.ru
Russian Federation, Nizhny Novgorod, 603155
References
- Rahman M.M., Alam Tumpa M.A., Zehravi M., Sarker M.T., Yamin M.D., Islam M.R. et al. // Antibiotics. 2022. V. 11. №. 5. P. 667. https://doi.org/10.3390/antibiotics11050667
- Burow E., Grobbel M., Tenhagen B.A., Simoneit C., Szabó I., Wendt D. et al. // Microb. Drug. Resist. 2020. V. 26. №. 9. P. 1098–1107. https://doi.org/10.1089/mdr.2019.0442
- Hedman H.D., Vasco K.A., Zhang L. // Animals. 2020. V. 10. №. 8. 1264. https://doi.org/10.3390/ani10081264
- Shang K., Wei B., Cha S.Y., Zhang J.F., Park J.Y., Lee Y.J. et al. //Animals. 2021. V. 11. №. 1. P. 154. https://doi.org/10.3390/ani11010154
- Massé D.I., Cata Saady N.M., Gilbert Y. // Animals. 2014. V. 4. №. 2. P. 146–163. https://doi.org/10.3390/ani4020146
- Chatellier V. Chatellier V. // Animal. 2021. V. 15. 100289. https://doi.org/10.1016/j.animal.2021.100289
- Jomova K., Makova M., Alomar S. Y., Alwasel S. H., Nepovimova E., Kuca K. et al. // Chem. Biol. Interact. 2022. V. 367. 110173. https://doi.org/10.1016/j.cbi.2022.110173
- Ruiz L.M., Libedinsky A., Elorza A.A. // Front. Mol. Biosci. 2021. V. 8. 711227. https://doi.org/10.3389/fmolb.2021.711227
- Ognik K., Sembratowicz I., Cholewińska E., Jankows-ki J., Kozłowski K., Juśkiewicz J. et al. // Anim. Sci. J. 2018. Т. 89. №. 3. P. 579–588. https://doi.org/10.1111/asj.12956
- Sharma M.C., Joshi C., Pathak N.N., Kaur H. // Res. Vet. Sci. 2005. Т. 79. №. 2. P. 113–123. https://doi.org/10.1016/j.rvsc.2004.11.015
- Парахонский А.П. // Естественно-гуманитарные исследования. 2015. № 4 (10). С. 73–84.
- Borkow G. // Curr. Chem. Biol. 2014. V. 8. №. 2. P. 89–102. https://doi.org/10.2174/2212796809666150227223857
- Scott A., Vadalasetty K.P., Łukasiewicz M., Jaworski S., Wierzbicki M., Chwalibog A. et al. // J. Anim. Physiol. Anim. Nutr. (Berl.) 2018. Т. 102. №. 1. P. e364–e373. https://doi.org/10.1111/jpn.12754
- Sharif M., Rahman M.A.U., Ahmed B., Abbas R.Z., Hassan F.U. // Biol. Trace Elem. Res. 2021. V. 199. №. 10. P. 3825–3836. https://doi.org/10.1007/s12011-020-02485-1
- Leeson S. // J. World’s Poult. Sci. 2009. V. 65. №. 3. P. 353–366. https://doi.org/10.1017/S0043933909000269
- Boyles M. S. P., Ranninger C., Reischl R., Rurik M., Tessadri R., Kohlbacher O. et al. // Part. Fibre. Toxicol. 2015. V. 13. P. 1–20. https://doi.org/10.1186/s12989-016-0160-6
- Ремпель А. А. // Успехи химии. 2007. Т. 76. №. 5. С. 474–500.
- Mitchell M.J., Billingsley M.M., Haley R.M., Wechsler M.E., Peppas N.A., Langer R. // Nat. Rev. Drug Discov. 2021. V. 20. №. 2. P. 101–124. https://doi.org/10.1038/s41573-020-0090-8
- Bezbaruah R., Chavda V.P., Nongrang L., Alom S., Deka K., Kalita T. et al. // Vaccines. 2022. V. 10. №. 11. 1946. https://doi.org/10.3390/vaccines10111946
- Yusuf A., Almotairy A.R.Z., Henidi H., Alshehri O.Y., Aldughaim M.S. // Polymers. 2023. V. 15. № 7. 1596. https://doi.org/10.3390/polym15071596
- Zafar A., Arshad R., Ur. Rehman A., Ahmed N., Akhtar H. // Vaccines. 2023. V. 11. №. 2. 490. https://doi.org/10.3390/vaccines11020490
- El-Kassas S., El-Naggar K., Abdo S.E., Abdo W., Kirrella A.A., El-Mehaseeb I. et al. // Anim. Prod. Sci. 2019. V. 60. №. 2. P. 254–268. https://doi.org/10.1071/AN18270
- Sizova E., Miroshnikov S., Lebedev S., Usha B., Shabunin S. // Anim. Nutr. 2020. V. 6. №. 2. P. 185–191. https://doi.org/10.1016/j.aninu.2019.11.007
- El-Kazaz S.E., Hafez M.H. // J. Adv. Vet. Anim. Res. 2020. V. 7. №. 1. 16. https://doi.org/10.5455/javar.2020.g388
- Anwar M.I., Awais M.M., AkhtarM., Navid M.T., Muhammad F. // Worlds Poult. Sci. J. 2019. V. 75. №. 2. P. 261–272. https://doi.org/10.1017/S0043933919000199
- Kalińska A., Jaworski S., Wierzbicki M., Gołębiews-ki M. // Int. J. Mol. Sci. 2019. V. 20. №. 7. 1672. https://doi.org/10.3390/ijms20071672
- Scott A., Vadalasetty K.P., Chwalibog A., Sawosz E. // Nanotechnol. Rev. 2018. V. 7. №. 1. P. 69–93. https://doi.org/10.1515/ntrev-2017-0159
- Chen R.R., Li Y.J., Chen J.J., Lu C.L. // Carbohydr. Polym. 2020. V. 247. 116740. https://doi.org/10.1016/j.carbpol.2020.116740
- Wang W., Xue C., Mao X. // Int. J. Biol. Macromol. 2020. V. 164. P. 4532–4546. https://doi.org/10.1016/j.ijbiomac.2020.09.042
- Xu Y., Shi B., Yan S., Li J., Li T., Guo Y. et al. // Czech J. Anim. Sci. 2014. V. 59. P. 156–163. https://doi.org/10.17221/7339-CJAS
- Sangnim T., Dheer D., Jangra N., Huanbutta K., Puri V., Sharma A. // Pharmaceutics. 2023. V. 15. № 9. 2361. https://doi.org/10.3390/pharmaceutics15092361
- Apryatina K.V., Glazova I.A., Koryagin A.S., Zaitsev S.D., Smirnova L.A. // J. Polym. Res. 2022. V. 29. №. 9. 378. https://doi.org/10.1007/s10965-022-03225-w
- Apryatina K.V., Murach E.I., Amarantov S.V., Erlykina E.I., Veselov V.S., Smirnova L.A. // Appl. Biochem. Microbiol. 2022. V. 58. №. 2. P. 126–131. https://doi.org/10.1134/S0003683822020028
- Lang X., Wang T., Sun M., Chen X., Liu Y. // Int. J. Biol. Macromol. 2020. V. 154. P. 433–445. https://doi.org/10.1016/j.ijbiomac.2020.03.148
- Hassan F.A., Abd El-Maged M., El-Halim H., Ramadan G. // J. Anim. Health Prod. 2021. V. 9. № 2. P. 119–131. https://doi.org/10.17582/journal.jahp/2021/9.2.119.131
- Tufan T., Arslan C. // S. Afr. J. Anim. Sci. 2020. V. 50. №. 5. https://doi.org/10.4314/sajas.v50i5.3
- Yue X., Hu L., Fu X., Lv M., Han X. // Czech J. Anim. Sci. 2017. V. 62. №. 1. P. 15–21. https://doi.org/10.17221/86/2015-CJAS
- Menconi A., Pumford N.R., Morgan M.J., Bielke L.R., Kallapura G., Latorre J.D. et al. // Food. Pathog. Dis. 2014. V. 11. №. 2. P. 165–169. https://doi.org/10.1089/fpd.2013.1628
- Nuengjamnong C., Angkanaporn K. // Ital. J. Anim. Sci. 2018. V. 17. №. 2. P. 428–435. https://doi.org/10.1080/1828051X.2017.1373609
- Shagdarova B., Konovalova M., Varlamov V., Svirshchevskaya E. // Polymers. 2023. V. 15. №. 19. 3967. https://doi.org/10.3390/polym15193967
- Akintelu S.A., Oyebamiji A.K., Olugbeko S.C., Latona D.F. // CRGSC. 2021. V. 4. 100176. https://doi.org/10.1016/j.crgsc.2021.100176
- Liu P., Wang H., Li X., Rui M., Zeng H. // RSC Adv. 2015. V. 5. №. 97. P. 79738–79745. https://doi.org/10.1039/C5RA14933A
- Ismail M. I. M. // Mater. Chem. Phys. 2020. V. 240. 122283. https://doi.org/10.1016/j.matchemphys.2019.122283
- Лисичкин Г.В., Оленин А.Ю., Кулакова И.И. Химия поверхности неорганических наночастиц. М.: Техносфера, 2020. 380 с.
- Хабриев Р.У. Руководство по экспериментальному (доклиническому) изучению новых фармакологических веществ. М.: Медицина, 2005. 827 с.
- Апрятина К.В., Зайцев С.Д., Смирнова Л.А., Фролов В.Г. Патент RU 2776050C1. 2022.
- Воюцкий С.С. Курс коллоидной химии. М.: “Химия”, 1975. 512 с.
- Литманович О.Е. // Высокомолекулярные соединения. Серия C. 2008. Т. 50. № 7. С. 1370–1396.
Supplementary files









