Сравнение эффективности различных промоторов для продукции секретируемой β-маннаназы Bacillus subtilis клетками метилотрофных дрожжей Ogataea haglerorum
- Авторы: Подплетнев Д.А.1, Лаптева А.Р.1, Синеокий С.П.1, Тарутина М.Г.1
-
Учреждения:
- Национальный исследовательский центр “Курчатовский институт”
- Выпуск: Том 60, № 1 (2024)
- Страницы: 29-38
- Раздел: Статьи
- URL: https://ogarev-online.ru/0555-1099/article/view/259740
- DOI: https://doi.org/10.31857/S0555109924010038
- EDN: https://elibrary.ru/HCWDFE
- ID: 259740
Цитировать
Полный текст
Аннотация
Сильные и строго регулируемые промоторы являются мощным инструментом для создания высокопродуктивных штаммов-продуцентов рекомбинантных белков. Чтобы расширить потенциал системы экспрессии Ogataea haglerorum, природные метанол-индуцируемые промоторы генов OhMOX и OhFMD и конститутивный промотор гена OhGAP были изучены в сравнении с промотором гена OpMOX из дрожжей O. polymorpha. В качестве репортерного использовали ген MANS, кодирующий рекомбинантную β-маннаназу. При культивировании трансформантов O. haglerorum, содержащих ген MANS под контролем промоторов pOhMOX, pOhFMD, pOhGAP из O. haglerorum и pOpMOX из O. polymorpha, активность β-маннаназы в супернатанте составила 170, 93, 89 и 100% соответственно. По результатам ПЦР в реальном времени в клетках дрожжей O. haglerorum промотор pOhMOX обеспечивал более высокий уровень экспрессии гена MANS, чем промотор pOpMOX из дрожжей O. polymorpha. Полученные сведения о силе промоторов из дрожжей O. haglerorum могут быть полезны при конструировании продуцентов рекомбинантных белков и оптимизации путей метаболизма в дрожжах O. haglerorum.
Ключевые слова
Полный текст
Метилотрофные дрожжи родов Komagataella (Pichia) и Ogataea (Hansenula) широко используются для продукции рекомбинантных белков благодаря их способности достигать высокой плотности клеток при культивировании в минимальной среде в биореакторе и наличию сильных промоторов для эффективной экспрессии гетерологичных генов. Термотолерантные дрожжи рода Ogataea применяются для получения белков при повышенной температуре, 37°C и выше, что позволяет снизить вероятность контаминации, длительность ферментации, а также затраты на охлаждение биореактора [1].
Метилотрофные дрожжи используют общий путь метаболизма метанола. Первый фермент этого пути окисляет метанол до формальдегида и перекиси водорода. В дрожжах рода Ogataea этот этап контролируется метанолоксидазой, кодируемой геном MOX. Регуляция экспрессии гена MOX осуществляется на уровне транскрипции. Во время роста дрожжей на метаноле доля метанолоксидазы составляет 30–40% от клеточного белка [2], поэтому промотор гена MOX (pMOX) является одним из наиболее сильных индуцируемых промоторов, широко используемых в системе экспрессии O. polymorpha. При использовании промотора pMOX получен широкий ассортимент белковых препаратов, например частицы антигена вируса гепатита B человека [3], белки ротавируса VP6 [4], папилломовируса HPV-16 [5], человеческий сывороточный альбумин [6], в последнем случае выход продукта в ферментере достигал 5.1 г/л. Другой сильный метанол-индуцируемый промотор, который используют для экспрессии гетерологичных генов в дрожжах O. polymorpha, — промотор гена FMD, кодирующего формиатдегидрогеназу. Показано, что штаммы-продуценты O. polymorpha, содержащие под контролем промотора pFMD ген глюкоамилазы из Schwanniomyces occidentalis [7] или ген CON фитазы [8], продуцируют, соответственно, 1.4 или 13.49 г/л целевого фермента при культивировании в ферментере.
Промоторы эукариот, как правило, имеют больший размер, чем промоторы прокариот, и содержат коровый элемент (core) и специфические регуляторные последовательности — UAS (upstream activation sequences) и URS (upstream repressing sequence). Коровый элемент TATA-бокс — это сайт связывания TATA-связывающего белка (TBP), субъединицы транскрипционного фактора TFIID, включенного в процесс инициации транскрипции [9]. Последовательности UAS и URS — cis-действующие элементы — представляют собой сайты связывания с транскрипционными факторами, которые усиливают (активатор) или ослабляют (репрессор) силу промотора [10, 11]. Экспериментально было показано, что в 5′-регуляторном регионе промотора гена MOX из дрожжей O. polymorpha имеются последовательности, которые могут быть идентифицированы как UAS1, UAS2 и URS1 [2].
Механизм, с помощью которого метанол индуцирует транскрипцию генов, участвующих в пути утилизации метанола, не изучен до конца. Исследования в этом направлении проводят обычно на промоторе гена AOX1 из дрожжей K. phaffii. Были идентифицированы позитивные регуляторы промотора pAOX1 в ответ на метанол — Mxr1p, Mit1p и Prm1 [12, 13], которые не взаимодействуют друг с другом и имеют различные сайты связывания [14].
Альтернативой индуцируемым промоторам являются конститутивные промоторы, под контролем которых синтез рекомбинантных белков осуществляется без применения токсичного метанола. Одним из наиболее сильных конститутивных промоторов является промотор гена GAP, кодирующего глицеральдегид-3-фосфатдегидрогеназу. Однако сила промотора pGAP сильно варьирует в зависимости от источника углерода в среде культивирования, что было показано в дрожжах P. pastoris и O. thermomethanolica [15, 16]. Промотор pGAP применяли, например, для экспрессии человеческого сывороточного альбумина [17] или фитазы [16].
Хотя системы экспрессии на метилотрофных дрожжах рода Ogataea хорошо разработаны, появляются новые их представители, потенциал которых не изучен. Вид Ogataea haglerorum выделен из дрожжей рода Ogataea в 2017 г. в результате проведения комплексного молекулярно-генетического анализа [18]. Для O. haglerorum разработаны технологии конструирования штаммов-продуцентов, включая экспрессионный вектор и метод введения ДНК в клетки реципиента [19]. Прежде для экспрессии гетерологичных генов использовали промотор гена MOX (pOpMOX) из дрожжей O. polymorpha. На основе штамма O. haglerorum ВКПМ Y-2584 были получены высокопродуктивные штаммы-продуценты β-маннаназы и фитазы, способные продуцировать ферменты при температуре 37°C [20, 21].
Цель данной работы — характеристика промоторов pOhMOX, pOhFMD и pOhGAP из штамма O. haglerorum ВКПМ Y-2584 в сравнении с промотором pOpMOX из дрожжей O. polymorpha.
МЕТОДИКА
Штамм дрожжей Ogataea haglerorum (G. I. Naumov, E. S. Naumova, C. F. Lee) ВКПМ Y-2584 получен из коллекции Биоресурсного центра Всероссийская коллекция промышленных микроорганизмов (БРЦ ВКПМ, НИЦ “Курчатовский институт”, Москва, Россия). Для клонирования промоторов и наработки плазмид использовали штамм E. coli XL1 blue (“Stratagene”, США).
Дрожжи O. haglerorum выращивали на среде YPD (дрожжевой экстракт — 10 г/л, пептон — 20 г/л, глюкоза — 20 г/л) при 37°C.
E. coli XL1 blue выращивали на среде LB (дрожжевой экстракт — 5 г/л, триптон — 10 г/л, NaCl — 5 г/л) при 37°C, при необходимости в среду добавляли ампициллин в концентрации 100 мкг/мл.
Основные генно-инженерные методы работы с ДНК выполнялись согласно методическим указаниям [22]. Хромосомную ДНК из дрожжей выделяли с использованием набора для выделения ДНК из дрожжей (“diaGene”, “Диа-М”, Россия). Правильность сборки всех плазмид проверяли секвенированием на секвенаторе “3500 Genetic Analyzer” (“Applied Biosystems”, “Hitachi”, Япония) в ЦКП НИЦ “Курчатовский институт” (Россия). Названия и последовательности всех использованных в работе праймеров указаны в таблице в Дополнительных материалах 1. Амплификация производилась на амплификаторе Thermal Cycler T100 (“Bio-Rad”, США) с использованием Kapa-полимеразы (“KapaBiosystems”, США).
Конструирование плазмид. Вектор pOpMOX-Km (рис. 1a) был сконструирован на основе коммерческого вектора pBluescript II KS+ (X52327, “Stratagene”, США). На его основе были созданы используемые в работе плазмиды pOhMOX–MANS-HARS, pOpMOX–MANS-HARS, pOhFMD-MANS-HARS и pOhGAP-MANS-HARS (рис. 1б), конструирование которых описано ниже.
Рис. 1. Схема экспрессионного вектора pOpMOX-Km (а) и плазмиды pOhMOX-MANS-HARS (б). Промоторы pOhFMD, pOhGAP и pOpMOX содержат плазмиды pOhFMD-MANS-HARS (7986 п. н.), pOhGAP-MANS-HARS (8091 п. н.) и pOpMOX-MANS-HARS (7993 п. н.) соответственно.
Первоначально были подобраны праймеры: MOX-up-F и MOX-dn-R для амплификации локуса MOX размером 3.8 тыс. п. н. на основе последовательностей GenBank: AEOI02000008 (O. parapolymorpha DL-1) и GenBank: AECK01000003.1 (O. polymorpha NCYC495 leu1.1). Праймеры FMD-up-F и FMD-dn-R использовали для амплификации 5′-нетранслируемой области гена FMD размером 900 п. н. на основе GenBank: AEOI02000010.1 (O. parapolymorpha DL-1) и AECK01000001.1 (O. polymorpha NCYC495 leu1.1); GAP-up-F и GAP-dn-R — для амплификации 5′-нетранслируемой области гена GAP размером 800 п. н. на основе последовательностей GenBank: AEOI02000010.1 (O. parapolymorpha DL-1) и AECK01000001.1 (O. polymorpha NCYC495 leu1.1). Амплификация производилась с использованием хромосомной ДНК O. haglerorum в качестве матрицы.
На основании полученных нуклеотидных последовательностей, в которых при помощи программы AlignX (“Vector NTI”, США) определены содержащие промоторы области, были подобраны праймеры: pMOX-2584-F и pMOX-2584-R для амлификации промотора pOhMOX размером 464 п. н.; pFMD2584-F и pFMD2584-MF-R для амплификации промотора pOhFMD размером 492 п. н.; pGAP2584-F и pGAP2584-MF-R для амплификации промотора pOhGAP размером 603 п. н. Полученные ПЦР-фрагменты встраивали в вектор pOpMOX-Km по сайтам SacI и BamHI с замещением фрагмента ДНК, содержащего промотор pOpMOX.
Далее в вектор по сайтам EcoRI и NotI встраивали синтетический ген MANS (OP897818.1) с оптимизацией кодонов для метилотрофных дрожжей, кодирующий β-маннаназу из B. subtilis (КФ 3.2.1.78). Ген MANS размером 1032 п. н. был синтезирован в компании ООО “Иннова плюс” (Россия). Затем в вектор по сайтам Eco32.I и SalI встраивали фрагмент с HARS размером 526 п. н., который амплифицировали с хромосомной ДНК дрожжей O. haglerorum с праймеров HARS-F и HARS-R. В результате были получены плазмиды pOhMOX-MANS-HARS, pOpMOX-MANS-HARS, pOhFMD-MANS-HARS и pOhGAP-MANS-HARS (рис. 1б).
Трансформация дрожжей O. haglerorum. Трансформацию дрожжей O. haglerorum осуществляли как описано в работе [23]. Электропорацию проводили с использованием электропоратора GenePulserXcellTM (“Bio-Rad”, США), параметры: 1500 В; 25 мкФ; 200 Ом. Трансформанты отбирали на плотной среде YPD с добавлением генетицина (G418, “Gibco”, Великобритания) в количестве 200 мкг/мл.
Тест на митотическую стабильность. Трансформанты растили в неселективных условиях (жидкая YPD) в глубоколуночных планшетах Deepwell Plate (“Eppendorf”, Германия) при 37°C в шейкере-инкубаторе Innova 44 (“New Brunswick”, Германия) в течение 24 ч. Затем культуру рассевали для получения отдельных колоний на чашках Петри с неселективной средой. С помощью репликатора отбирали по 100 независимых колоний и анализировали их на способность расти на средах YPD и YPD с генетицином (200 мкг/мл). Появление колоний, не растущих на среде YPD с генетицином, указывало на то, что плазмида не интегрирована в геном реципиента и содержится в клетках трансформанта в виде автономно реплицирующейся ДНК.
Изоляция плазмид из трансформантов O. hagle- rorum. Из биомассы трансформантов O. haglerorum, выращенных в 2 мл среды YPD с генетицином (200 мкг/мл), выделяли ДНК с использованием набора GeneJet Plasmid Miniprep (“ThermoScientific”, Литва), которой трансформировали клетки E. coli XL1 blue. Из одного трансформанта со среды LB с ампициллином выделяли плазмидную ДНК и анализировали размер плазмиды методом электрофореза.
Экспрессия гена MANS в дрожжах O. haglerorum. Культивирование трансформантов, содержащих ген MANS под контролем метанол индуцируемых промоторов, проводили следующим образом. Отдельную колонию засевали в 5 мл жидкой селективной среды YPD с генетицином в количестве 200 мкг/мл и выращивали при 37°C в шейкере-инкубаторе Innova 44 в течение 20 ч. Полученным инокулятом засевали пробирки с 5 мл селективной среды в соотношении 1: 10. Пробирки инкубировали при 37°C и 250 об/мин в течение 120 ч. Метанол (3%) добавляли к культуре через 24 и 48 ч культивирования.
Для культивирования трансформантов, содержащих ген MANS под контролем конститутивного промотора pOhGAP, инокулятом засевали пробирки с 5 мл селективной среды в соотношении 1: 10. Пробирки инкубировали при 37°C и 250 об/мин. в течение 72 ч. Глюкозу в количестве 2% добавляли через 24 и 48 ч культивирования. Отсутствие остаточной глюкозы в супернатанте проверяли методом ВЭЖХ на хроматографе Alliance (“Waters”, США) с рефрактометрическим детектором Waters 2414 с использованием колонки YMC-Pack Polyamine II (“YMC”, Япония).
По окончании культивирования биомассу отделяли центрифугированием при 1700 g в течение 10 мин. Супернатант использовали для измерения активности β-маннаназы и анализа ПААГ с ДДС-Na, который проводили в 12%-ном полиакриламидном геле в камере для вертикального электрофореза Mini-PROTEAN Tetra (“Bio-Rad”, США). Для визуализации белков использовали Кумасси бриллиантовый синий R250.
Определение активности β-маннаназы. Активность β-маннаназы определяли по методу Миллера с динитросалициловой кислотой (ДНС), используя маннозу (“Sigma”, США) в качестве стандарта [24]. В качестве субстрата использовали галактоманнан Locust bean gum from Ceratonia (LBG, “Sigma”, Италия). К 100 мкл 1%-ной суспензии LBG в 0.1 М ацетатном буфере (pH 5.0) добавляли 100 мкл супернатанта, содержащего фермент, и инкубировали при температуре 55°C в течение 10 мин. Затем к реакционной смеси добавляли 300 мкл ДНС, прогревали при 99°C в течение 5 мин. Измеряли содержание образующихся в результате ферментативной реакции редуцирующих сахаров спектрофотометрически при длине волны 540 нм на спектрофотометре Multiskan spectrum (“Thermo scientific”, США). За 1 ед. ферментативной активности β-маннаназы принимали количество фермента, действующего на субстрат с высвобождением 1 мкМ восстанавливающих сахаров (в пересчете на маннозу) за 1 мин в условиях эксперимента. Все измерения проводились трижды.
Выделение РНК и анализ транскрипции гена MANS под контролем промоторов pOhMOX и pOpMOX методом ПЦР в реальном времени. Для выделения РНК посевной культурой засевали 50 мл селективной среды YP (дрожжевой экстракт — 10 г/л, пептон — 20 г/л) с генетицином (200 мкг/мл), содержащей глюкозу (1%) или метанол (1%) в колбах на 0.75 л до начальной оптической плотности OD600 равной 0.1. Колбы, содержащие среду с метанолом, засевали и культивировали при 37°C и 250 об./мин. в течение 12 и 20 ч, а среду с глюкозой — 12 ч. Биомассу отделяли от среды центрифугированием при 6000 об./мин. в течение 10 мин и использовали для выделения РНК.
РНК выделяли при помощи набора RNeasy (“Qiagen”, Германия) в соответствии с инструкцией производителя. Полученную тотальную РНК доводили до концентрации 500 нг/мкл, обрабатывали ДНКазой (“Thermo”, Литва) и использовали в качестве матрицы в реакции обратной транскрипции при помощи ревертазы из набора MMLT (“Евроген”, Россия) и Oligo-dT праймеров. Полученную кДНК использовали в качестве матрицы для реакции ПЦР в реальном времени. Амплификацию проводили при помощи набора qPCRmix-HS SYBR (“Евроген”, Россия) на приборе 7500 Fast Real-Time PCR System (“Applied Biosystems”, США). В реакционную смесь добавляли 1 мкл кДНК-матрицы (50 мкг/мл), по 1 мкл раствора каждого из праймеров (10 нМ/мл) и доводили объем до 20 мкл деионизированной водой. Использовали следующую программу ПЦР: 5 мин при 95°C (1 цикл), 30 с при 95°C, 20 с при 65°C и 30 с при 72°C (40 циклов). Определяли величину экспрессии гена MANS в образцах по методу ddCT [25]. Для амплификации транскриптов гена MANS размером 210 п. н. использовали праймеры RT-MANS-F и RT-MANS-R. В качестве референсного гена домашнего хозяйства использовали ген актина (ACT) из штамма O. haglerorum (нуклеотидная последовательность гена ACT указана в Дополнительных материалах 2). Для амплификации транскриптов референсного гена размером 180 п. н. использовали праймеры RT-ACT-F и RT-ACT-R.
РЕЗУЛЬТАТЫ И ИХ ОБСУЖДЕНИЕ
Анализ последовательности локуса, кодирующего метанолоксидазу из дрожжей O. haglerorum. Основываясь на предположении о консервативности генов, кодирующих пути метаболизма метанола в метилотрофных дрожжах рода Ogataea, были подобраны праймеры на основе последовательностей локуса MOX из дрожжей O. polymorpha NCYC495 leu1.1 и O. parapolymorpha DL-1 из базы данных NCBI. В результате амплификации предположительного локуса MOX из O. haglerorum был получен ПЦР-фрагмент размером 3.8 т. п. н., нуклеотидная последовательность которого была определена секвенированием. В данной последовательности была определена предположительная открытая рамка считывания метанолоксидазы (Mox), кодирующая белок размером 664 аминокислотных остатка, последовательность которого идентична на 99.2% Mox из штамма O. polymorpha NCYC495 leu1.1 (NCBI: XP_018211707.1) и на 99.7% Mox из штамма O. parapolymorpha DL-1 (NCBI: XP_013934137.1). Высокое сходство говорит об обнаружении локуса OhMOX. Здесь и далее последовательности исследованных локусов указаны в таблице Дополнительные материалы 2.
Был проведен анализ последовательности размером 946 п. н., локализованной перед ATG кодоном гена OhMOX, содержащей промотор pOhMOX и регуляторные элементы из O. haglerorum (рис. 2). В 5′-области гена OhMOX были выявлены предполагаемые регуляторные области URS (upstream repression sequence), две последовательности UAS (UAS1 и UAS2, upstream activation sequence) и предполагаемый TATA-бокс по гомологии с этими элементами, выявленными экспериментальным путем в 5′ регуляторном регионе дрожжей O. polymorpha [2]. Локализация последовательностей URS (–907 до –883) и TATA-бокса одинакова в дрожжах O. haglerorum и O. polymorpha, но имеются отличия в нуклеотидной последовательности URS: GGACGTCGTTAAAGGAGGGCGCCAC в дрожжах O. haglerorum и GGACGTCGTTGAACGAGGGGGCCAC в дрожжах O. polymorpha. Консервативные последовательности UAS1 (–460 до –447) и UAS2 (–723 до –709) располагаются ближе к старт-кодону, чем в дрожжах O. polymorpha, из них только последовательность UAS1 (TCCTTGCACCGCCT) незначительно отличается от таковой (TCCTTGCACCGCAA) в O. polymorpha. В 5′-регионе гена OhMOX имеется также консенсус последовательность TGTCAGTTTCTCCACAGTGCA (–215 до –195), содержащая ключевой элемент CYCC (CTCC), которая предположительно является сайтом связывания с белком Mxr1p (methanol expression regulator 1). Транскрипционный фактор Mxr1p является ключевым активатором генов путей метаболизма метанола и биогенеза пероксисом в дрожжах P. pastoris [12, 14]. Предполагаемый сайт для связывания с Mxr1p выявлен в промоторе pOtMOX дрожжей O. thermomethanolica [26]. Предполагается, что Mxr1p является гомологом регуляторного фактора Adr1 из Saccharomyces cerevisiae, поскольку эти белки имеют сходство N-конца, а также показано участие Adr1 в активации промотора pOpMOX при его использовании в S. cerevisiae [27].
Рис. 2. Последовательность, локализованная перед ATG кодоном гена OhMOX. Подчеркиванием выделена область между открытыми рамками считывания соседних генов. Предполагаемые последовательности URS (upstream repressing sequence), UAS1, UAS2 (upstream activator sequences) и TATA-box выделены жирным шрифтом. Предполагаемый сайт связывания с core-последовательностью CYCC гомолога Mrx1 выделен курсивом и жирным шрифтом. Стартовый кодон открытой рамки считывания для метанолоксидазы (ATG) выделен жирным шрифтом. Местоположение отсутствующего участка размером 22 п. н. обозначено ломаной линией.
Экспрессионная плазмида pOhMOX-MANS-HARS содержит промотор pOhMOX размером 464 п. н. В качестве промотора была взята последовательность, расположенная между открытой рамкой считывания гена MOX и соседним геном, за исключением участка последовательности, содержащего TATA-бокс последнего. Было проведено сравнение последовательности промотора pOhMOX (464 п. н.), клонированного в плазмиду, с последовательностями промоторного региона генов MOX из штаммов O. polymorpha (NCYC495 leu1.1), O. parapolymorpha (DL1) и O. angusta с использованием программы Clustal Omega (www.ebi.ac.uk/Tools/msa/clustalo/). Результаты выравнивания последовательностей представлены в Дополнительных материалах 3. Последовательность промотора pOhMOX идентична последовательностям аналогичных промоторов из O. polymorpha, O. parapolymorpha и O.angusta на 80.0, 82.7 и 80.0% соответственно. В промоторе pOhMOX отсутствует участок размером 22 п. н. (ACCAGAGCAGCAGAGGGCCGAT) на расстоянии –236 п. н. от ATG-кодона и 21 п. н. до предположительного сайта связывания транскрипционного регулятора Mxr1p.
Анализ последовательности промоторного региона гена GAP, кодирующего глицеральдегид-3-фосфатдегидрогеназу из дрожжей O. haglerorum. Проанализировали последовательность нуклеотидов размером около 800 п. н., амплифицированную с хромосомной ДНК O. haglerorum с использованием праймеров, подобранных на основе консервативных участков локуса GAP в штаммах O. parapolymorpha DL-1 и O. polymorpha NCYC495 leu1.1. Амплифицированный фрагмент имел высокое сходство с локусом GAP из штаммов DL-1 и NCYC495. По аналогии с локусом MOX амплифицировали более протяженный участок региона GAP (см. Дополнительные материалы 2), содержащий открытую рамку считывания, кодирующую глицеральдегид-3-фосфатдегидрогеназу — фермент, состоящий из 335 аминокислотных остатков, который идентичен на 96.7% Gap из штаммов O. polymorpha NCYC495 leu1.1 (NCBI: XP_018209147.1) и O. parapolymorpha DL-1 (GenBank: AAC08320.1) и на 92.3% Gap из штамма O. thermomethanolica BCC16875 (GenBank: AGL39758.1).
Сравнение последовательности промотора pOhGAP с аналогичными промоторами из родственных организмов O. polymorpha, O. parapolymorpha и O. angusta не выявило каких-либо существенных структурных различий. Выравнивание последовательностей представлено в дополнительных материалах 3 к статье.
Анализ последовательности промоторного региона гена FMD, кодирующего формиатдегидрогеназу из дрожжей O. haglerorum. На основе консервативных регионов локуса FMD в штаммах O. parapolymorpha DL-1 и O. polymorpha NCYC495 leu1.1 были подобраны праймеры для амплификации 5′-нетранслируемой области гена FMD с частью последовательности структурной области гена. В результате был получен ПЦР-фрагмент размером около 900 п. н., содержащий предполагаемый промотор гена FMD, кодирующего формиатдегидрогеназу из дрожжей O. haglerorum, с высоким сходством к аналогичному региону в родственных штаммах. По аналогии с локусом MOX амплифицировали более протяженный участок региона FMD (см. Дополнительные материалы 2), содержащий открытую рамку считывания для формиатдегидрогеназы — фермента, состоящего из 362 аминокислотных остатков, который идентичен на 96.1% Fmd из штамма O. polymorpha NCYC495 leu1.1 (NCBI: XP_018212858.1) и на 97.2% Fmd из штамма O. parapolymorpha DL-1 (NCBI: XP_013932954.1).
При сравнении последовательности промотора pOhFMD с аналогичными промоторами из родственных организмов O. polymorpha, O. parapolymorpha и O. angusta было выявлено отсутствие участка размером 18 п. н. от –494 до –476 п. н. относительно последовательности O. polymorpha. Выравнивание промоторов представлено в Дополнительных материалах 3.
Экспрессия гена MANS под контролем промоторов pOhMOX, pOpMOX, pOhFMD и pOhGAP. Плазмидами pOhMOX-MANS-HARS, pOhFMD-MANS-HARS, pOhGAP-MANS-HARS и pOpMOX-MANS-HARS (рис. 1, б), содержащими HARS и различающимися промотором перед геном MANS трансформировали дрожжи O. haglerorum. Известно, что в дрожжах O. polymorpha наличие HARS на плазмиде способствует поддержанию ее в эписомном состоянии [28], а интегративные плазмиды способны выщепляться из генома хозяина, захватывая участки ДНК, функционирующие как HARS и обеспечивающие автономную репликацию рекомбинантных плазмид [29]. В дрожжах O. polymorpha плазмиды, содержащие HARS, также могут интегрировать в геномную ДНК [30]. Для проведения исследования нами было отобрано по 12 трансформантов, в клетках которых содержались автономно реплицирующиеся плазмиды, сходные по размеру с исходными плазмидами (см. Дополнительные материалы 4). Подобный подход уже использовался ранее в исследованиях на дрожжах O. polymorpha [31, 32]. Эписомная локализация плазмид была подтверждена в тесте на митотическую стабильность. Отобранные трансформанты имели сходные ростовые характеристики: оптическая плотность культуры (OD600) составила 25 ± 2 ед. через 20 ч культивирования в селективной среде в пробирках.
По 12 трансформантов с каждой плазмидой культивировали в пробирках. Определяли активность β-маннаназы в супернатанте. Среднее значение активности β-маннаназы в супернатанте 12 трансформантов, содержащих плазмиду pOpMOX–MANS-HARS с промотором pOpMOX, составило 1900 ед./мл (См. Дополнительные материалы 5). В этих же образцах до индукции метанолом активность β-маннаназы не превышала 20–30 ед./мл. Поскольку конструкции экспрессионных плазмид (рис. 1б) отличаются только промоторной областью, то по разнице в активности β-маннаназы в супернатанте анализируемых трансформантов можно косвенно судить о силе промоторов. Активность β-маннаназы составляет 170, 93 и 89% в образцах, содержащих плазмиды с промоторами, соответственно, pOhMOX, pOhFMD и pOhGAP из O. haglerorum по сравнению с pOpMOX из O. polymorpha (рис. 3).
Рис. 3. Уровень активности маннаназы (ед./мл) в образцах с геном MANS под контролем промоторов: 1 — pOpMOX; 2 — pOhGAP; 3 — pOhFMD; 4 — pOhMOX. Пределы погрешностей показывают стандартное отклонение среднего значения активности 12 трансформантов. p < 0.05, ns — несущественное различие.
Проведение SDS-PAGE электрофореза показало, что β-маннаназа, секретированная трансформантами O. haglerorum, мигрирует в виде двух форм с молекулярной массой около 38 и 40 кДа, возможно из-за разной степени гликозилирования (рис. 4). В последовательности ManS имеется один сайт для N-гликозилирования согласно программе NetNGlyc 1.0 (www.cbs.dtu.dk/services/NetNGlyc/). Концентрация β-маннаназы в супернатанте трансформантов с промотором pOhMOX выше, чем с другими промоторами, и по количеству секретируемого белка в сторону снижения промоторы можно расположить следующим образом: pOhMOX, pOpMOX, pOhFMD, pOhGAP.
Рис. 4. Электрофорез в ПААГ с ДДС-Na рекомбинантной β-маннаназы, секретированной трансформантами O. haglerorum, содержащими плазмиды с промоторами pOhMOX, pOpMOX, pOhFMD и pOhGAP. 1, 7 — маркер молекулярной массы, кДа, 2 — pOhMOX, 3 — pOpMOX, 4 — pOhFMD; 5 — pOhGAP; 6 — образец с промотором pOpMOX в условиях без индукции.
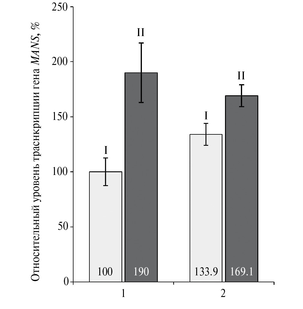
Далее исследовали уровень транскрипционной активности гена MANS, контролируемого промоторами pOpMOX и pOhMOX, методом ПЦР в реальном времени (рис. 5). В шести независимых трансформантах с каждым из промоторов определяли изменение экспрессии (количества транскриптов) гена MANS после 12 и 20 ч индукции метанолом относительно образцов без индукции. За 100% был принят уровень экспрессии гена MANS под контролем промотора pOpMOX через 12 ч культивирования в среде с метанолом. Через 20 ч доля транскриптов гена MANS с промотора pOpMOX увеличилась приблизительно на 30%. Уровень транскрипции гена MANS с промотора pOhMOX оказался выше как через 12 ч, так и 20 ч индукции метанолом. Промотор pOhMOX из O. haglerorum активнее промотора pOpMOX из O. polymorpha приблизительно в 1.4–1.9 раз в этих условиях культивирования.
Рис. 5. Относительный уровень транскрипции гена MANS (%), находящегося под контролем промоторов pOhMOX (II) или pOpMOX (I). Показан средний уровень транскрипции гена MANS в 6 трансформантах с каждым из промоторов при культивировании в среде с метанолом в течение 12 (1) и 20 ч (2). Уровень транскрипции гена MANS под контролем pOpMOX через 12 ч индукции принят за 100%. Пределы погрешностей показывают стандартное отклонение для трех независимых экспериментов, p < 0.05.
Полученные нами данные свидетельствуют об увеличенной силе промотора pOhMOX по сравнению с pOpMOX при экспрессии в клетках O. haglerorum. Одним из возможных объяснений различий в уровне экспрессии этих промоторов является их структурная организация. Оба промотора, клонированные в плазмиды pOhMOX–MANS-HARS и pOpMOX–MANS-HARS, содержат TATA-бокс, предполагаемый сайт связывания с Mrx1 и UAS1 регуляторный элемент, однако в промоторе pOhMOX отсутствуют 22 п. н. на расстоянии –236 п. н. от стартового кодона ATG в непосредственной близости от сайта связывания транскрипционного регулятора Mxr1 (рис. 2). Возможно, отсутствие 22 п. н. приводит к усилению связывания Mxr1 с core-сайтом, повышая силу промотора pOhMOX в сравнении с промотором pOpMOX.
Результаты сравнения промоторов pOhMOX и pOhFMD по активности β-маннаназы согласуются с результатами, полученными Suppi et al., которые исследовали аналогичные промоторы из дрожжей O. polymorpha по активности гетерологичной β-глюкуронидазы из E. coli. [32]. Также нами показано, что активность конститутивного промотора pOhGAP сравнима с активностями индуцируемых промоторов pOpMOX и pOhFMD, что согласуется с работой Yan et al. [33].
Таким образом, нами были идентифицированы в дрожжах O. haglerorum гены MOX, FMD и GAP, определены последовательности соответствующих промоторов, которые были охарактеризованы в сравнении с pMOX из O. polymorpha на примере активности β-маннаназы, секретируемой из клеток трансформантов O. haglerorum. Промоторы pOhMOX и pOpMOX сравнили также по относительному уровню транскрипции гена MANS методом ПЦР в реальном времени, подтвердив, что промотор pOhMOX сильнее промотора гена MOX из дрожжей O. polymorpha в клетках дрожжей O. haglerorum. Полученные результаты расширяют спектр знаний о промоторах термотолерантных дрожжей рода Ogataea и позволят оптимизировать систему экспрессии метилотрофных дрожжей Ogataea haglerorum для продукции рекомбинантных белков.
Конфликт интересов. Авторы заявляют об отсутствии конфликта интересов.
Соблюдение этических норм. Настоящая статья не содержит описания выполненных авторами исследований с участием людей или использованием животных в качестве объектов.
Финансирование. Работа выполнена при финансовой поддержке Министерства науки и высшего образования Российской Федерации: грант Курчатовского центра геномных исследований № 075-15-2019-1659.
Об авторах
Д. А. Подплетнев
Национальный исследовательский центр “Курчатовский институт”
Email: m_tarutina@mail.ru
Россия, Москва, 123182
А. Р. Лаптева
Национальный исследовательский центр “Курчатовский институт”
Email: m_tarutina@mail.ru
Россия, Москва, 123182
С. П. Синеокий
Национальный исследовательский центр “Курчатовский институт”
Email: m_tarutina@mail.ru
Россия, Москва, 123182
М. Г. Тарутина
Национальный исследовательский центр “Курчатовский институт”
Автор, ответственный за переписку.
Email: m_tarutina@mail.ru
Курчатовский геномный центр
Россия, Москва, 123182Список литературы
- Abdel-Banat B.M.A., Hoshida H., Ano A., Nonklang S., Akada R. // Appl. Microbiol. Biotechnol. 2010. V. 85. P. 861–867. https://doi.org/10.1007/s00253-009-2248-5
- Gödecke S., Eckart M., Janowicz Z. A., Hollenberg C. P. // Gene. 1994. V. 139. № 1. P. 35–42. https://doi.org/10.1016/0378-1119(94)90520-7
- Xu X., Ren S., Chen X., Ge J., Xu Z., Huang H. et al. // Virologica Sinica. 2014. V. 29. P. 403–409. https://doi.org/10.1007/s12250-014-3508-9.
- Bredell H., Smith J. J., Prins W. A., Gorgens J. F., van Zyl W. H. // FEMS Yeast Research. 2016. V. 16. № 2. https://doi.org/10.1093/femsyr/fow001.
- Bredell H., Smith J. J., Gorgens J. F., van Zyl W. H. // Yeast. 2018. V. 35. № 9. P. 519–529. https://doi.org/10.1002/yea.3318.
- Youn J. K., Shang L., Kim M. I., Jeong C. M., Chang H. N., Hahm M. S. et al. // J. Microbiol. Biotechnol. 2010. V. 20. № 11. P. 1534–1538. https://doi.org/10.4014/jmb.0909.09046
- Gellissen G., Janowicz Z. A., Merckelbach A., Piontek M., Keup P., Weydemann U. et al. // Bio/Technology. 1991. V. 9. № 3. P. 291–295. https://doi.org/10.1038/nbt0391-291
- Mayer A. F., Hellmuth K., Schlieker H., Lopez-Ulibarri R., Oertel S., Dahlems U. et al. // Biotechnol. Bioeng. 1999. V. 63. № 3. P. 373–381. https://doi.org/10.1002/(sici)1097-0290(19990505)63:3<373:: aid-bit14>3.0.co;2-t
- Smale S. T., Kadonaga J. T. // Annu. Rev. Biochem. 2003. Vol. 72. № 1. P. 449–479. https://doi.org/10.1146/annurev.biochem.72.121801.161520
- Portela R. M. C., Vogl T., Kniely C., Fischer J. E., Oliveira R., Glieder A. // ACS Synth. Biol. 2017. V. 6. № . 3. P. 471–484. https://doi.org/10.1021/acssynbio.6b00178
- Bar-Ziv R., Brodsky S., Chapal M., Barkai N. // Cell Rep. 2020. V. 30. № 12. P. 3989–3995. https://doi.org/10.1016/j.celrep.2020.02.114
- Lin-Cereghino G. P., Godfrey L., de la Cruz B. J., Johnson S., Khuongsathiene S., Tolstorukov I. et al. // Mol. Cell. Biol. 2006. V. 26. № 3. P. 883–897. https://doi.org/10.1128/MCB.26.3.883-897.2006.
- Wang X. Wang Q., Wang J., Bai P., Shi L., Shen W., Ca M. // J. Biol. Chem. 2016. V. 291. № 12. P. 6245–6261. https://doi.org/10.1074/jbc.M115.692053.
- Kranthi B. V., Kumar R., Kumar N. V., Rao D. N., Rangarajan P. N. // Biochim. Biophys. Acta. 2009. V. 1789. № 6–8. P. 460–468. https://doi.org/10.1016/j.bbagrm.2009.05.004
- Waterham H. R., Digan M. E., Koutz P. J., Lair S. V., Cregg V. // Gene. 1997. V. 186. № 1. P. 37–44. https://doi.org/10.1016/s0378-1119(96)00675-0
- Harnpicharnchai P., Promdonkoy P., Sae-Tang K., Roongsawang N., Tanapongpipat S. // Ann. Microbiol. 2014. V. 64. P. 1457–1462. https://doi.org/10.1007/s13213-013-0765-z
- Heo J. H., Hong W. K., Cho E. Y., Kim M. W., Kim J. Y., Kim C. H. et al. // FEMS Yeast Res. 2003. V. 4. № 2. P. 175–184. https://doi.org/10.1016/S1567-1356(03)00150-8
- Naumov G. I., Naumova E. S., Lee C. F. // Int. J. Syst. Evol. Microbiol. 2017. V. 67. № 7. P. 2465–2469. https://doi.org/10.1099/ijsem.0.002012.
- Тарутина М. Г., Каширская М. Д., Лазарева М. Н., Лаптева А. Р., Синеокий С.П // Биотехнология. 2019. Т. 35. № 6. С. 51–56.
- Патент РФ. 2022. № RU2764793 C1.
- Патент РФ. 2022. № RU2785901 C1.
- Sambrook J., Russell D. W. Molecular Сloning a Laboratory Manual. / Cold Spring Harbor, N.Y.: Cold Spring Harbor Laboratory Press, 2001.
- Saraya R., Gidijala L., Veenhuis M., van der Klei I. J. // Methods Mol. Biol. 2014. P. 43–62. https://doi.org/10.1007/978-1-4939-0563-8_3
- Miller G. L. // Anal. Chem. 1959. V. 31. № 3. P. 426–428. https://doi.org/10.1021/ac60147a030
- Livak K. J., Schmittgen T. D. // Methods. 2001. V. 25. № 4. P. 402–408. https://doi.org/10.1006/meth.2001.1262
- Promdonkoy P., Tirasophon W., Roongsawang N., Eurwilaichitr L., Tanapongpipat S. // Curr. Microbiol. 2014. V. 69. P. 143–148. https://doi.org/10.1007/s00284-014-0568-x
- Pereira G. G., Hollenberg C. P. // Eur. J. Biochem. 1996. V. 238. № 1. P. 181–191. https://doi.org/10.1111/j.1432-1033.1996.0181q.x.
- Roggenkamp R., Hansen H., Eckart M., Janowicz Z., Hollenberg C. P. // Mol. Gen. Genet. 1986. V. 202. P. 302–308. https://doi.org/10.1099/00221287-132-12-3459
- Bogdanova A. I., Agaphonov M. O., Ter-Avanesyan M. D. // Yeast. 1995. V. 11. № 4. P. 343–353. https://doi.org/10.1002/yea.320110407
- Kim S. Y., Sohn J.-H., Bae J.-H., Pyun Y.-R., Agaphonov M. O., Ter-Avanesyan M.D., Choi E. S. // Appl. Environ. Microbiol. 2003. V. 69. № 8. P. 4448–4454. https://doi.org/10.1128/AEM.69.8.4448-4454.2003
- Amuel C., Gellissen G., Hollenberg C. P., Suckow M. // Biotechnol. Bioprocess Eng. 2000. V. 5. P. 247–252. https://doi.org/10.1007/BF02942181
- Suppi S., Michelson T., Viigand K., Alamae T. // FEMS Yeast Res. 2013. V. 13. № 2. P. 219–232. https://doi.org/10.1111/1567-1364.12023
- Yan C., Yu W., Yao L., Guo X., Zhou Y. J., Gao J. // Appl. Microbiol. Biotechnol. 2022. V. 106. № 9–10. P. 3449–3464. https://doi.org/10.1007/s00253-022-11948-5
Дополнительные файлы







