Application of the finite element method for calculating the surface acoustic wave parameters and devices
- Autores: Koigerov A.S.1
-
Afiliações:
- St. Petersburg State Electrotechnical University “LETI” Saint Petersburg Electrotechnical University
- Edição: Volume 53, Nº 2 (2024)
- Páginas: 142-155
- Seção: МОДЕЛИРОВАНИЕ
- URL: https://ogarev-online.ru/0544-1269/article/view/262705
- DOI: https://doi.org/10.31857/S0544126924020036
- ID: 262705
Citar
Texto integral
Resumo
A series of models based on the finite element method (FEM) for analyzing the parameters of surface acoustic waves (SAW) and devices based on them are described. The computer method for generating models in the COMSOL Multiphysics is described. Three main studies in the COMSOL are described and graphically illustrated: stationary, eigenfrequency, frequency domain. The properties of Rayleigh waves and leaky SAW are analyzed. A visualization of a number of characteristics is presented. The analysis of such parameters as phase velocity of the wave, electromechanical coupling coefficient, and static capacitance of transducer is considered. The examples consider an equidistant transducer, a transducer with split electrodes, and a unidirectional transducer of the DART type. Methods for analyzing SAW harmonics and the waveguide effect are proposed. It is shown that the model is valid for both single-crystal substrates and layered structures. The analysis of the temperature coefficient of frequency for such structures as TCSAW and I.H.P.SAW is considered. A model for calculating the amplitude-frequency responses of devices is presented. It is shown that the data obtained as a result of numerical analysis correspond to experimental data and known literature sources.
Palavras-chave
Texto integral
ВВЕДЕНИЕ
В настоящее время устройства на ПАВ [1, 2] (фильтры, линии задержки, резонаторы и т. д.) находят широкое применение в различной аппаратуре систем связи и радиолокации. Также они используются в качестве чувствительных элементов сенсоров — датчиков физических величин (температура, влажность, микроперемещение и т. д.) [3–5]. Широкое распространение устройства на ПАВ получили в диапазоне от десятков мегагерц до 2.5–3.0 ГГц. Область технических применений устройств на ПАВ постоянно развивается благодаря как общей тенденции миниатюризации сложных электронных систем, так и уникальным свойствам акустических волн.
Актуальность исследования и разработки новых приборов на ПАВ обусловлена возрастающей потребностью в таких элементах для модернизации и создания новых систем связи. Современные системы передачи информации на радиочастоте постоянно развиваются, появляется все больше и больше новых беспроводных сервисов и протоколов обмена данными, поэтому возникает потребность в различных полосах пропускания и несущих частотах. С ростом объема и скорости передаваемой информации необходимо обеспечивать для решения многих задачах расширение относительной полосы пропускания. При этом происходит “уплотнение” частотного спектра в радиоканале и появляется потребность в крутых скатах амплитудно-частотных характеристик (АЧХ). Эти и другие задачи постоянно требуют появления новых номиналов фильтров на ПАВ, зачастую с требованиями по электрическим параметрам, которые приближаются к предельно возможным вообще для данного класса устройств [6].
Несмотря на то что такие технологии, как FBAR (free-standing bulk acoustic resonator) и цифровая обработка сигналов составляют серьезную конкуренцию и сокращают рынок устройств на ПАВ, развитие в области достижения предельных и критических параметров для устройств на ПАВ позволяют выдерживать конкуренцию в некоторых направлениях [6]. Для иллюстрации важности и актуальности в новых приборах с предельно возможными для своего класса параметрами приведем несколько характерных примеров применения приборов на ПАВ.
Например, рассмотрим применение фильтров на ПАВ в составе приемников систем связи с аналого-цифровым преобразователем (АЦП). При современном уровне технологии большинство радиоприемников и передатчиков могут быть реализованы в цифровой форме. В максимальном приближении цифровой части приемника к антенне кроется множество преимуществ. Фактически размещение АЦП на входе высокочастотной части и выполнение непосредственной дискретизации на радиочастоте или на промежуточной частоте могут показаться привлекательными, однако имеют несколько серьезных недостатков (в частности, в вопросе чувствительности и внеполосного подавления) [7]. Поэтому между антенной и АЦП необходим аналоговый фильтр — преселектор, который будет выполнять ряд задач:
- – включать в себя антиэлайсинговый фильтр (фильтр помех наложения, возникающих при последующем аналого-цифровом преобразовании сигнала);
- – расширять динамический диапазон и повышать чувствительность приемника за счет ограничения полосы пропускания, поскольку существует проблема, что если на вход приемника поступает очень сильный сигнал, он перегружает приемник и невозможно принимать слабые сигналы. Нередко бывает, что сильным сигналом может оказаться помеха в соседнем частотном канале. И, если за счет преселектора сузить рабочую полосу частот, то тем самым можно увеличить и динамический диапазон приемника.
Второй пример, который можно привести, это работа с сигналами, имеющими квадратурную амплитудную модуляцию (Quadrature Amplitude Modulation — QAM), применение которой позволяет более эффективно использовать выделенные рабочие полосы частот или осуществлять передачу большего объема данных в более узком спектре. Воздействие помех в радиоканале приводит к возникновению неконтролируемых изменений амплитуды и фазы, что отражается как “размазывание” точек фазы на диаграмме состояний и будет вызывать рост бит-ошибок и ухудшение качества связи. К такому же роду искажений приводит и наличие фильтров с большой неравномерностью группового времени задержки (ГВЗ) и АЧХ в полосе пропускания. А с помощью технологии ПАВ можно проектировать фильтры с относительно малым значением неравномерности АЧХ и ГВЗ и быть конкурентоспособными с другими технологиями.
В качестве третьего примера отметим, что несущая частота во многих связных системах часто преобразуется в более высокую частоту с помощью различных конверторов и смесителей. Если гетеродин, используемый в системе переноса частоты, имеет большую нестабильность, то его фазовый шум может маскировать полезный сигнал, что будет отрицательно сказываться на соотношении сигнал-шум и, в конечном счете, ограничивать чувствительность и избирательность системы [8]. Поэтому актуальной является и работа над генераторами на резонаторах на ПАВ [9, 10], которые позволяют получать характеристики с малыми фазовыми шумами в совокупности с малыми габаритными размерами.
Постоянные улучшения в характеристиках устройств ПАВ и стремление достичь предельно возможных параметров является необходимым условием для опережения технических достижений конкурирующих технологий [6].
На основе анализа общих тенденций развития и задачи выдерживать конкуренцию со стороны других технологий ясно, что требуется не только усовершенствование распространенных топологических решений на ПАВ, но и разработка и исследование новых конструкций приборов на ПАВ, способных достигать предельных и критических параметров. А разработка приборов с уникальными характеристиками требует привлечения современных подходов и программ по моделированию.
В настоящее время метод конечных элементов (МКЭ) является эффективным инструментом для моделирования различных физических процессов в твердых телах. Развитие современной вычислительной техники и появление современных пакетов моделирования позволяют анализировать эти процессы и разрабатывать устройства без изготовления промежуточного физического прототипа. Для создания модели можно использовать различные пакеты мультифизического моделирования, такие как COMSOL Multiphysics (далее — COMSOL) и ANSYS. Данные пакеты успешно решают различные прикладные задачи в области разработки устройств микросистемной техники, акустических микросистем и микроприборов акустоэлектроники.
Рассмотренные в рамках настоящей работы подходы и возможности COMSOL Multiphysics могут быть использованы для решения прикладных задач по расчету рабочих характеристик приборов на ПАВ, а также для анализа волновых акустических процессов в пьезоэлектрических подложках и слоистых структурах.
МЕТОД КОНЕЧНЫХ ЭЛЕМЕНТОВ В COMSOL
Для расчета различного рода акустических задач вполне подходит COMSOL. В его состав входит несколько важных решателей, позволяющих производить необходимые расчеты. Отличительной чертой устройств на ПАВ является тесная связь процессов из нескольких областей физики: механики и электростатики. По этой причине для математического описания динамики ПАВ используются уравнения в частных производных. COMSOL с помощью встроенных функций решает системы дифференциальных уравнений, связывающие упругие, пьезоэлектрические и диэлектрические свойства среды распространения ПАВ.
Уравнения пьезоакустики в тензорной форме [11]:
где T, S — тензоры напряжений и деформаций; E, D — векторы напряженности и индукции электрического поля; C, e, ε — тензоры модулей упругости, пьезомодулей и диэлектрической проницаемости соответственно.
Также уравнения можно представить в следующем виде [11]:
,
где показана связь компонента механического смещения u в декартовой системе координат x и электрического потенциала Φ; ρ — плотность материала.
При расчете в программном пакете для каждого узла выбранной сетки ищется четыре неизвестных — три механических компонента смещения (u1, u2, u3) и Φ — электрический потенциал. При условии задания соответствующих начальных и граничных условий данные уравнения полностью определяют возможные волновые процессы в объеме упругого анизотропного тела, обладающего пьезоэлектрическими свойствами [12].
С учетом особенностей геометрии полноапертурных ПАВ-устройств для расчета с помощью МКЭ требуются большие вычислительные мощности.
Как правило, полноапертурные модели устройств на ПАВ для их решения содержат сотни тысяч переменных и требуют значительных компьютерных ресурсов. В результате модели, описывающие топологию устройств в целом, главным образом больше подходят для анализа параметров готовых изделий, заменяя эксперимент на качественное мультифизическое моделирование, нежели для их проектирования и синтеза. Синтез и расчет лучше осуществлять на основе феноменологических или аналитических моделей (например, модели связанных мод (МСМ) или ряде дискретных моделей) [13, 14], но данные параметры брать из COMSOL из простых усеченных моделей или моделей пониженного порядка (МПП). Преимуществом такого подхода перед работой с полной МКЭ-моделью устройства является, во‑первых, возможность существенно упростить модель устройства на ПАВ, снизить на порядок и более число переменных и число степеней свободы, а во‑вторых, возможность извлечь необходимые параметры для более быстрых моделей на основе МСМ и т. д.
Отобразим ряд основных возможностей COMSOL по анализу волновых акустических процессов и расчету устройств на ПАВ (табл. 1).
Таблица 1. Области применения COMSOL для анализа и расчета ПАВ
Решатель | Применение |
Собственная частота (Eigenfrequency) | Анализ параметров ПАВ на пьезоэлектрической подложке и слоистой структуре (скорость, коэффициент электромеханической связи (КЭМС), ТКЧ) Анализ гармоник ПАВ Анализ волноводного эффекта для 3D-ячеек |
Стационарный (Stationary) | Статическая емкость Распределение заряда Диэлектрическая проницаемость |
Частотная область (Frequency Domain) | Расчет Y-параметров (Y₁₁, Y₂₁, Y₁₂, Y₂₂) и S-параметров (S₁₁, S₂₁, S₁₂, S₂₂) фильтров, ЛЗ и резонаторов Анализ Y₁₁ тестовых периодических ячеек (“Harmonic Admittance”) и извлечение параметров: область генерации объемных акустических волн (ОАВ), Q-фактор, КЭМС |
Временной режим (Time Dependent) | Анализ параметров ПАВ (скорость, поляризация, отдельные компоненты механического смещения) Импульсная характеристика устройства |
Из таблицы видно, что COMSOL позволяет работать с четырьмя типами решателей. Каждый из них подходит для решения определенного круга задач. Стоит отметить, что при переходе от модели полно апертурного устройства к МПП появляется возможность работы уже не только в 3D, но и в 2D. При переходе к 2D идет пренебрежение такими эффектами “второго порядка”, как дифракция и волноводный эффект, а также игнорируется влияние шин и контактных площадок и т. д. Тем не менее многие из этих эффектов можно анализировать отдельно и уже добавлять в быстрые аналитические модели в виде дополнительных модулей.
РЕЗУЛЬТАТЫ ЧИСЛЕННОГО МОДЕЛИРОВАНИЯ
3.1. Анализ собственных частот периодических ячеек
В COMSOL расчет собственных частот осуществляется с помощью решателя “Study — Eigenfrequency”. С помощью данного решателя удобно и эффективно можно анализировать параметры ПАВ как для различных типов встречно-штыревых преобразователей (ВШП) (рис. 1, а—в), так и для свободной и металлизированной поверхности. В качестве тестовый структуры удобно рассматривать МПП в виде ячейки, размер которой составляет одну длину волны. Принцип перехода от ВШП с конечной апертурой и длиной в несколько периодов к МПП в одну длину волны показан на рис. 1, г. Глубина анализируемой поверхности составляет 5 длин волн.
Рис. 1. Рассматриваемые ВШП в работе: а — эквидистантный с электродами шириной λ/4; б — с расщепленными электродами шириной λ/8; в — однонаправленный типа DART; г — принцип перехода к МПП. Обозначения: λ — длина волны; p — период следования электродов; w — ширина электрода.
Граничные условия заданы таким образом, что данная структура рассматривается как бесконечная и периодическая. На нижнем торце подложки расположен идеально согласованный слой (рис. 2, а), поглощающий исходящие волны для ограничения области численного моделирования. Поскольку ПАВ распространяется в поверхностном слое глубиной примерно в несколько длин волн, то при построении сетки область у поверхности должна иметь более плотную сетку, например 20 элементов на длину волны, для остальной части предложено использовать менее плотную сетку — 10 элементов на длину волны (рис. 2, б).
Рис. 2. Тестовые ячейки для монокристаллических пьезоэлектрических подложек: а — свободная поверхность; б — пример сетки; в — картина механических смещений волны Рэлея для подложки 128° Y — X LiNbO3 для одной из собственных частот; г — картина механических смещений для ВПАВ для 36° Y — X LiTaO3 для одной из собственных частот. Особенности модели: 1 — пьезоэлектрический кристалл; 2 — идеально согласованный слой; λ — длина волны.
В результате расчета наблюдаем набор собственных частот. Пример картины механических смещений для волны Рэлея и ВПАВ представлен на рис. 2, в, г соответственно. При этом в отсутствие электродов существует одна собственная частота, которая позволяет рассчитать фазовую скорость ПАВ V, а в присутствии электродов — две собственные частоты, зная которые, можно вычислить фазовую скорость и коэффициент отражения [15, 16].
На основе полученного набора собственных частот (f1 и f2) можно рассчитать параметры ПАВ, используя следующие формулы [12]:
;
По известным скоростям для свободной (V0) и металлизированной (Vm) поверхности (при Hm / λ → 0) можно оценить КЭМС как
.
3.2. Анализ периодических ячеек в частотной области
Еще одним эффективным способом анализа периодических ячеек является расчет проводимости в заданном частотном диапазоне с помощью решателя “Study — Frequency Response”. Такую проводимость в литературе называют “гармонический адмиттанс” и определяют как отношение тока к напряжению, когда гармоническое возбуждение применяется к бесконечной периодической структуре [17].
Рис. 3. Адмиттанс и картины механических смещений для тестовой электродной структуры на подложке 36° Y — X LiTaO₃.
Анализ графика полной проводимости периодической тестовой структуры на примере подложки 36°Y — X LiNbO₃ (рис. 3) показывает, что в подложке одновременно возбуждается одновременно несколько акустических мод. Основной модой в данном случае является ВПАВ, но в левой части присутствует менее выраженная волна Рэлея, а в правой части — излучение ОАВ. Излучение ОАВ ярко видно на вещественной части проводимости (Re(Y)). В данном случае все дополнительные моды могут вносить искажения в частотную характеристику устройства, работа которого рассчитана на основную акустическую волну.
Проводимость тестовой ячейки позволяет определить эффективный КЭМС. Для этого необходимо определить частоты резонанса (последовательный резонанс — fr) и антирезонанса (параллельный резонанс — fa) для выбранной акустической моды, в нашем случае это ВПАВ, тогда эффективный КЭМС (K/2) вычисляется как [12]
Процесс распространения ВПАВ сопровождается утечкой или рассеиванием волны в глубину подложки. По анализу резонансного пика характеристики проводимости (рис. 4) добротность определяется как
где fr — резонансная частота; Δf–3 dB — полоса характеристики по уровню –3 дБ.
Рис. 4. Адмиттанс для тестовых электродных структур с периодом p = λ / 2 для различных толщин металлизации отношений h / λ на подложках: а — 36° Y — X LiTaO₃; б — 42° Y — X LiTaO₃; h / λ: 1 – 1%; 2 – 3%; 3 – 5%; 4 – 7%.
На рис. 4, а, б приведены рассчитанные значения добротностей в зависимости от относительной толщины металлизации для 36° Y — X LiTaO₃ и 42° Y — X LiTaO₃. Полученные значения хорошо согласуются с данными из работы [18], где говорится, что на более толстых металлических пленках минимальная утечка на 42° Y — X LiTaO₃, а 36° Y — X LiTaO₃ более эффективен для меньших толщин металлизации.
3.3. Статический анализ периодических ячеек
Статический анализ (решатель “Study — Stationary”) удобен для расчета численного значения статической емкости электродов (погонной емкости). Для анализируемой тестовой ячейки необходимо задать потенциалы, под которыми находятся электроды (в нашем случае потенциал +1 В и нулевой потенциал, или “земля”).
После расчета можно наблюдать картину распределения потенциала по глубине подложки и на ее поверхности. Результат статического анализа для однонаправленного преобразователя типа DART виде распределения поверхностного потенциала представлен на рис. 5.
Рис. 5. Результат статического анализа для однонаправленного преобразователя типа DART в виде распределения поверхностного потенциала.
Встроенными средствами COMSOL позволяет вывести численное значение статической емкости для анализируемой тестовой ячейки. Так, для расщепленных электродов (λ/8) статическая емкость на подложке 128° Y — X LiNbO₃ составляет С1 = 698.9 пФ/м, для преобразователя с электродами λ/4 емкость пары C₀ = 492.2 пФ/м, а для преобразователя типа DART C₂ = 600.5 пФ/м. Отношения C₁/C₀ = 1.42 и C₂/C₀ = 1.22, что соответствует известным теоретическим и экспериментальным данным [19]. Результаты сведены в табл. 2. Сравнение с известными источниками позволяет сделать вывод об эффективности данного типа анализа. Небольшую разницу можно объяснить конечной толщиной и профилем электродов. Для материалов с низкой эффективной диэлектрической проницаемостью (различные срезы кварца (ε ≈ 4.5–5.5)) необходимо учитывать и добавлять в расчет воздушный слой (ε = 1) над электродами.
3.4. Анализ гармоник
На генерацию гармоник в устройствах на ПАВ влияют различные факторы, например топологические особенности конструкции, такие как коэффициент металлизации (отношение ширины электрода а к шагу электродов ВШП р: а/р), толщина металлизации и тип преобразователя. Пример анализируемых с помощью пакета тестовых структур представлен на рис. 6, это периодические электродные структуры с периодом p = λ/4 и шириной электродов a = λ/8. Размер ячейки составляет одну длины волны (принято λ = 2 мкм). Пример отображения собственных частот для основной, 3-й и 5-й гармоник представлен на рис. 6.
Рис. 6. Тестовая электродная ячейка для подложки 128° Y — X LiNbO₃ с периодом p = λ / 4 и шириной электрода λ / 8 для анализа в области собственных частот и картины механических смещений волны Рэлея: а — геометрия ячейки; б — основная гармоника; в — 3-я гармоника; г — 5-я гармоника.
Методика извлечения параметров высших гармоник тождественна методике для основной гармоники и описана в разделе 2. Кроме того, для более детального изучения свойств проводимости можно рассмотреть проводимость ограниченного числа пар электродов для уточнения параметров возбуждения как самой гармоники, так и вклада ОАВ (рис. 7).
Рис. 7. Результат расчета проводимости (Y11) преобразователя для подложки 128° Y — X LiNbO₃ с периодом p = λ / 4 и шириной электрода λ / 8 (анализ в частотной области): 1 — реальная часть проводимости; 2 — мнимая часть проводимости; * — основная гармоника; ** — паразитные ОАВ; *** — 3-я гармоника.
3.5. Анализ слоистых структур на примере AlN / Al₂O₃
Использование вместо пьезоэлектрических монокристаллических подложек слоистых структур на основе пьезоэлектрических пленок позволяет использовать акустические волны с большой скоростью распространения, что дает возможность при тех же требованиях к разрешающей способности технологического оборудования получить большие рабочие частоты.
Рис. 8. Тестовая ячейка для слоистой структуры AlN/алмаз: а – геометрия ячейки; б — картина механических смещений волны Рэлея; в – картина механических смещений волны Сезава. Особенности модели: 1 — пьезоэлектрическая пленка нитрида алюминия; 2 — подложка из алмаза.
В этом разделе представлены результаты теоретического исследования распространения ПАВ на структуре AlN / алмаз, в том числе КЭМС как для волн Рэлея, так и для волн Сезава (рис. 8). Теоретические расчеты показывают, что высокие скорости ПАВ достижимы при хорошей эффективности электромеханической связи (рис. 9).
Рис. 9. Зависимость фазовой скорости (а) акустических волн и КЭМС (б) от толщины пленки нитрида алюминия: 1 — волна Рэлея; 2 — волна Сезава.
В соответствующих условиях расчет показывает большой КЭМС (до 1.6%), сравнимый с наблюдаемыми в относительно сильных пьезоэлектрических монокристаллах, но со скоростями ПАВ примерно в 2 раза выше. Сравнение с данными из литературы [20], в том числе и с экспериментальными, показало хорошее совпадение между экспериментальными результатами и теоретическими расчетами, что демонстрируют потенциальную возможность создания устройств SAW на основе этой технологии.
3.6. Анализ ТКЧ материала на примере слоистых структур TCSAW и I.H.P. SAW
Изменение температуры окружающей среды приводит к “уходу” частоты фильтров на ПАВ. Температурная стабильность, желательная для всех устройств на ПАВ, для ряда применений является необходимой, например для полосовых фильтров систем мобильной связи, осуществляющих частотную фильтрацию в условиях перенасыщенного частотного спектра. Поэтому анализ различных пьезоэлектрических кристаллов и поиск решений по улучшению их термостабильных свойств для практического применения устройств акустоэлектроники актуальны и сегодня.
Популярные способы улучшения температурной стабильности [21–23]:
- – TC-SAW (temperature compensated surface acoustic wave) [22] — нанесение пленки диоксида кремния (SiO₂) на монокристаллическую подложку (рис. 10, б);
- – I.H.P. SAW (incredible high-performance SAW) [23] — “устройства с превосходными характеристиками”, в основе которых лежит использование многослойной структуры с применением пленки диоксида кремния и тонкого слоя пьезоэлектрического материала на дополнительной подложке для локализации волны и минимизации утечки волны в глубину подложки (см. рис. 10, б).
Однако нанесение пленки и использование слоистых структур сопряжено с изменением условий распространения акустических волн и изменением всех важнейших параметров ПАВ, которые необходимо контролировать и знать при проектировании устройств.
Рис. 10. ТКЧ: 1 — традиционная монокристаллическая подложка 36° Y — X LiTaO₃; 2 — зависимость от толщины пленки SiO₂ для структуры TC-SAW; 3 — зависимость от толщины слоя пьезоэлектрического материала 36° Y — X LiTaO₃ при постоянной толщине пленки HSiO₂ = 30% для структуры I.H.P.
На рис. 10, а показана зависимость ТКЧ от параметров подложки и пленки SiO₂ двух технологий температурной компенсации в сравнении с традиционной подложкой без температурной компенсации на примере танталата лития 36 YX. Для технологии TCSAW наблюдается уменьшение значения ТКЧ с ростом относительной толщины пленки SiOтолщины пленки и требуется значение толщины пленки HSiO₂ / λ ≈ 30% для получения ТКЧ = 0, что хорошо согласуется с данными из работы [22]. Варьируя толщину пленки и толщину слоя пьезоэлектрического материала, можно также подобрать такое соотношение для технологии I.H.P. SAW, где будет наблюдаться ТКЧ = 0. Эта технология намного сложнее, но плюсом является то, что помимо минимизации ТКЧ наблюдается локализация волны в слое, тем самым уменьшается утечка волны в объем подложки и в фильтре на ПАВ потенциально достигается меньшее вносимое затухание. Проводя анализ в области собственных частот для простых тестовых ячеек (см. рис. 10, б) можно проанализировать все интересующие параметры акустических волн и ТКЧ слоистой структуры.
3.7. Анализ волноводных мод
Типовая топология фильтра на поперечно-связанных резонаторах с ее характерными акустическими модами и типовая АЧХ представлены на рис. 11, а. Теория возбуждения волноводных мод на ПАВ изложена в работе [24]. Одновременное существование основных мод: симметричной моды S₀ и антисимметричной моды S₁ обеспечивает узкополосную АЧХ фильтра. Ширина полосы пропускания данного типа фильтров зависит от разницы скоростей этих мод. Моды более высших порядков лежат вне полосы пропускания, их эффективность возбуждения и скорости определяют вид полосы заграждения. Контроль параметров акустических мод на стадии моделирования позволяет точно прогнозировать АЧХ фильтра. Параметры данных волноводных акустических можно рассчитать численно с помощью теории собственных частот. Для этого потребуется перейти от бесконечной периодической ячейки к ячейке с конечной апертурой каждой резонаторной секции (рис. 11, б).
Рис. 11. Принцип учета волноводных мод: а — расчетная АЧХ одного звена фильтра на поперечных модах; б — тестовая структура и картины механических смещений поперечных мод: 1 — геометрия ячейки с периодом p = λ / 2; 2 — симметричная мода S₀; 3 — антисимметричная мода S₁; 4 — симметричная мода S₂; 5 — антисимметричная мода S₃.
Размер ячейки составляет одну длины волны. Глубина анализируемой поверхности составляет несколько длин волн. Граничные условия заданы таким образом, что данная структура рассматривается как периодическая решетка металлических электродов. По торцам и снизу подложки расположен идеально согласованный слой, поглощающий исходящие волны для ограничения области численного моделирования. Материал электродов — алюминий. Подложка — пьезоэлектрический материал, кварц 36 YX-среза. Апертура, ширина центральной шины, ширина боковых шин, коэффициент металлизации и толщина металлизации — это те параметры, от которых зависят свойства акустических мод в данной тестовой структуре.
Анализ в области собственных частот проводится для визуализации акустических мод. На рис. 11, б показаны профили механического смещения основной симметричной моды S₀, первой — антисимметричная мода S₁, а также симметричной S₂ и антисимметричной S₃ соответственно. Скорость каждой моды зависит от ряда параметров, например, от апертуры и ширины шины между резонаторами. В зависимости от требуемой ширины полосы пропускания выбирают необходимую апертуру резонатора — так более широкие полосы легче получать при маленьком значении апертуры.
3.8. Расчет устройств в целом в 2.5D
Пакет COMSOL позволяет рассчитывать рабочие характеристики (проводимость, АЧХ и др.) устройства в целом [25–28]. Конечной целью расчета устройства является задача нахождения одного из наборов параметров, который полностью описывает четырехполюсник. Такими параметрами могут быть Z-, Y- или S-параметры четырехполюсника. С помощью COMSOL удобно рассчитывать набор Y-параметров, а по уже известным формулам перейти к набору S-параметров. Как показывает практика, полное 3D-моделирование требует не только больших вычислительных ресурсов (объем оперативной памяти, процессор), но и времени. Поэтому для некоторых задач, а именно для расчета устройств без амплитудной аподизации, пренебрегая эффектами дифракции можно рассчитать упрощенную модель либо 2D, либо 2.5D, предполагая, что полученное решение на малом участке апертуры будет распространяться на весь преобразователь, с точностью до множителя апертуры. Предполагаем, что волны, исходящие от преобразователя, имеют прямоугольный профиль, в том числе во всех точках, обусловленных перекрытием апертуры.
Рис. 12. Модель фильтра на однонаправленных преобразователях типа DART для МКЭ-расчета в COMSOL: а — условный вид фильтра с подключенными электрическими портами в “нормальном” включении; б — “обратное” включение; в – геометрия DART; г — результаты расчета полного механического смещения для одной частотной точки; д — расчетная АЧХ: 1 — “нормальное” включение без согласования; 2 — “нормальное” включение с согласованием; 3 — “обратное” включение. Обозначения: F — “forward” — направление максимального излучения ПАВ; R — “reverse” — направление минимального излучения волны.
Пример геометрии фильтра на однонаправленных преобразователях типа DART (рис. 12, в) в направлении максимального излучения ПАВ и “обратное” включение представлены на рис. 12, а, б соответственно. Пример отображения распределения механического смещения для участка геометрии фильтра в результате расчета представлен на рис. 12, г. Результаты расчета АЧХ фильтра в согласованном и несогласованном режимах в направлении максимального излучения и “обратном” включении показаны на рис. 12, д. По разнице значений АЧХ на центральной частоте можно оценить степень направленности преобразователей в данной топологии. В результате согласования внешними элементами можно добиться уменьшения вносимых потерь и сглаживания АЧХ.
3.9. Анализ полноапертурных устройств
Рис. 13. 3D-модель фильтра на расщепленных преобразователях с аподизацией по функции Хэмминга в COMSOL: а — функция Хэмминга; б — фрагмент фильтра со входным ВШП; в –общий вид геометрии фильтра.
На рис. 13 представлена тестовая топология малоапертурного фильтра, состоящего из двух ВШП (рис. 13, в), каждый из которых имеет амплитудную аподизацию перекрытием электродов (рис. 13, б) по функции Хэмминга (рис. 13, а). Общее число точек сетки составляет более 700 000, время счета одной частотной точки — более 6 ч. Результаты расчета АЧХ данного фильтра представлены на рис. 14.
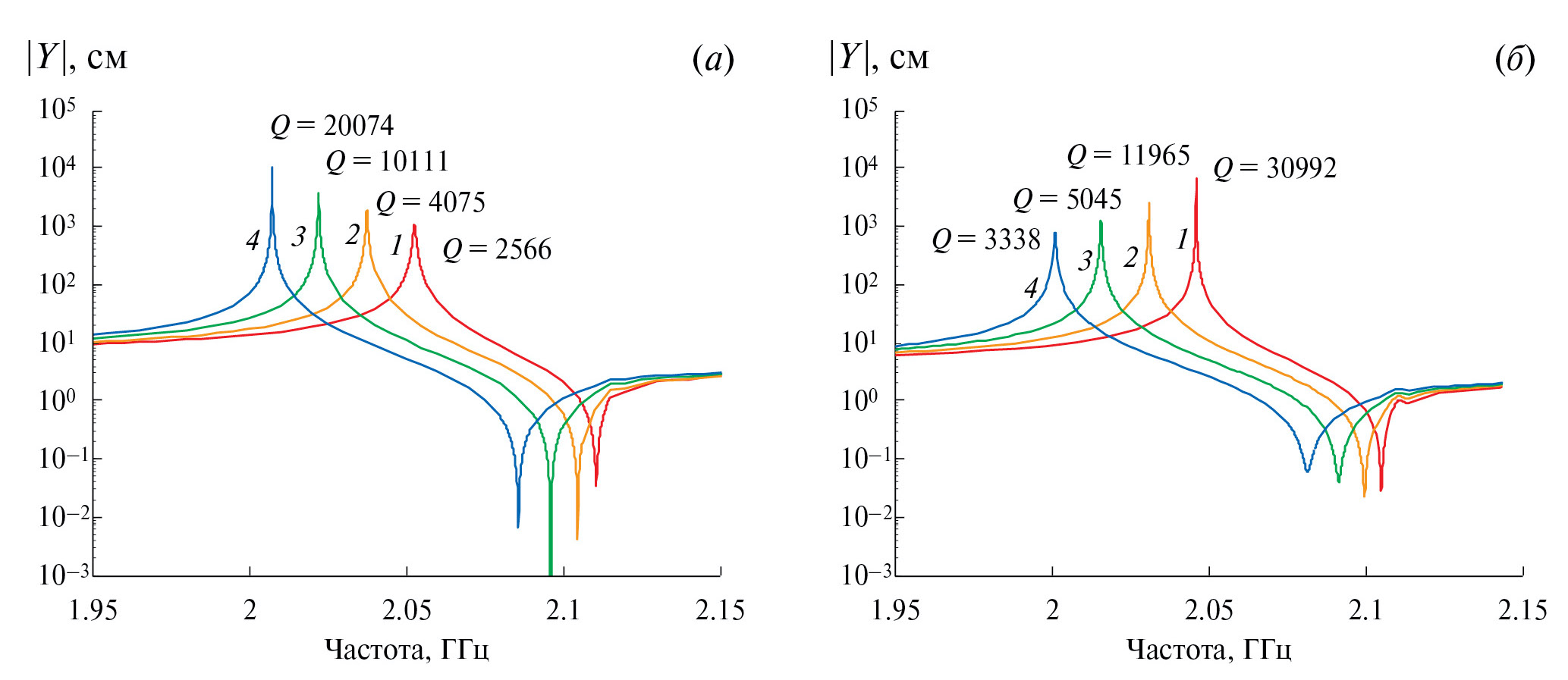
Рис. 14. Сравнение расчетной (1) и экспериментальной (2) АЧХ фильтра.
Поскольку апертура фильтра составляла три длины волны, то заметно проявляется волноводный эффект, чем и вызвано искажение в форме АЧХ. Волноводные моды высших порядков ярко проявляются в правой части АЧХ и ухудшают полосу заграждения.
Таблица 2. Сравнение статической емкости для различных типов преобразователя
Тип преобразователя | Нормированная статическая емкость (расчет) | Нормированная статическая емкость (источник) |
Электроды λ / 4 | 1 | 1 |
Расщепленные электроды λ / 8 | 1.42 | 1.41 [19] |
Однонаправленный DART | 1.22 | 1.21 [19] |
ЗАКЛЮЧЕНИЕ
Рассмотренные подходы и возможности пакета COMSOL, в основе которого лежит МКЭ, могут быть использованы для решения прикладных задач по расчету характеристик приборов на ПАВ, а также для анализа волновых акустических процессов в пьезоэлектрических подложках и слоистых структурах. Работа в основных режимах (области собственных частот, статический анализ и анализ в частотной области) позволяет эффективно решать ряд прикладных задач как по анализу параметров акустических волн (скорость, КЭМС и др.), так и по анализу характеристик устройств (проводимость, коэффициент передачи). Переход к моделям пониженного порядка дает возможность существенно сэкономить время и ресурсы компьютера за счет снижения на порядок и более количества переменных и числа степеней свободы. Данные, полученные в результате численного анализа, соответствуют результатам экспериментов и известным литературным источникам.
Sobre autores
A. Koigerov
St. Petersburg State Electrotechnical University “LETI” Saint Petersburg Electrotechnical University
Autor responsável pela correspondência
Email: a.koigerov@gmail.com
Rússia, St. Petersburg
Bibliografia
- Aristarkhov G.M., Gulyaev Yu.V., Dmitriev V.F. et al. Fil’tratsiya i spektral’nyi analiz radiosignalov. Algoritmy. Struktury. Ustroistva (Filtering and Spectral Analysis of Radio Signals. Algorithms. Structures. Devices). Moscow: Radiotekhnika, 2020.
- Bagdasaryan A., Sinitzina T., Mashinin O., Ivanov P., Egorov R. SAW frequency selsection devices for modern communication, radiolocation and telecommunication systems // Electronics: Science, Technology, Business. 2013. No. 8. P. 128–136 [in Russian].
- Kryshtal R.G., Medved A.V. Primenenie rezonatorov na poverknostnykh akusticheskikh volnakh dlya izmereniya sverkhmalykh izmereniy temperatury // Bulletin of the Russian Academy of Scincec: Physics. 2016. V. 80. P. 1357–1362 [in Russian].
- Antcev I.G., Bogoslovsky S.V., Sapognikov G.A., Zhgoon S.A., Zhezherin A.R., Trofimov A.N., Shvetsov A.S. Passivhyye besprovodnyye datchiki i radiometki na printsipakh funktsional’noy elektroniki [Passive Wireless Sensors and Radio Tags Based on the Principles of Functional Electronics]. Moscow: Nauka, 2021. 518 p. [in Russian].
- Anisimkin V.I., Kuznetsova I.E. Selective surface acoustic wave detection of the temperature of a liquid microsample // Journal of Communications Technology and Electronics. 2019. Т. 64. Nо. 8. P. 823–826.
- Koigerov A.S. Achievement of Critical and Limiting Parameters in Surface Acoustic Wave Micro-devices // Nano- I mikrosistemnaya tekhnika. 2022. V. 24. No. 4. P. 199–207 [in Russian].
- Zabenkov I.I., Isakovich N.N., Zhdanov S.L., Yenkov D.A., Zabenkov A.I. Digital receivers design // Doklady BGUIR. 2006. No. 1. P. 44–54 [in Russian].
- Belchikov S. Fazovyy shum: kak spustit’sya nizhe — 120 dB/Hz na otstroike 10 kHz v diapazone chastot do 14 GHz, ili bor’ba za detsibely // Components and technologies. 2009. No. 5 (94). P. 139–146 [in Russian].
- Dmitriev V.F., Noskov A.N. Theoretical and experimental studies of quasi-surface acoustic wave resonators // Acoustical physics. 2010. V. 56. No. 4. P. 475–481.
- Loiko V.A., Dobrovolsky A.A., Kochemasov V.N., Safin A.R. Self-Oscillators Based on Surface Acoustic Waves (A Review) // Journal of the Russian Universities. Radioelectronics. 2022. V. 25. No. 3. P. 6–21 [in Russian].
- Dieulesaint E. and Royer D. Ondes élastiques dans les solides: Application au traitement du signal. Paris: Masson, 1974.
- Koigerov A.S., Korlyakov A.V. Finite Element Modeling of Surface Acoustic Wave Devices Using COMSOL // Russ. Microelectron. 2022. V. 51. P. 226–235.
- Koigerov A.S. Analytical Approach to Design-ing a Combined-Mode Resonator Filter on Surface Acoustic Waves Using the Model of Coupling of Modes // Journal of the Russian Universities. Radioelectronics. 2022. V. 25. No. 2. P. 16–28 [in Russian].
- Sveshnikov B. Discrete analysis of regular systems // IEEE Intern. Ultroson. Symp. San Diego, USA. 11–14 Oct. 2010. P. 1890–1893. doi: 10.1109/ULTSYM.2010.5935881.
- Osetrov A.V. and Nguen V.Sh. Calculation of the parameters of surface acoustic waves in piezoelectrics using the finite element method // Vychisl. Mekh. Splosh. Sred. 2011. V. 4. No. 4. P. 71–80.
- Sun X., Zhou S., Cheng J., Lin D., Liu W. Full extraction of the COM parameters for Rayleigh type surface acoustic wave. AIP Adv. 2022. No. 12. Р. 025007.
- Malocha S., Abbott B.P., Naumenko N. Numerical Modeling of One-Port Resonators Based on Harmonic Admittance // IEEE Ultrasonics Symposium. 2004. Montreal, QC, Canada. V. 3. P. 2027–2030. DOI: 101109/ULTSYM.2004.1418233.
- Wallner P., Ruile W., Weigel R. Theoretical Studies on Leaky-SAW Properties Influenced by Layers on Anisotropic Piezoelectric Crystals // IEEE Trans. Ultrason., Ferroelect., Freq. Contr. 2000. V. 47. No. 5. P. 1235–1240.
- Abbott B.P., Hartmann C.S. An efficient evaluation of the electrostatic fields in IDT’s with periodic electrode sequences // in Proc. 1993 IEEE Ultrason. Symp. P. 157–160.
- Benetti M., Cannat`a D., Di Pietrantonio F., Verona E. Growth of AlN Piezoelectric Film on Diamond for High-Frequency Surface Acoustic Wave Devices // IEEE Trans. Ultrason., Ferroelect., Freq. Contr. 2005. V. 52. No. 10. P. 1806–1811.
- Zhang Q., Chen Z., Chen Y., Dong J., Tang P., Fu S., Wu H., Ma J., Zhao X. Periodic Analysis of Surface Acoustic Wave Resonator with Dimensionally Reduced PDE Model Using COMSOL Code // Micromachines. 2021. 12(2):141.
- Hickernell F.S. Advances in Surface Acoustic Wave Technology, Systems and Applications. V. 1. Eds. Ruppel C.C.W., Fieldly T. A. Singapore: World Scientific, 2001.
- Takai T., Iwamoto H., Takamine Y., Fuyutsume T., Nakao T., Hiramoto M., Toi T., Koshino M. I.H.P. SAW technology and its application to microacoustic components (Invited) // In Proceedings of the IEEE International Ultrasonics Symposium (IUS). Washington, DC, USA. 6–9 September 2017. P. 1–8.
- Lilhare Y., Sinha S. Performance analysis of SAW TCRFs through multiphysics simulation // 2020 IEEE International Conference on Electronics, Computing and Communication Technologies (CONECCT). Bangalore, India. 2020. P. 1–5.
- Kvashnin G.M., Sorokin B.P., Burkov S.I. Study of propagation of microwave lamb waves in a piezoelectric layered structure // Acoust. Phys. 2021. V. 67. P. 590–596.
- Timoshenko P.E., Shirokov V.B., Kalinchuk V.V. Finite-Element Modeling of SAW-Filters Based on Thin Films of Barium Strontium Titanate // Ecological Bulletin of Research Centers of the Black Sea Economic Cooperation. 2020. V. 17. No. 4. P. 48–56 [in Russian].
- Kuznetsova I.E., Smirnov A.V., Plekhanova Y.V., Reshetilov A.N., Wang G.-J. Effect of the Aperture Interdigital Transducer on the Characteristics of Its Output Signal in a Piezoelectric Plate // Bulletin of the Russian Academy of Scincec: Physics. 2020. V. 84. No. 6. P. 644–647.
- Zhgoon S., Tsimbal D., Shvetsov A., Bhattacharjee K. 3D Finite Element Modeling of Real Size SAW Devices and Experimental Validation // 2008 IEEE International Ultrasonics Symposium, Beijing, China. 2008. P. 1932–1935.
Arquivos suplementares















