Новый метод экспресс-детекции антибиотикорезистентности
- Авторы: Плескова С.Н.1,2, Лазаренко Е.В.1,2, Судакова И.С.2, Крюков Р.Н1, Безруков Н.А.1,2
-
Учреждения:
- Нижегородский государственный университет им. Н.И. Лобачевского, Министерство науки и высшего образования
- Нижегородский государственный технический университет им. Р.Е. Алексеева, Министерство науки и высшего образования
- Выпуск: Том 59, № 1 (2023)
- Страницы: 74-80
- Раздел: Статьи
- URL: https://ogarev-online.ru/0555-1099/article/view/138745
- DOI: https://doi.org/10.31857/S0555109923010075
- EDN: https://elibrary.ru/CVOIPK
- ID: 138745
Цитировать
Полный текст
Аннотация
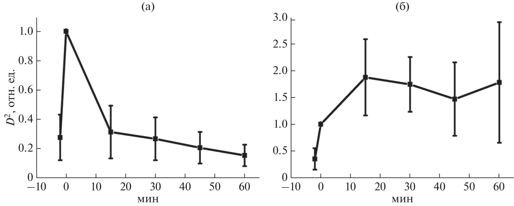
В работе использовался режим осцилляции атомно-силового микроскопа (АСМ) для создания системы высокочувствительной детекции антибиотикорезистентности в режиме реального времени. Такой режим позволяет оценить чувствительность или резистентность грамотрицательных (Escherichia coli) и грамположительных (Staphylococcus aureus) бактерий к антибиотику за 15–30 мин. В основе аналитического сигнала (изменения амплитудно-частотных характеристик кантилевера) лежит метаболическая активность бактерий. Бактерии, высаженные на кантилевер, вызывали его колебания с высокой амплитудой. В случае если бактерии чувствительны к антибиотику, амплитуда статистически значимо падала в течение 15–30 мин, если бактерии резистентны, то амплитуда либо не изменялась, либо увеличивалась. Полученные результаты сопоставимы с диско-диффузионным методом.
Об авторах
С. Н. Плескова
Нижегородский государственный университет им. Н.И. Лобачевского,Министерство науки и высшего образования; Нижегородский государственный технический университет им. Р.Е. Алексеева,
Министерство науки и высшего образования
Автор, ответственный за переписку.
Email: pleskova@mail.ru
Россия, 603950, Нижний Новгород; Россия, 603115, Нижний Новгород
Е. В. Лазаренко
Нижегородский государственный университет им. Н.И. Лобачевского,Министерство науки и высшего образования; Нижегородский государственный технический университет им. Р.Е. Алексеева,
Министерство науки и высшего образования
Email: pleskova@mail.ru
Россия, 603950, Нижний Новгород; Россия, 603115, Нижний Новгород
И. С. Судакова
Нижегородский государственный технический университет им. Р.Е. Алексеева,Министерство науки и высшего образования
Email: pleskova@mail.ru
Россия, 603115, Нижний Новгород
Р. Н Крюков
Нижегородский государственный университет им. Н.И. Лобачевского,Министерство науки и высшего образования
Email: pleskova@mail.ru
Россия, 603950, Нижний Новгород
Н. А. Безруков
Нижегородский государственный университет им. Н.И. Лобачевского,Министерство науки и высшего образования; Нижегородский государственный технический университет им. Р.Е. Алексеева,
Министерство науки и высшего образования
Email: pleskova@mail.ru
Россия, 603950, Нижний Новгород; Россия, 603115, Нижний Новгород
Список литературы
- Crofts T.S., Gasparrini A.J., Dantas G. // Nat. Rev. Microbiol. 2017. V. 15. P. 422–434.
- Davies J., Davies D. // Microbiol. Mol. 2010. V. 74. № 3. P. 417–433.
- Liu B., Pop M. // Nucleic Acids Res. 2009. V. 37. № 1. P. 443–447.
- Nathwani D., Varghese D., Stephens J., Ansari W., Martin S., Charbonneau C. // Antimicrob. Resist. Infect. Control. 2019. V. 8. № 35. https://doi.org/10.1186/s13756-019-0471-0
- CLSI, Performance Standards for Antimicrobial Disk Susceptibility Tests, Approved Standard / Ed. 7, CLSI document M02-A11. Clinical and Laboratory Standards Institute, 2012.
- CLSI, Method for Antifungal Disk Diffusion Susceptibility Testing of Yeasts, Approved Guideline. / Ed. 2, CLSI document M44-A. Clinical and Laboratory Standards Institute, 2004.
- Balouiri M., Sadiki M., Ibnsouda S.K. // J. Pharm. Anal. 2016. V. 6. № 2. P. 71–79.
- Kasas S., Ruggeri F.S., Benadiba C., Maillard C., Stupar P., Tournu H. et al. // Proc. Natl. Acad. Sci. 2015. V. 112. № 2. P. 378–381.
- Venturelli L., Kohler A.C., Stupar P., Villalba M.I., Kalauzi A., Radotic K. et al. // J. Mol. Recognit. 2020. V. 33. № 12. P. 1–14.
- Pleskova S.N., Fomichev O.I., Kriukov R.N, Sudakova I.S. // Biophysics. 2021. V. 66. № 6. P. 950–955.
- Villalba M.I., Stupar P., Chomicki W., Bertacchi M., Dietler G., Arnal L. et al. // Small. 2018. V. 14. № 4. 1702671. https://doi.org/10.1002/smll.201702671
- Kasas S., Malovichko A., Villalba M.I., Vela M.E., Yantorno O., Willaert R.G. // Antibiotics. 2021. V. 10. № 3. 287. https://doi.org/10.3390/antibiotics10030287
- Pal S., Sayana A., Joshi A., Juyal D. // J. Family Med. Prim. Care. 2019. V. 8. № 11. P. 3600–3606.
- Lee D.S., Lee S.J., Choe H.S. // Biomed. Res. Int. 2018. V. 26. 7656752. https://doi.org/10.1155/2018/7656752
- Willaert R.G., Vanden Boer P., Malovichko A., Alioscha-Perez M., Radotic K., Bartolic D. et al. // Sci. Adv. 2020. V. 6. № 26. eaba3139. https://doi.org/10.1126/sciadv.aba3139
- Munita J.M., Cesar A. // Microbiol. Spectr. 2016. V. 4. № 2. 1128. https://doi.org/10.1128/microbiolspec.VMBF-0016-2015





