Разработка кинетического микропланшетного иммуноферментного определения дибутилфталата
- Авторы: Берлина А.Н.1, Серебренникова К.В.1, Комова Н.С.1, Жердев А.В.1, Дзантиев Б.Б.1
-
Учреждения:
- Институт биохимии им. А.Н. Баха, Федеральный исследовательский центр “Фундаментальные основы биотехнологии” Российской академии наук
- Выпуск: Том 59, № 3 (2023)
- Страницы: 309-317
- Раздел: Статьи
- URL: https://ogarev-online.ru/0555-1099/article/view/138778
- DOI: https://doi.org/10.31857/S0555109923030030
- EDN: https://elibrary.ru/AYNQGU
- ID: 138778
Цитировать
Полный текст
Аннотация
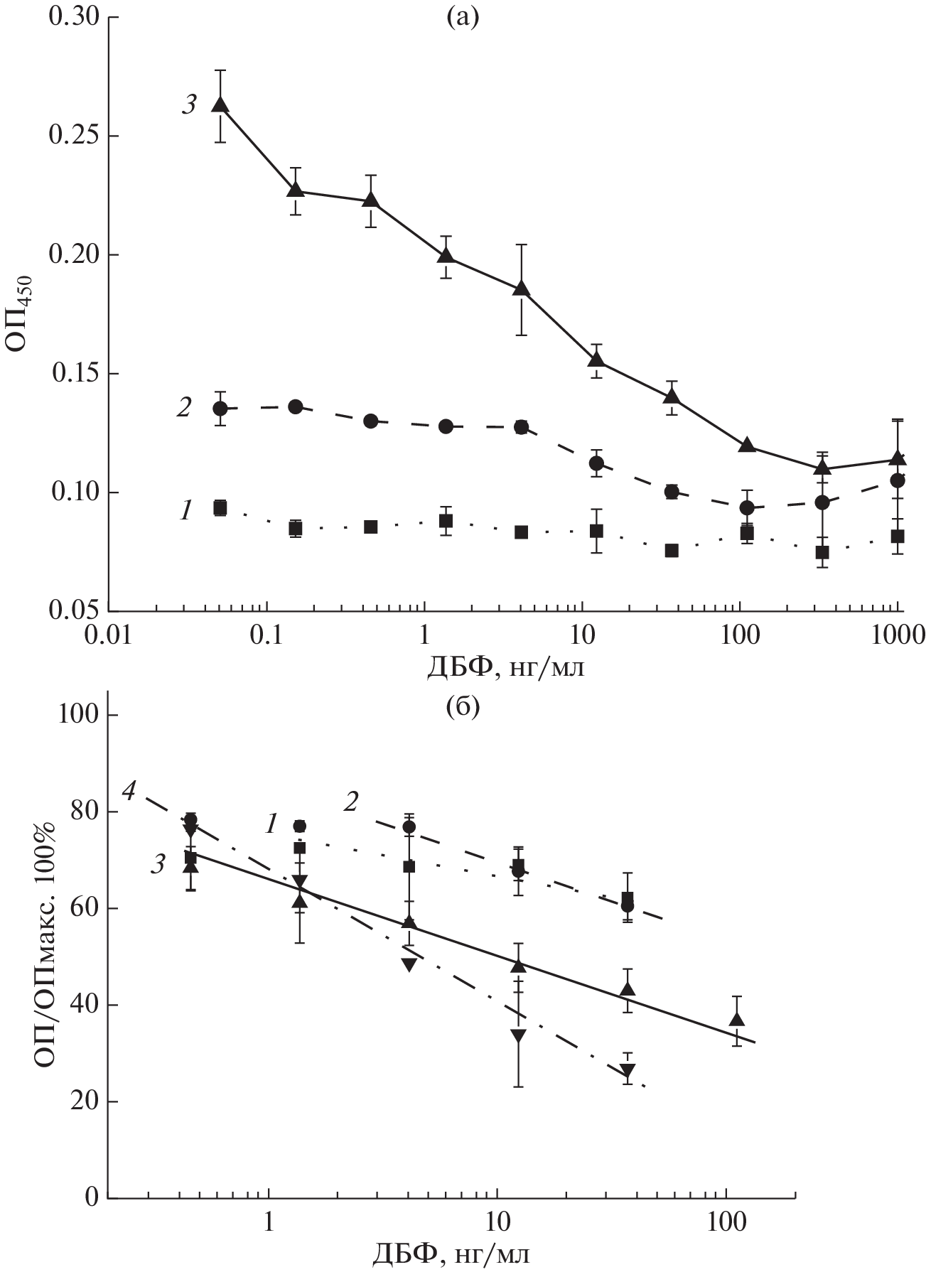
В работе предложена методика быстрого иммуноферментного анализа (ИФА) для определения дибутилфталата (ДБФ) в фруктовых соках, основанная на конкурентном взаимодействии между свободным и связанным антигеном за центры связывания специфических антител. Изучены аналитические характеристики метода в различных кинетических режимах проведения стадии конкуренции. Установлены оптимальные условия, обеспечивающие минимальный предел обнаружения и высокую точность измерений. Выбрана продолжительность конкурентной стадии ИФА – 30 мин. Диапазон определяемых концентраций ДБФ составил от 0.37 до 68.34 нг/мл; предел обнаружения – 0.08 нг/мл. Выбран режим экстрагирования ДБФ, для которого показана эффективность предложенного ИФА при тестировании фруктовых соков.
Об авторах
А. Н. Берлина
Институт биохимии им. А.Н. Баха, Федеральный исследовательский центр“Фундаментальные основы биотехнологии” Российской академии наук
Email: dzantiev@inbi.ras.ru
Россия, 119071, Москва
К. В. Серебренникова
Институт биохимии им. А.Н. Баха, Федеральный исследовательский центр“Фундаментальные основы биотехнологии” Российской академии наук
Email: dzantiev@inbi.ras.ru
Россия, 119071, Москва
Н. С. Комова
Институт биохимии им. А.Н. Баха, Федеральный исследовательский центр“Фундаментальные основы биотехнологии” Российской академии наук
Email: dzantiev@inbi.ras.ru
Россия, 119071, Москва
А. В. Жердев
Институт биохимии им. А.Н. Баха, Федеральный исследовательский центр“Фундаментальные основы биотехнологии” Российской академии наук
Email: dzantiev@inbi.ras.ru
Россия, 119071, Москва
Б. Б. Дзантиев
Институт биохимии им. А.Н. Баха, Федеральный исследовательский центр“Фундаментальные основы биотехнологии” Российской академии наук
Автор, ответственный за переписку.
Email: dzantiev@inbi.ras.ru
Россия, 119071, Москва
Список литературы
- Chen Y., He Q., Shen D., Jiang Zh., Eremin S.A., Zhao S. // Food Control. 2019. V. 105. P. 38–44. https://doi.org/10.1016/j.foodcont.2018.11.052
- Huang Zh., Tu Ch., Liu H., Wang L., Zhu Z., Watanabe I. // J. Chromatogr. A. 2020. V. 1619. Article 460953. https://doi.org/10.1016/j.chroma.2020.460953
- Yan Y., Lu Y., Wang B., Gao Y., Zhao L., Liang H., Wu D. // ACS Appl. Mater. Interfaces. 2018. V. 10. № 31. P. 26539–26545. https://doi.org/10.1021/acsami.8b08934
- Tang M., Wu Y., Deng D., Wei J., Zhang J., Yang D., Li G. // Sens. Actuators B Chem. 2018. V. 258. P. 304–312. https://doi.org/10.1016/j.snb.2017.11.120
- Giuliani A., Zuccarini M., Cichelli A., Khan H., Reale M. // Int. J. Environ. Health Res. 2020. V. 17. № 16. Article 5655. https://doi.org/10.3390/ijerph17165655
- Zhou Y., Li J., Zhang L., Ge Z., Wang X., Hu X., Xu T., Li P. // Anal. Bioanal. Chem. 2019. V. 411. № 22. P. 5691–5701. https://doi.org/10.1007/s00216-019-01947-3
- Luo H., Liu C., He D., Sun J., Li J., Pan X. // Sci. Total Environ. 2022. V. 849. Article 157951. https://doi.org/10.1016/j.scitotenv.2022.157951
- Guo W., Li J., Luo M., Mao Y., Yu X., Elskens M., Baeyens W., Gao Y. // Water Res. 2022. V. 214. Article 118189. https://doi.org/10.1016/j.watres.2022.118189
- Zhu N., Zou Y., Huang M., Dong S., Wu X., Liang G., Han Z., Zhang Z. // Talanta. 2018. V. 186. P. 104–109. https://doi.org/10.1016/j.talanta.2018.04.023
- Baranovskaya V.S., Berlina A.N., Eremin S.A. // J. Anal. Chem. 2022. V. 77. № 4. P. 466–472. https://doi.org/10.1134/S1061934822040037
- Montuori P., Jover E., Morgantini M., Bayona J.M., Triassi M. // Food Addit. Contam. – Chem. Anal. Control Expo. Risk Assess. 2008. V. 25. № 4. P. 511–518. https://doi.org/10.1080/02652030701551800
- Adeniyi A.A., Okedeyi O.O., Yusuf K.A. // Environ. Monit. Assess. 2011. V. 172. № 1. P. 561–569. https://doi.org/10.1007/s10661-010-1354-2
- Luís C., Algarra M., Câmara J.S., Perestrelo R. // Toxics. 2021. V. 9. № 7. Article 157. https://doi.org/10.3390/toxics9070157
- Otero P., Saha S.K., Moane S., Barron J., Clancy G., Murray P. // J. Chromatogr. B: Anal. Technol. Biomed. Life Sci. 2015. V. 997. P. 229–235. https://doi.org/10.1016/j.jchromb.2015.05.036
- Barciela-Alonso M.C., Otero-Lavandeira N., Bermejo-Barrera P. // Microchem. J. 2017. V. 132. P. 233–237. https://doi.org/10.1016/j.microc.2017.02.007
- Sakaki J.R., Melough M.M., Provatas A.A., Perkins Ch., Chun O.K. // Toxicol. Rep. 2020. V. 7. P. 1020–1024. https://doi.org/10.1016/j.toxrep.2020.08.015
- Wang X., Chen Ch., Chen Y., Kong F., Xu Zh. // Food Agric. Immunol. 2020. V. 31. № 1. P. 811–836. https://doi.org/10.1080/09540105.2020.1774746
- Liu S., Cheng R., Chen Y., Shi H., Zhao G. // Sens. Actuators B Chem. 2018. V. 254. P. 1157–1164. https://doi.org/10.1016/j.snb.2017.08.003
- Zhang Z., Zeng K., Liu J. // Trends Anal. Chem. 2017. V. 87. P. 49–57. https://doi.org/10.1016/j.trac.2016.12.002
- Li J., Jin H., Wei M., Ren W., Wang J., Zhang Y., Wu L., He B. // Sens. Actuators B Chem. 2021. V. 331. Article 129401. https://doi.org/10.1016/j.snb.2020.129401
- Berlina A.N., Ragozina M.Y., Komova N.S., Serebrennikova K.V., Zherdev A.V., Dzantiev B.B. // Biosensors. 2022. V. 12. № 11. Article 1002. https://doi.org/10.3390/bios12111002
- Xu F., Ren K., Yang Y.-Z., Guo J.-P., Ma G.-P., Liu Y.-M., Lu Y.-Q., Li X.-B. // J. Integr. Agric. 2015. V. 14. № 11. P. 2282–2295. https://doi.org/10.1016/S2095-3119(15)61121-2
- Sanchis A., Salvador J.P., Marco M.P. // Trends Anal. Chem. 2018. V. 106. P. 1–10. https://doi.org/10.1016/j.trac.2018.06.015
- Sun R., Zhuang H. // Food Anal. Methods. 2015. V. 8. № 8. P. 1990–1999. https://doi.org/10.1007/s12161-014-0085-3
- Jaria G., Calisto V., Otero M., Esteves V.I. // Anal. Bioanal. Chem. 2020. V. 412. № 17. P. 3983–4008. https://doi.org/10.1007/s00216-020-02509-8
- Dou L., Zhang Y., Bai Y., Li Y., Liu M., Shao Sh., Li Q., Yu W., Shen J., Wang Zh. // J. Agric. Food Chem. 2022. V. 70. № 4. P. 976–991. https://doi.org/10.1021/acs.jafc.1c06750
- Huebner M., Weber E., Niessner R., Boujday S., Knopp D. // Anal. Bioanal. Chem. 2015. V. 407. № 29. P. 8873–8882. https://doi.org/10.1007/s00216-015-9048-9
- Chen Y., Li J., Lu P., Hu D., Xue W., Ding X. // Food Agric. Immunol. 2017. V. 28. № 5. P. 904–915. https://doi.org/10.1080/09540105.2017.1320356
- Liu Z., Zhang Z., Zhu G., Sun J., Zou B., Li M., Wang J. // Sci. Total Environ. 2016. V. 551–552. P. 484–488. https://doi.org/10.1016/j.scitotenv.2016.02.017
- Xiong Y., Leng Y., Li X., Huang X., Xiong Y. // TrAC Trends Analyt. Chem. 2020. V. 126. Article 115861. https://doi.org/10.1016/j.trac.2020.115861
- Zhang Zh., Zhu N., Zou Y., Wu X., Qu G., Shi J. // Talanta. 2018. V. 179. P. 64–69. https://doi.org/10.1016/j.talanta.2017.10.051
- Zhou L., Lei Y., Zhang D., Ahmed S., Chen S. // Sci. Total Environ. 2016. V. 541. P. 570–578. https://doi.org/10.1016/j.scitotenv.2015.09.110
- Yanagisawa N., Dutta D. // Biosensors. 2011. V. 1. № 2. P. 58–69. https://doi.org/10.3390/bios1020058
- Urusov A.E., Zherdev A.V., Petrakova A.V., Sadykhov E.G., Koroleva O.V., Dzantiev B.B. // Toxins. 2015. V. 7. №. 2. P. 238–254. https://doi.org/10.3390/toxins7020238
- Sotnikov D.V., Zherdev A.V., Zvereva E.A., Eremin S.A., Dzantiev B.B. // Appl. Sci. 2021. V. 11. № 14. Article 6581. https://doi.org/10.3390/app11146581
- Wang Y., He C.H., Zheng H., Zhang H.B. // Int/ J. Mol. Sci. 2012. V. 13. № 1. P. 84–96. https://doi.org/10.3390/ijms13010084
- Campanella B., Palleschi V., Legnaioli S. // ChemTexts. 2021. V. 7. № 1. P. 1–21. https://doi.org/10.1007/s40828-020-00129-4
- Kong J., Yu S. // Acta Biochim. Biophys. Sin. 2007. V. 39. № 8. P. 549–559. https://doi.org/10.1111/j.1745-7270.2007.00320.x
- Ramesh S., Yin T.S., Liew C.-W. // Ionics. 2011. V. 17. № 8. P. 705–713. https://doi.org/10.1007/s11581-011-0568-9
- Rajamanikyam M., Vadlapudi V., Parvathaneni S.P., Koude D., Sripadi P., Misra S., Amanchy R., Upadhyayula S.M. // EXCLI J. 2017. V. 16. P. 375–387. https://doi.org/10.17179/excli2017-145
- Ye X., Wang P., Wu Y., Zhou Y., Sheng Y., Lao K. // Environ. Sci. Pollut. Res. 2020. V. 27. № 33. P. 42082–42091. https://doi.org/10.1007/s11356-020-10136-0
- Xu Zh., Xiong X., Zhao Y., Xiang W., Wu Ch. // J. Hazard. Mater. 2020. V. 384. Article 121282. https://doi.org/10.1016/j.jhazmat.2019.121282
- Rastkari N., Jeddi M.Z., Yunesian M., Ahmadkhaniha R. // J. Environ. Health Sci. Eng. 2018. V. 16. № 1. P. 27–33. https://doi.org/10.1007/s40201-018-0292-8
- Zhu F., Zhang H., Qiu M., Wu N., Zeng K., Du D. // Sci. Total Environ. 2019. V. 695. Article 133793. https://doi.org/10.1016/j.scitotenv.2019.133793
- Xiong D., Zhu N., Zhu F., Yakubu S., Lv J., Liu J., Zhang Z. // J. Hazard. Mater. 2022. V. 425. Article 127991. https://doi.org/10.1016/j.jhazmat.2021.127991
- Kuang H., Liu L., Xu L., Ma W., Guo L., Wang L., Xu C. // Sensors. 2013. V. 13. № 7. P. 8331–8339. https://doi.org/10.3390/s130708331
- Wei C., Ding S., You H., Zhang Y., Wang Y., Yang X., Yuan J. // PLoS One. 2011. V. 6. № 12. Article e29196. https://doi.org/10.1371/journal.pone.0029196
Дополнительные файлы






