Влияние хитозана на способность липополисахарида взаимодействовать с клетками иммунной системы
- Авторы: Давыдова В.Н.1, Володько А.В.1, Горбач В.И.1, Чусовитина С.В.2, Соловьева Т.Ф.1, Ермак И.М.1
-
Учреждения:
- Тихоокеанский институт биоорганической химии им. Г.Б. Елякова, Дальневосточное отделение РАН
- Институт автоматики и процессов управления, Дальневосточное отделение РАН
- Выпуск: Том 60, № 2 (2024)
- Страницы: 158-166
- Раздел: Статьи
- URL: https://ogarev-online.ru/0555-1099/article/view/261428
- DOI: https://doi.org/10.31857/S0555109924020051
- EDN: https://elibrary.ru/GAWNZC
- ID: 261428
Цитировать
Полный текст
Аннотация
Получены комплексы липополисахарида (ЛПС) бактерии Escherichia coli с хитозаном (ХН) с молекулярной массой 5 кДа и изучена их надмолекулярная организация. Методом атомно-силовой микроскопии показано, что в процессе образования комплексов происходит переход от мицеллярной структуры исходного ЛПС к линейным сетчатым структурам, равномерно распределенным по поверхности слюды. Изучена стабильность комплексов ЛПС-ХН различной стехиометрии в биологических средах в присутствии белков сыворотки. Показано, что комплексы с соотношением ЛПС-ХН 1 : 1 в присутствии сывороточных белков теряли свой поверхностный заряд и имели склонность к агрегации, комплексы с максимальным насыщением ХН (1 : 5) в данных условиях не агрегировали и сохраняли свой поверхностный заряд. Исследовано влияние ХН различной молекулярной массы на способность ЛПС взаимодействовать с нейтрофилами цельной крови человека. Показано, что комплексы ЛПС-ХН связывались с нейтрофилами и поступили внутрь клетки, причем эта способность усиливалась в присутствии белков сыворотки. Хитозан обладал способностью подавлять синтез провоспалительного цитокина ФНО-α, индуцированного ЛПС, не только в составе комплекса, но и при предварительной обработке клеток поликатионом.
Ключевые слова
Полный текст
Проблема терапии инфекционных заболеваний, вызванных бактериями, не теряет своей актуальности. В последнее время она осложняется появлением новых антибиотикорезистентных штаммов со множественной лекарственной устойчивостью. Это приводит к тому, что антибиотики теряют свою эффективность, в связи с чем продолжается поиск антибактериальных веществ, в основном природного происхождения, способных нейтрализовать действие патогенных микроорганизмов.
Природный полисахарид хитозан известен своей антибактериальной активностью и используется в составе ранозаживляющих средств, способных предотвращать развитие патогенной микрофлоры [1. 2]. В основе антибактериального действия хитозана лежит его способность взаимодействовать с компонентами мембраны бактерий. В случае грамотрицательных бактерий таким компонентом является липополисахарид (эндотоксин, ЛПС) [3]. ЛПС высоко консервативен почти у всех грамотрицательных бактерий и присутствует повсеместно в окружающей среде. При попадании в организм распознается клетками иммунной системы (в первую очередь макрофагами) и запускает воспалительную реакцию, направленную на подавление инфекции, а при остром течении инфекции может вызывать токсические проявления, от повышения температуры до септического шока [4].
ЛПС является амфифильной молекулой, состоящей из трех основных структурных компонентов – липида А, олигосахарида кора и О-специфических полисахаридных цепей. Липид А – дисахарид глюкозамина, ацилированный остатками жирных кислот, отвечает за токсические свойства ЛПС. Структура и состав О-полисахаридных цепей уникальна для каждого штамма бактерий и отвечает за иммуногенные свойства ЛПС [4].
Одним из ключевых рецепторов, опосредующих эффекты ЛПС при его контакте с иммунной системой организма, является толл-подобный рецептор (TLR-4). В течение многих лет считалось, что рецепторный комплекс CD14/TLR4/MD2, присутствующий на макрофагах и многих других клетках организма, связывает ЛПС и несет полную ответственность за клеточный ответ, индуцированный эндотоксином [5]. Проведенные исследования [6, 7] показали, что с рецептором связывается единичная молекула ЛПС, которая высвобождается из агрегатов при участии ряда сопутствующих сывороточных белков, ключевыми из которых являются СD14 и ЛПС-связывающий белок. Однако в начале 2000 гг. было показано, что биологически активным может также являться агрегат эндотоксина [8], который способен интернализироваться внутрь клетки [9]. После интернализации ЛПС может перемещаться во внутриклеточные компартменты, где часть липида А частично разрушется, что сопровождается модификацией его биологической активности [10]. Механизм внутриклеточного узнавания ЛПС осуществляется с участием каспазы-4/5 у людей и каспазы-11 у мышей, которые распознают внутриклеточный ЛПС в цитоплазме клеток и стимулируют выработку провоспалительных цитокинов и воспалительную гибель клеток, называемую пироптозом [10].
Ранее были детально исследованы особенности взаимодействия ЛПС грамотрицательных бактерий с хитозаном [3]. Показано, что данный полисахарид способен связываться с эндотоксином и снижать его токсические свойства: острую токсичность и цитокин-индуцирующую активность в отношении провоспалительных цитокинов. Этот процесс зависел от структуры ЛПС, степени ацилирования липида А, длины О-специфического полисахарида, а также от молекулярной массы хитозана. Было показано [3, 11], что изменение надмолекулярной организации ЛПС при образовании комплекса с хитозаном с молекулярной массой
110 кДа приводило к изменению некоторых биологических свойств эндотоксина в составе его комплексов. При использовании клеток почки эмбриона человека (клетки НЕК 293), котрансфицированных рецепторами TLR-4 и MD2, было установлено, что хитозан не блокировал связывание рецептора TLR4 с ЛПС и передачу сигнала ЛПС в клетке [12]. В связи с открытием альтернативного пути активации клеток ЛПС [10] можно предположить, что снижение цитокин-индуцирующей активности ЛПС обусловлено реализацией второго сигнального пути ответа на ЛПС, связанного с участием каспаз. При этом образование комплекса с хитозаном может влиять на способность ЛПС связываться с клетками и на его последующую интернализацию за счет модификации поверхностного заряда его молекулы и/или изменения надмолекулярной организации эндотоксина в результате формирования комплекса.
Цель работы − проверка выдвинутой гипотезы об участии хитозана в процессах ингибирования ЛПС-индуцированного синтеза провоспалительных цитокинов.
Методика
Образец хитозана (ХН) с молекулярной массой 110 кДа и степенью N-ацетилирования 4% был получен щелочной обработкой хитина краба по методике [13]. Степень N-ацетилирования образца хитозана рассчитывали по данным ИК-спектроскопии [14]. Для работы использовали солевую форму ХН. Для этого полисахарид (200 мг) растворяли в 20 мл дистиллированной воды при подкислении 1н HCl до его полного растворения. рН полученного раствора доводили до 5.5 добавлением NaOH и диализовали против дистиллированной воды. Солевую форму ХН лиофилизовали и использовали для дальнейшей работы. Методом деполимеризации с использованием перекиси водорода [15] был получен хитозан с низкой молекулярной массой, которая составила 5 кДа.
В работе также использовали коммерческий препарат ЛПС E. coli О55:B5 (“Sigma”, США). Образец ЛПС, меченый флуоресцеин-5-изотиоцианатом (ФИТЦ-ЛПС), получен по методике, опубликованной ранее [16].
Определение молекулярной массы. Молекулярную массу ХН рассчитывали по уравнению Марка–Хаувинка–Куна:
| η | = KмMα,
где | η | − характеристическая вязкость, М − молекулярная масса, Kм и α – эмпирические константы, значения которых взяты из работы [17]. Вязкость растворов ХН в 0.1 М ацетатном буфере, рН 5.0, содержащем 0.2 М NaCl, определяли в модифицированном вискозиметре Убеллоде (СКБ “Пущино”, Россия) с диаметром капилляра 0.3 мм при 25°С (точность измерения ±0.1 с). Значения характеристической вязкости рассчитывали двойной графической экстраполяцией зависимости lnηотн/С от бесконечного разбавления.
Молекулярную массу низкомолекулярного производного определяли по методу, основанному на реакции восстанавливающих сахаров с ферроцианидом [18].
Получение комплексов ЛПС : хитозан. ЛПС (1 мг) и ХН (7–1.4 мг) растворяли раздельно в 5 мл апирогенной деионизированной воды. Растворы выдерживали в течение 48 ч при 37°С, затем смешивали равные аликвоты ЛПС и ХН и инкубировали 18 ч при 37С. Перед приготовлением комплексов растворы ЛПС и ХН фильтровали через фильтр с диаметром пор 0.22 мкм “Millex GS” (“Millipore”, Ирландия).
Атомно-силовая микроскопия (АСМ). ЛПС растворяли в дистиллированной деионизированной воде в концентрации 0.1 мг/мл, образцы ХН – в концентрации 0.01, 0.1 или 0.5 мг/мл. Аликвоты (12 мкл) водных растворов каждого комплекса и их исходных компонентов наносили на свежесколотую слюду и сушили при 37°С в течение 24 ч или при 70С в течение 30 с (для ЛПС). Морфологию ХН, ЛПС и их комплексов изучали на атомном силовом микроскопе Solver P47 (“NT-MDT”, Россия) в режиме постукивающего контакта с использованием иглы радиусом 10 нм.
Динамическое рассеяние света (ДРС) и электрокинетические свойства комплексов ЛПС : ХН. Размеры и ζ-потенциал ЛПС, ХН и их комплексов в растворе определяли с использованием системы ZetaSizer NanoZS (“Malvern”, Великобритания), работающей при 633 нм. Измерения проводили при 25°С. Гидродинамический радиус частиц рассчитывали автоматически с помощью программного обеспечения прибора, основанного на анализе автокорреляционной функции. ζ-потенциал рассчитывали по экспериментально определенной электрокинетической подвижности с использованием уравнения Генри [19].
Лейкоциты. В работе использовали лейкоциты венозной крови пяти здоровых доноров, которая была получена в клинических условиях согласно ГОСТ р 53079.4-2008. Все доноры оформили добровольное информированное согласие на участие в проводимых исследованиях. Лейкоциты отделяли от венозной крови путем лизиса эритроцитов в растворе, содержащем 0.15 М NH4Cl, 10 мМ NaHCO3 и 0.1 мМ ЭДТА в течение 10 мин [20]. Фракцию лейкоцитов дважды промывали, ресуспендировали в фосфатно-солевом буфере (ФСБ) и доводили до концентрации ≈ 107 кл./мл.
Взаимодействие ЛПС с нейтрофилами. Количество ФИТЦ-ЛПС, связавшегося с клеткой, определяли с помощью проточной цитометрии. В 96-луночный планшет (“Costar”, США) вносили суспензию лейкоцитов (100 мкл) в ФБР или в ФБР с добавлением пула сыворотки (20 мкл) доноров и инкубировали в течение 1 ч с образцами. Клетки отделяли от планшета, выдерживая на льду (10 мин), и немедленно анализировали с помощью проточной цитометрии на FACSCalibur (“Becton Dickinson”, США). Идентификацию популяций клеток проводили на основании данных прямого и бокового рассеяния света.
Для определения количества ФИТЦ-ЛПС, поглощенного нейтрофилом, к суспезии клеток добавляли 10 мкл раствора трипанового синего для гашения флуоресценции ФИТЦ-ЛПС, оставшегося на поверхности клетки.
Продукция ФНО-α. Венозную кровь помещали в стерильные пробирки на 5 мл, содержащие 150IU гепарина (“Sigma”, США), разбавляли 1 : 5 в стерильной среде 199 (“Sigma”, США), содержащей 300 мг/л L-глютамина (“Sigma”, США) и 50 мкг/мл гентамицина (“Белмедпрепараты”, Белоруссия). Разбавленную кровь (0.1 мл) переносили в стерильный 96-луночный планшет (“Corning Costar”, США) и инкубировали с растворами (0.1 мл) исследуемых соединений (37С, 5% СО2). Для определения ингибирующего действия хитозана на синтез цитокинов, индуцированный ЛПС, в каждую лунку, содержащую 0.1 мл цельной крови, разбавленной как описано выше, вносили раствор ХН (0.1 мг/мл) и через 10 мин раствор ЛПС E. coli О55:В5 (“Sigma”, США) до конечной концентрации эндотоксина, равной 100 нг/мл. Через 24 ч супернатанты собирали и определяли содержание ФНО-α с помощью специфической тест-системы (ООО “Цитокин”, Россия).
Статистический анализ. Все данные представлены как среднее значение ± стандартное отклонение. Статистический анализ проводили с помощью однофакторного дисперсионного анализа. Различия считали статистически значимыми при р < 0.05.
Результаты и их обсуждение
Характеристика комплексов. В работе использовали ХН со степенью N-дезацетилирования 96% и молекулярной массой 110 кДа (ХН-110) и его низкомолекулярное производное с молекулярной массой 5 кДа (ХН-5).
Характеристика надмолекулярной организации комплексов ЛПС E. coli с ХН-110 была проведена ранее [11], и наиболее выраженная модификация ЛПС E. coli в результате его связывания с хитозаном наблюдалась для комплекса ЛПС-ХН-110 при весовом соотношении 1 : 1.
В настоящей работе методом АСМ была исследована морфология комплексов. Наряду с указанным выше комплексом были получены комплексы ЛПС E. coli с ХН-5 при весовом соотношении 1 : 5, что соответствует максимальному насыщению ЛПС хитозаном. На рис. 1 представлены сканы исходных компонентов ЛПС (0.1 мг/мл) и ХН-5. Согласно полученным изображениям, ЛПС образует мицеллоподобные структуры (около 10 нм), которые собираются в более крупные образования, что типично для амфифильных полимеров и было отмечено ранее [11].
Рис. 1. АСМ-изображения исходных образцов: а – ЛПС (0.1 мг/мл); б – ХН-5 (0.1 мг/мл); в – ХН-5 (0.5 мг/мл).
Данные АСМ выявили зависимость морфологии ХН-5 от его концентрации (0.1 и 0.5 мг/мл). При концентрации 0.1 мг/мл (рис. 1б) ХН-5 распределялся на гидрофильной отрицательно заряженной поверхности слюды неравномерно (средняя шероховатость поверхности 2.1 нм), имея склонность к формированию островковых структур высотой 5 нм, состоящих из частиц округлой формы. При концентрации 0.5 мг/мл на сканах (рис. 1в) для ХН-5 были зарегистрированы частицы округлой формы, объединенные в плотно упакованные линейные структуры. Похожие структуры были также характерны и для ХН-110 [11, 21].
Комплекс ЛПС : ХН-5 1 : 1 (рис 2а) формировал ярко выраженную сетчатую структуру с высотой стенок около 20 мм и шириной от 88 до 146 нм. В отдельных местах на поверхности сетки наблюдались островки неправильной формы с четкой огранкой, что обычно является признаком кристаллического вещества и может быть следствием присутствия остатков солей в образце.
Для комплекса с максимальным содержанием хитозана (ЛПС : ХН-5 1 : 5) (рис. 2б) характерно более равномерное и плотное распределение образца по поверхности слюды с высотой слоя до 12 нм с формированием хаотически расположенных пор.
Рис. 2. АСМ-изображения комплексов ЛПС : ХН-5 – 1 : 1 (а) и 1 : 5 (б).
Ранее [11] методом АСМ было зафиксировано изменение надмолекулярной структуры ЛПС при образовании комплекса с ХН-110. При весовом соотношении компонентов 1 : 1 формировались линейные червеобразные структуры. При увеличении содержания хитозана в комплексе регистрировали структуры, равномерно распределенные по поверхности слюды, с присутствием более крупных агрегатов. Согласно характеру распределения частиц по поверхности слюды было высказано предположение о поверхностной локализации хитозана в комплексе ЛПС-ХН-110 [11]. В данной работе была зафиксирована трансформация мицеллярной структуры исходного ЛПС в результате его взаимодействия с ХН-5. При этом линейные сетчатые структуры, равномерно распределенные по поверхности слюды, в случае комплекса ЛПС : ХН-5 1 : 1 с увеличением содержания хитозана в комплексе ЛПС : ХН-5 1 : 5 переходили в более плотно упакованные агрегаты (рис. 2).
Методом ДРС были определены размер и поверхностный заряд (ζ-потенциал) комплексов ЛПС-ХН-5 (табл. 1).
Таблица 1. Размер и поверхностный заряд ЛПС и его комплексов с хитозанами
Образец | ζ-потенциал, мВ | Размер, нм | |
Гидродинамический диаметр | Cодержание, % | ||
ЛПС | –33.5 ± 6.4 | 132.5 ± 0.3 | 100 |
ХН-5 | +37.0 ± 7.2 | - | - |
ЛПС : ХН-5 1 : 1 | +4.1 ± 0.6 | 140.1 ± 14.5 | 49 |
533.3 ± 95.1 | 51 | ||
ЛПС : ХН-5 1 : 5 | +7.8 ± 1.7 | 224.4 ± 49.7 | 100 |
Согласно результатам табл. 1, комплексы представляли собой положительно заряженные частицы с невысоким значением поверхностного потенциала, которое слабо зависело от содержания ХН-5 в комплексе. Размер комплексов превышал размер исходных агрегатов ЛПС. При этом комплекс ЛПС : ХН-5 1 : 5 имел мономодальное распределение частиц, тогда как при соотношении 1 : 1 в/в формировалось две популяции частиц с размерами 140 и 533 нм. С учетом низкого значения ζ-потенциала, которое не способствует стабилизации комплекса, можно предположить, что частицы размером 533 нм формировались путем агрегации более мелких частиц (140 нм). Это согласуется с данными АСМ (рис. 2) и подтверждает наше предположение о том, что комплексы ЛПС : ХН-5 1 : 1 и 1 : 5 имеют сходную надмолекулярную структуру. Ранее было установлено, что комплексы ЛПС-ХН-110 имели высокое значение ζ-потенциала, величина которого увеличивалась с повышением содержания ХН-110 в комплексе, что позволило высказать предположение о поверхностной локализации поликатиона в комплексе с ЛПС.
Полученное в настоящей работе невысокое значение поверхностного потенциала для комплексов ХН-5 может быть обусловлено большей гибкостью и подвижностью молекул олигохитозана, что способствовало его проникновению в агрегаты ЛПС. В этом случае, вероятно, О-специфические полисахаридные цепи эндотоксина экранируют заряд ХН-5, молекулы которого не локализовались на поверхности ЛПС, в отличие от ХН-110, а находились внутри агрегатов эндотоксина.
Влияние белков сыворотки на стабильность комплексов. Для оценки стабильности полученных комплексов были изучены их физико-химические свойства в присутствии белков сыворотки крови человека, что позволило рассматривать формирование таких комплексов в системах, моделирующих живой организм.
В предыдущем разделе мы отметили разный характер взаимодействия ХН с ЛПС, который зависит от молекулярной массы поликатиона. Согласно предыдущим результатам, ХН-110 локализуется на поверхности агрегатов эндотоксина [11], тогда как его олигосахарид (ХН-5) способен проникать внутрь этих агрегатов. Такое разное поведение при образовании комплексов ХН-100 и его олигосахарида с ЛПС может обусловливать и их особенности взаимодействия с белками сыворотки. Для оценки этого в последующей работе мы использовали комплексы ЛПС с хитозанами разной молекулярной массы.
Действие белков сыворотки на комплексы определяли методами ДРС по изменению поверхностного заряда и размера частиц как исходных компонентов, так и полученных на их основе комплексов (табл. 2).
Таблица 2. Размер и поверхностный заряд ЛПС и его комплексов с хитозанами в присутствии белков сыворотки крови человека
Образец | ζ-потенциал, мВ | Размер (Z-средний), нм | ||
вода | сыворотка | вода | сыворотка | |
Белки сыворотки | –28.8 ± 2.1 | 47.1 ± 1.9 | ||
E-ЛПС | –33.5 ± 6.4 | –28.2 ± 2.3 | 134.4 ± 2.5 | 87.0 ± 7.0 |
ХН-110 | +45.1 ± 2.2 | +40.3 ± 3.2 | 822.0 ± 41.4 | 99.7 ± 5.2 |
ЛПС : ХН-110 1 : 1 | +23.1 ± 1.1 | –1.3 ± 0.1 | 221.7 ± 3.9 | 2265.4 ± 523.1 |
ЛПС : ХН-110 1 : 7 | +39.0 ± 1.2 | +35.1 ± 0.5 | 281.6 ± 0.5 | 158.1 ± 3.5 |
ХН-5 | +37.0 ± 7.2 | +25.0 ± 0.7 | 233.1 ± 11.0 | 62.8 ± 1.0 |
ЛПС : ХН-5 1 : 1 | +4.1 ± 0.6 | –3.7 ± 0.1 | 231.5 ± 4.3 | 1009 ± 124.5 |
ЛПС : ХН-5 1 : 5 | +7.8 ± 1.7 | +7.5 ± 0.1 | 220.2 ± 10.6 | 110.6 ± 2.7 |
Сывороточные белки представляли собой полидисперсную популяцию частиц с небольшими размерами (согласно Z-среднему) с поверхностным потенциалом –28.8 мВ.
В присутствии белков сыворотки ХН-110 и ХН-5 сохраняли положительное значение поверхностного потенциала, но, согласно данным куммулятного анализа, сыворотка вызывала существенную дезагрегацию частиц поликатиона. В присутствии белков сыворотки ЛПС также формировал более мелкие агрегаты.
Согласно данным табл. 2, ярко выраженное влияние сывороточных белков наблюдалось в случае комплексов, полученных при весовом соотношении компонентов ЛПС : ХН 1 : 1 независимо от молекулярной массы поликатиона. В присутствии белков сыворотки эти комплексы формировали крупные агрегаты (1009 и 2265 нм для ХН-5 и ХН-110 соответственно) с невысоким отрицательным значением поверхностного заряда. В этом случае мы наблюдаем агрегацию частиц комплекса и образование осадка для комплекса ЛПС : ХН-110. В присутствии сыворотки в систему происходила перезарядка частиц комплексов ЛПС : ХН 1 : 1, оба комплекса приобретали низкое отрицательное значение поверхностного потенциала недостаточное для предотвращения их агрегации. В данном случае, вероятно, на поверхности комплекса образовывалась так называемая белковая корона, что характерно для наночастиц при контакте с белками сыворотки [22]. При добавлении сыворотки к комплексам с высоким содержанием поликатиона (1 : 7 и 1 : 5 для ХН-110 и ХН-5 соответственно) их поверхностный потенциал значительно не изменялся. Значение Z-среднего указывало на разукрупнение частиц, однако достоверно это утверждать нельзя, поскольку при анализе куммулянтов учитывалась вся совокупность частиц, и падение размеров могло быть связно просто с присутствием мелких частиц белков сыворотки. Данные распределительного анализа, представленные на рис. 3, свидетельствовали о том, что характер распределения по размерам данных комплексов изменялся незначительно. Принимая во внимание значения их ζ-потенциала, можно предположить, что комплексы с максимальным насыщением ЛПС хитозаном остаются стабильными в присутствии сыворотки крови человека.
Рис. 3. Распределение по размерам частиц комплекса ЛПС : ХН-110 1 : 7 (а) и ЛПС : ХН-5 1 : 5 (б) в воде (1) и в присутствии сыворотки (2).
Взаимодействие ЛПС и его комплексов с нейтрофилами. Основными мишенями ЛПС являются фагоцитирующие клетки иммунной системы, включая тканевые макрофаги, периферические моноциты, нейтрофилы и дендритные клетки. Для того чтобы ЛПС вызывал прямые провоспалительные или иммунологические реакции, он должен сначала распознаваться этими фагоцитирующими клетками в сочетании со специфическими механизмами клеточного прикрепления или интернализации [5, 7, 23]. Общий механизм взаимодействия любых молекул и супрамолекулярных комплексов осуществляется в несколько этапов: адгезия на мембране, внутриклеточный захват посредством различных механизмов, транспортировка внутри клетки в органеллы, в которых происходит последующая деградация, экзоцитоз во внеклеточное пространство [24] или поступление в цитозоль [10].
В настоящей работе изучено взаимодействие ЛПС и ЛПС-ХН комплексов с клетками иммунной системы нейтрофилами. Для этого был получен флуоресцентно-меченный ФИТЦ. Оценку взаимодействия ФИТЦ-ЛПС с нейтрофилами проводили как на интактных клетках, так и на клетках предварительно инкубированных с ХН. Для тушения внеклеточной флуоресценции непоглощенного ФИТЦ-ЛПС использовали раствор трипанового синего. Этот краситель не проникает в неповрежденные нейтрофилы, что позволяет определить количество поглощенного нейтрофилами ФИТЦ-ЛПС.
На рис. 4 представлены результаты взаимодействия с клеткой ФИТЦ-ЛПС, его комплексов ХН как в культуральной среде, так и в среде, содержащей белки сыворотки крови человека.
Рис. 4. Взаимодействие ЛПС E. coli (1), комплексов ЛПС : ХН с нейтрофилами крови человека (2) и ЛПС с нейтрофилами, преинкубированными с ХН (3): а, в – инкубация нейтрофилов с образцами (30 мин); б, г – то же с добавлением сыво-ротки крови человека (30 мин). I – суммарная флуоресценция ФИТЦ-ЛПС (ОИФ), прореагировавшего с нейтрофилом; II – флуоресценция ФИТЦ-ЛПС, поглощенного нейтрофилом. ОИФ ФИТЦ-ЛПС (1), прореагировавшего с нейтрофилами, принимали за 100%. (*Разница между образцами 2, 3 и ЛПС статистически достоверна, р < 0.05).
Согласно полученным данным, ФИТЦ-ЛПС в составе комплекса с ХН-110 лучше взаимодействовал с клеткой, чем исходный эндотоксин. Количество ЛПС в комплексе, связанного с нейтрофилом, увеличивалось с увеличением содержания ХН-110 (рис. 4а). В отсутствие белков сыворотки комплексы гораздо хуже поглощались клеткой, чем свободный эндотоксин и основная часть ЛПС оставалась на поверхности клетки. Предварительная обработка клеток 25 мкг ХН-110 (соотношение ЛПС : ХН 1 : 1) практически не влияла на связывание и поступление ЛПС внутрь клетки. При увеличении концентрации ХН-110 до 175 мкг/мл (соотношение ЛПС : ХН 1 : 7) количество, прореагировавшего с клеткой ФИТЦ-ЛПС, снижалось в 1.3 раза.
Добавление в исследуемую систему сыворотки крови человека значительно повышало количество связанного с клеткой ЛПС. В этом случае интенсивность флуоресценции нейтрофилов, обработанных комплексами ЛПС : ХН-110 1 : 1 и 1 : 5 была в 3.5–4.0 раза выше, чем в системе не содержащей белки сыворотки (рис. 4а, б). При этом основная часть ЛПС в составе комплекса поступала внутрь нейтрофила. Вероятно, в данном случае белки сыворотки проявляли свою опсонизирующую способность, стимулируя фагоцитоз частиц. Предварительная обработка клеток ХН-110 в системе, содержащей сывороточные белки, также стимулировала прикрепление и последующее проникновение ФИТЦ-ЛПС в клетку (рис. 4б).
При взаимодействии с нейтрофилами комплексов ЛПС : ХН-5 увеличение интенсивности флуоресценции наблюдалось только для комплекса с высоким содержанием ХН-5 (1 : 5) (рис. 4в). При предварительной обработке клеток ХН-5 (25 мкг/мл) ингибировал прикрепление ФИТЦ-ЛПС к нейтрофилам, а при увеличении концентрации ХН-5 до 125 мкг/мл, в отличие от ХН-110, ингибирования связывания ЛПС с клеткой не наблюдалось. Внесение в среду белков сыворотки в случае ЛПС : ХН-5 (рис. 4г) так же, как и в случае комплексов с ХН-110, способствовало их интернализации в клетку. Однако количество ФИТЦ-ЛПС в составе комплекса, прореагировавшего с клеткой, было меньше, чем в случае комплексов с ХН-110. Необходимо отметить ингибирующее действие при предварительной обработке клеток ХН-5, в отличие от ХН-110, сохранялось и в присутствии белков сыворотки.
Цитокин-индуцирующая активность. Хорошо известно, что ЛПС обладает способностью стимулировать синтез цитокинов в клетках макроорганизма. При высоких концентрациях эндотоксина в кровотоке наблюдается гиперактивация иммунной системы, сопровождаемая тяжелыми осложнениями [6].
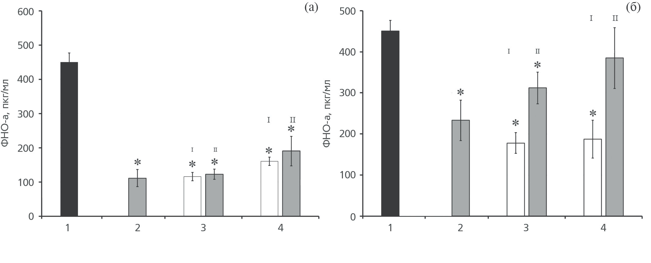
На рис. 5 представлены результаты изучения влияния ХН на способность ЛПС индуцировать синтез провоспалительного цитокина – фактора некроза опухоли-α (ФНО-α) в клетках цельной крови человека. Из всех исследованных образцов наибольшей активностью обладал ЛПС. Хитозан имел более низкую (в 2–4 раза) активность, чем ЛПС, при этом ХН-5 почти в 2 раза активнее ХН-110. Способность ЛПС стимулировать синтез ФНО в комплексах с ХН-110 снижалась на 75%, независимо от соотношения компонентов. ХН-110 проявлял ингибирующую активность как в составе комплекса, так и при предварительной обработке клеток. ХН-5 менее эффективно снижал цитокин-индуцирующую активность ЛПС – статистически достоверное снижение содержания ФНО-α наблюдалось только при соотношении ЛПС : ХН-5 1 : 1 как в комплексе, так и при предварительной обработке клеток олигохитозаном.
Рис. 5. Продукция ФНО-α клетками цельной крови человека, стимулированная ЛПС (1), ХН (2), комплексами ЛПС : ХН (3) и ЛПС после преинкубации (10 мин) клеток с ХН (4): а – ХН-110; б – ХН-5 (концентрация: ЛПС – 100 нг/мл, ХН – 100 нг/мл (I), ХН-110 − 700 нг/мл, ХН-5 – 500 нг/мл (II). (*Разница между образцами и ЛПС статистически достоверна, р < 0.05).
В результате проведенных экспериментов установлено, что присутствие в культуральной среде белков сыворотки сильно влияло на способность ЛПС взаимодействовать с клетками иммунной системы. Так, было показано, что в отсутствии сывороточных белков ЛПС в комплексе с ХН-110 более эффективно связывался с нейтрофилами, но при этом его поступление внутрь клетки уменьшалось (рис. 4а). Этот результат может быть связан с увеличением доступности эндотоксина для взаимодействия за счет изменения его надмолекулярной структуры в результате образования комплекса с ХН либо с присутствием на поверхности клетки сайтов связывания ХН. В пользу последнего предположения может свидетельствовать высокий заряд комплексов ЛПС : ХН-110 [11] и тот факт, что предварительная инкубация клеток с ХН-110 отменяла его стимулирующий эффект и даже ингибировала связывание ЛПС с нейтрофилами (рис. 4б), возможно, из-за существования общих для компонентов комплекса клеточных рецепторов (например, CD14) [26]. Олигохитозан менее эффективно стимулировал связывание ЛПС с клеткой. Вероятно, он имеет существенно более низкую по отношению к специфическим рецепторным молекулам, чем более высокомолекулярный ХН. В присутствии сыворотки резко увеличивалось поглощение ЛПС в комплексе с ХН-110. Этот эффект сохранялся, но в меньшей степени и при преинкубации клеток с хитозаном (рис. 4б). При этом количество ЛПС на поверхности клетки резко падало. Как результат, активация внеклеточным ЛПС сигнальных путей, обеспечивающих синтез провоспалительных цитокинов через внешние рецепторы (в частности TLR4), также должна была резко снижаться. Однако могла расти продукция цитокинов, опосредованная связыванием ЛПС с каспазой [10], что не всегда могло компенсировать это падение. В настоящей работе было зафиксировано уменьшение секреции клеткой ФНО-α при действии ХН (рис. 5). Это в свою очередь может быть связано с тем, что не весь поглощенный ЛПС может поступать в цитозоль и, скорее всего, это имеет место в настоящей работе. Кроме того, не исключается возможность ингибирования связывания ЛПС с каспазой в результате образования прочного комплекса с хитозаном.
Финансирование работы. Данная работа финансировалась за счет средств бюджета института (Тихоокеанский Институт биоорганической химии им. Г.Б. Елякова ДВО РАН). Никаких дополнительных грантов на проведение или руководство данным конкретным исследованием получено не было.
Соблюдение этических стандартов. В данной работе отсутствуют исследования человека или животных.
Об авторах
В. Н. Давыдова
Тихоокеанский институт биоорганической химии им. Г.Б. Елякова, Дальневосточное отделение РАН
Автор, ответственный за переписку.
Email: vikdavidova@yandex.ru
Россия, 690022, Владивосток
А. В. Володько
Тихоокеанский институт биоорганической химии им. Г.Б. Елякова, Дальневосточное отделение РАН
Email: vikdavidova@yandex.ru
Россия, 690022, Владивосток
В. И. Горбач
Тихоокеанский институт биоорганической химии им. Г.Б. Елякова, Дальневосточное отделение РАН
Email: vikdavidova@yandex.ru
Россия, 690022, Владивосток
С. В. Чусовитина
Институт автоматики и процессов управления, Дальневосточное отделение РАН
Email: vikdavidova@yandex.ru
Россия, 690041, Владивосток
Т. Ф. Соловьева
Тихоокеанский институт биоорганической химии им. Г.Б. Елякова, Дальневосточное отделение РАН
Email: vikdavidova@yandex.ru
Россия, 690022, Владивосток
И. М. Ермак
Тихоокеанский институт биоорганической химии им. Г.Б. Елякова, Дальневосточное отделение РАН
Email: vikdavidova@yandex.ru
Россия, 690022, Владивосток
Список литературы
- Meng Q., Sun Y., Cong H., Hu H., Xu F. J. A // Drug Deliv. Translat. Res. 2021. V. 11. № 4. P. 1340−1351.
- Li J., Zhuang S. // Eur. Polym. J. 2020. V. 138. P. 109984.
- Solov’eva T.F., Davydova V.N., Krasikova I.N., Yermak I.M. // Mar. Drugs. 2013. V. 11. № 6. P. 2216−2229.
- Brandenburg K., Wiese A. // Curr. Top. Med. Chem. 2005. V. 4. № 11. P. 1127−1146.
- Triantafilou M., Triantafilou K. // J. Endotox. Res. 2005. V. 11. № 1. P. 5−11.
- Gioannini T. L., Weiss J. P. // J. Immunol. Res. 2007. V. 39. № 1–3. P. 249−260.
- Ulevitch R. // Annu. Rev. Immunol. 1995. V. 13. № 1. P. 437−457.
- Müller M., Scheel O., Lindner B., Gutsmann T., Seydel U. // J. Endotox. Res. 2003. V. 9. № 3. P. 181−186.
- Rathinam V.A.K., Fitzgerald K.A. // Nature. 2013. V. 501. № 7466. P. 173−175.
- Mazgaeen L., Gurung P. // Int. J. Mol. Sci. 2020. V. 21. № 2. P. 379. https://doi.org/10.1111/1750-3841.1400210.3390/ijms21020379
- Davydova V.N., Volod’ko A.V., Sokolova E.V., Chusovitin E.A., Balagan S.A., Gorbach V.I. et al. // Carbohydr. Polym. 2015. V. 123. P. 115−121.
- Yermak I.M., Davidova V.N., Gorbach V.I., Luk’yanov P.A., Solov’eva T.F., Ulmer A.J. et al. // Biochimie. 2006. V. 88. № 1. P. 23−30.
- Быкова В.М., Немцев С.В. Сырьевые источники и способы получения хитина и хитозана. М.: Наука, 2002. C. 16−19.
- Domszy J., Roberts G. // Makromol. Chem. Phys. 1985. V. 186. № 8. P. 1671−1677.
- Давыдова В.Н., Набережных Г.А., Ермак И.М., Горбач В.И., Соловьева Т.Ф. // Биохимия. 2006. Т. 71. № 3. С. 417−425.
- Triantafilou M., Triantafilou K., Fernandez N. // Eur. J. Biochem. 2000. V. 267. № 8. P. 2218−2226.
- Harding S.E. // Prog. Biophys. Mol. Biol. 1997. V. 67. № 2. P. 207−262.
- Park J.T., Johnson M.J. // J. Biol. Chem. 1949. V. 181. № 1. P. 149−151.
- Henry D.C. // Proc. R. Soc. A Math. Phys. Eng. Sci. 1931. V. 387. № 1792. P. 133−146.
- Lehmann A.K., Sørnes S., Halstensen A. // J. Immunol. Meth. 2000. V. 243. № 1–2. P. 229−242.
- Volod’ko A.V., Davydova V.N., Chusovitin E., Sorokina I.V., Dolgikh M.P., Tolstikova T.G. et al. // Carbohydr. Polym. 2014. V. 101. № 1. P. 1087−1093.
- Tenzer S., Docter D., Kuharev J., Musyanovych A., Fetz V., Hecht R. et al // Nat. Nanotechnol. 2013. V. 8. № 10. P. 772−781.
- Wright S.D. // Curr. Opin. Immunol. 1991. V. 3. № 1. P. 83−90.
- Зубарева А.А., Свирщевская Е.В. // Прикл. биохимия и микробиология. 2016. Т. 52. № 5. С. 448−454.
- Thornberry N.A. // Cell Death and Differentiation. 1999. V. 6. № 11. P. 1023−1027.
- Otterlei M., Varum K.M., Ryan L., Espevik T. // Vaccine. 1994. V. 12. № 9. P. 825–832.
Дополнительные файлы







