Development of Fluorescence Polarization Immunoassay of Sulfathiazol and its Application for Honey Testing
- Autores: Nesterenko I.S.1, Hendrickson O.D.2, Smirnova N.I.2, Eremin S.A.2, Sotnikov D.V.2
-
Afiliações:
- The Russian State Center for Animal Feed and Drug Standardization and Quality
- Bach Institute of Biochemistry, Research Center of Biotechnology of the Russian Academy of Sciences
- Edição: Volume 59, Nº 1 (2023)
- Páginas: 96-102
- Seção: Articles
- URL: https://ogarev-online.ru/0555-1099/article/view/138749
- DOI: https://doi.org/10.31857/S0555109923010051
- EDN: https://elibrary.ru/CUSONF
- ID: 138749
Citar
Texto integral
Resumo
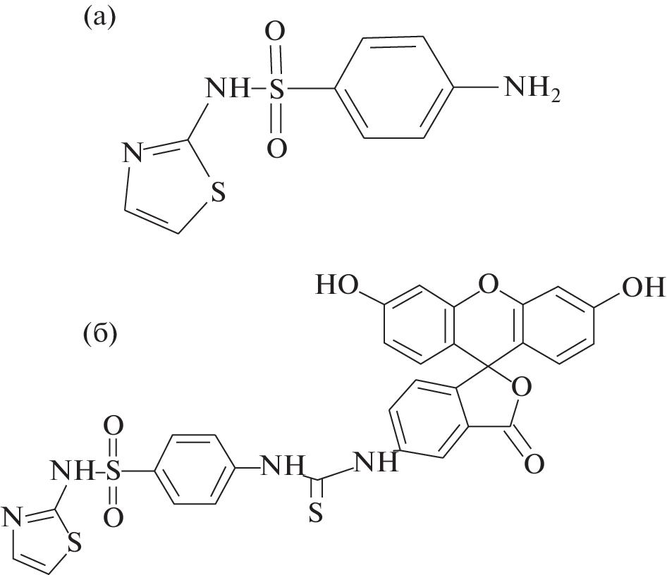
A fluorescence polarization immunoassay has been developed for the detection of the antibacterial sulfathiazole. The latter belongs to the sulfonamide class of antibacterial, which is used in beekeeping for the prevention and treatment of infectious diseases of bees. The assay conditions, which ensure the achievement of high analytical characteristics, are determined. The duration of the analysis is 5 min; the limit of sulfathiazole detection is 3 ng/mL. A study of the assay selectivity concerning other sulfonamides demonstrated the high specificity only towards sulfathiazole. The optimal method of sample preparation before the control honey contamination was proposed. The effectiveness of the developed analysis for the detection of sulfathiazole in honey samples was confirmed. The developed fluorescent polarization immunoassay is a rapid and efficient analytical system for rapid and sensitive control of honey quality and safety.
Palavras-chave
Sobre autores
I. Nesterenko
The Russian State Center for Animal Feed and Drug Standardization and Quality
Email: sotnikov-d-i@mail.ru
Russia, 123022, Moscow
O. Hendrickson
Bach Institute of Biochemistry, Research Center of Biotechnologyof the Russian Academy of Sciences
Email: sotnikov-d-i@mail.ru
Russia, 119071, Moscow
N. Smirnova
Bach Institute of Biochemistry, Research Center of Biotechnologyof the Russian Academy of Sciences
Email: sotnikov-d-i@mail.ru
Russia, 119071, Moscow
S. Eremin
Bach Institute of Biochemistry, Research Center of Biotechnologyof the Russian Academy of Sciences
Email: sotnikov-d-i@mail.ru
Russia, 119071, Moscow
D. Sotnikov
Bach Institute of Biochemistry, Research Center of Biotechnologyof the Russian Academy of Sciences
Autor responsável pela correspondência
Email: sotnikov-d-i@mail.ru
Russia, 119071, Moscow
Bibliografia
- Pasupuleti V.R., Sammugam L., Ramesh N., Gan S.H. // Oxid. Med. Cell Longev. 2017. V. 1. P. 259–510.
- Samarghandian S., Farkhondeh T., Samini F. // Pharmacognosy Res. 2017. V. 9. № 2. P. 121–127.
- Reybroeck W., Daeseleire E., De Brabander H.F., Herman L. // Vet. Microbiol. 2012. V. 158. № 1–2. P. 1–11.
- Bacanlı M., Başaran N. // Food Chem. Toxicol. 2019. V. 125. P. 462–466.
- Arsène M.M.J., Kitio A., Podoprigora I.V., Smolyakova L.A., Sarra S., Khelifi I., Das M.S. // Vet. World. 2022. V. 15. № 3. P. 662–671.
- Martinello M., Baggio A., Gallina A., Mutinelli F. // J. Agric. Food Chem. 2013. V. 61. № 38. P. 9275–9279.
- ТР ТС 021/2011. Технический регламент Таможенного Союза о безопасности пищевой продукции. М.: Изд-во стандартов, 2011. 27 с.
- Commission Regulation (EU) No 37/2010 of 22 December 2009 on pharmacologically active substances and their classification regarding maximum residue limits in foodstuffs of animal origin. // Official J. European Communities. 2010. N L15. P. 1–72.
- Moretti S., Saluti G., Galarini R. // In: Honey Analysis. / Eds. Vagner De Alencar, Arnaut De Toledo. Chapter 15. London: Intechopen, 2017. P. 325–365.
- de Campos V.M., Andrade M.A., Maciel E.V.S., de Toffoli A.L., Lanças F.M. // Food Addit. Contam. Part A. 2022. V. 39. № 5. P. 925–937.
- Dubreil-Chéneau E., Pirotais Y., Verdon E., Hurtaud-Pessel D. // J. Chromatogr. A. 2014. V. 1339. P. 128–136.
- Hassani N.E.A.E., Baraket A., Neto E.T.T., Lee M., Salvador J.P., Marco M.P. et al. // Biosens. Bioelectron. 2017. V. 93. P. 282–288.
- Li X., Yang Y., Miao J., Yin Z., Zhai Y., Shi H., Li Z. // Rev. Argent. Microbiol. 2019. V. 51. № 4. P. 345–353.
- Tumini M., Nagel O G., Althaus R.L. // Electrophoresis. 2020. V. 41. № 18–19. P. 1584–1591.
- Ouyang S., Yu S., Le Y. // Foods. 2022. V. 11. № 6. Article 803. https://doi.org/10.3390/foods11060803
- Adunphatcharaphon S., Elliott C.T., Sooksimuang T., Charlermroj R., Petchkongkaew A., Karoonuthaisiri N.J. // J. Hazard. Mater. 2022. V. 432. Article 128706. https://doi.org/10.1016/j.jhazmat.2022.128706
- Rodriguez R.S., O’Keefe T.L., Froehlich C., Lewis R.E., Sheldon T.R., Haynes C.L. // Anal. Chem. 2021. V. 93. № 1. P. 23–40.
- Hendrickson O.D., Taranova N.A., Zherdev A.V., Dzantiev B.B., Eremin S.A. Sensors. 2020. V. 20. № 24. Article 7132. https://doi.org/10.3390/s20247132
- Xiao X., Zhen S. // RSC Adv. 2022. V. 12. № 11. P. 6364–6376.
- Wang Z., Zhang S., Nesterenko I.S., Eremin S.A., Shen J. // J. Agric. Food Chem. 2007. V. 55. № 17. P. 6871–6878.
- Zhang S., Wang Z., Nesterenko I.S., Eremin S.A., Shen J. // Int. J. Food Sci. Tech. 2007. V. 42. № 1. P. 36–44.
- Murtazina N.R., Eremin S.A., Mozoleva O.V., Everest S.J., Brown J.A., Jackman R. // Int. J. Food Sci. Tech. 2004. V. 39. № 8. P. 879–889.
- Wang Z., Zhang S., Ding S., Eremin S.A., Shen J. // Food Addit. Contam. Part A. 2008. V. 25. № 5. P. 574–582.
- Eremin S.A., Smith D.S., Landon J., Jackman R. // Analyst. 1994. V. 119. № 12. P. 2723–2726.
- Uhrovcik J. // Talanta. 2014. V. 119. P. 178–180.
- Mateo R., Bosch-Reig F. // Food Chem. 1997. V. 60. № 1. P. 33–41.
- Schwaiger I., Schuch R. // Deutsche Lebensmittel-Rundschau. 2000. V. 96. № 3. P. 93–98.
Arquivos suplementares





