Synthesis and oxidative transformations of 5,7-bis(4-methoxyphenil)-1,2,3,4,4a,5-hexahydro-13H-benzimidazo[2,1-j]-quinoline
- Authors: Harchenko L.N.1, Мaslov К.V.1, Slabko О.Y.1
-
Affiliations:
- Far-Eastern Federal University
- Issue: Vol 60, No 12 (2024)
- Pages: 1222-1228
- Section: Articles
- URL: https://ogarev-online.ru/0514-7492/article/view/283551
- DOI: https://doi.org/10.31857/S0514749224120066
- EDN: https://elibrary.ru/AQBDPF
- ID: 283551
Cite item
Full Text
Abstract
1,5-Diketone, obtained by the reaction of 4,4′-dimethoxychalcone with cyclohexanone, interacts with o-phenylenediamine to give 5,7-bis(4-methoxyphenyl)-1,2,3,4,4,4a,5-hexahydro-13H-benzimidazo[2,1-j]quinoline. Oxidation and oxidative coupling reactions with some primary amines and benzoylacetonitrile have been studied, resulting in the formation of heterocyclic p-quinonoid compounds.
Full Text
ВВЕДЕНИЕ
Полициклические пиридо[1,2-a]бензимидазолы, относящиеся к гетероциклическим соединениям с узловым атомом азота, вызывают интерес благодаря своей биологической активности, прежде всего потому, что являются биоизостерными аналогами азотистых нуклеиновых оснований. Кроме того, некоторые соединения данного гетероциклического ряда проявляют противоопухолевую, противовоспалительную, антибактериальную, фунгицидную, иммуномодулирующую и анксиолитическую активность [1]. Поэтому функционализация представителей этого ряда может привести к получению новых биологически активных производных. Целью данной работы являлось получение нового соединения данного гетероциклического ряда и его функционализация с помощью реакций окисления и окислительного сочетания.
РЕЗУЛЬТАТЫ И ОБСУЖДЕНИЕ
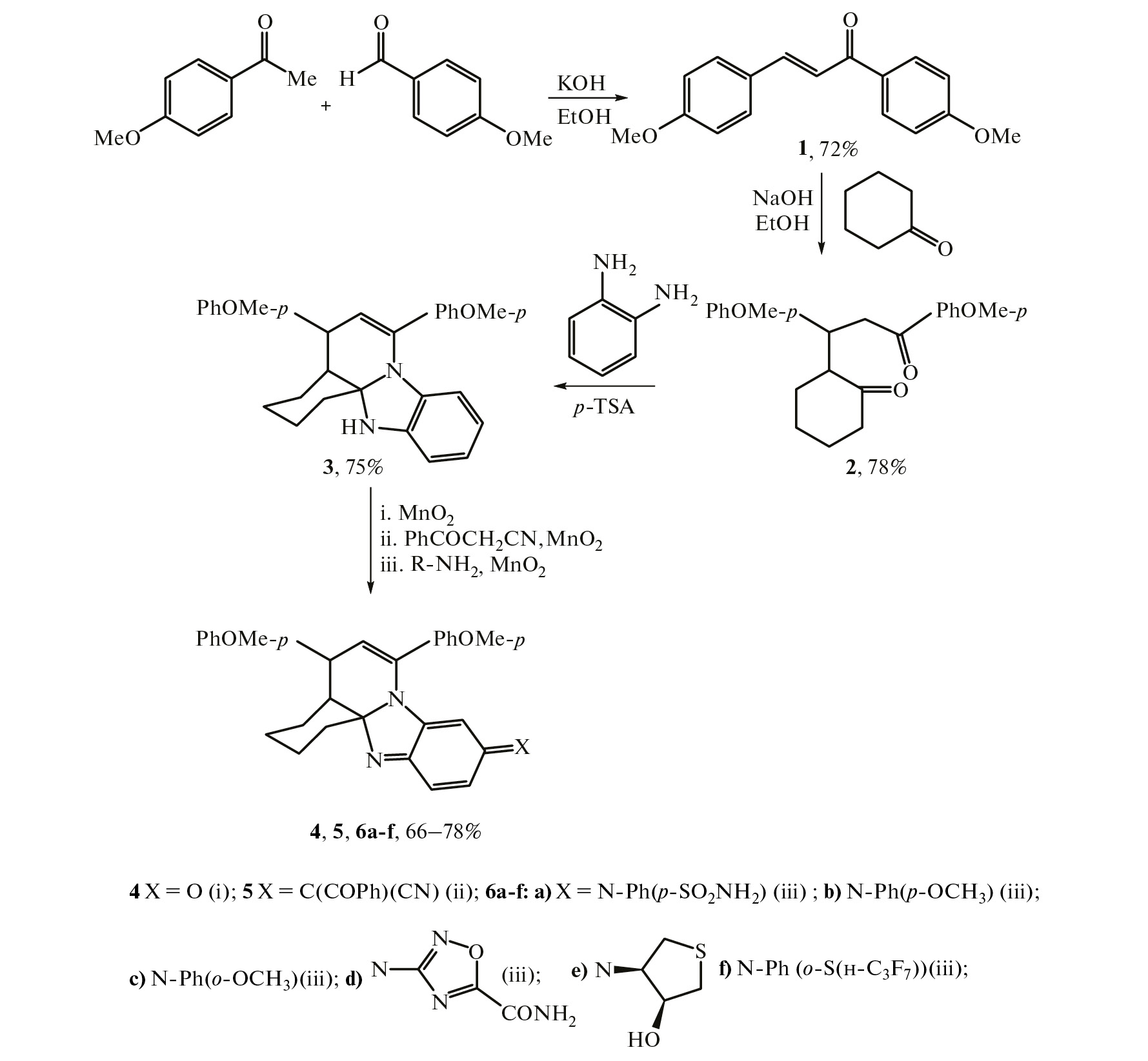
Одним из подходов к синтезу пиридо[1,2-a]бензимидазолов является одновременное формирование имидазольного и пиридинового цикла в результате взаимодействия 1,5-дикетонов с о-фенилендиамином [2]. С целью возможного повышения биологической активности синтез дикетона проводили на основе природного флавоноида 4,4'-диметоксихалкона (1) (схема), который проявляет гепатопротекторные и кардиопротекторные [3, 4], антисекреторные [5] свойства, ингибирующую активность к белок-протеинфосфатазе РТР1В, что может быть использовано в регулировании ангиогенеза [6].
Схема
Соединение 1 получали альдольной конденсацией п-метоксиацетофенона с анисовым альдегидом по методике из литературы [7]. На стадии выделения и очистки продукта авторы использовали экстракцию и колоночную флэш-хроматографию, однако если использовать более длительную экспозицию реакционной смеси (72 ч), халкон кристаллизуется с выходом 72%. Дикетон 2 был получен реакцией Михаэля диметоксихалкона 1 и циклогексанона по методике из литературы [8].
Пиридо[1,2-a]бензимидазол 3, не описанный ранее, получали реакцией “двойной” гетероциклизации дикетона 2 с о-фенилендиамином в результате кипячения в ксилоле по методике из литературы [2]. Дикетон 2 обладает пониженной электрофильностью одной из карбонильных групп вследствие мезомерного влияния электронодонорной метоксигруппы, что могло привести к замедлению реакции образования пиридинового цикла и уменьшению выхода. Однако с учетом термодинамических условий реакции (длительное нагревание) этот фактор, вероятно, имеет незначительное влияние на выход целевого продукта, который оказался даже несколько выше, в сравнении с выходом в реакции аналогичного метоксинезамещенного семициклического дикетона с о-фенилендиамином. Циклизация имидазольного фрагмента также происходит в направлении циклогексанового кольца. С учетом аналогии строения и спектральных данных ранее полученного пиридобензимидазола, для которого был выполнен рентгеноструктурный анализ (РСА) [9], считаем, что и в этом случае циклогексановый цикл находится в конформации кресло в цис-сочленении с гидропиридиновым циклом.
Структура полученного соединения 3 подтверждена данными спектральных исследований. Так, в ИК спектре наблюдаются характерные полосы поглощения валентных колебаний групп NH при 3382 см–1, енаминной связи С=С при 1639 см–1 и группы С-О-С при 1247 см–1. В спектре ЯМР 1Н присутствуют одиночные сигналы ароматических протонов п-дизамещенных бензольных колец и бензимидазольного фрагмента, NH и 2 метоксигрупп. Также в спектре наблюдаются дублетный сигнал енаминового протона Н6 при 5.2 м.д и дублет-дублетный сигнал протона Н5 при 3.6 м.д.
Ранее было показано, что аналогичные производные пиридо[1,2-a]бензимидазола легко вступают в реакцию окисления и окислительного сочетания с разнообразными первичными аминами и метиленактивными соединениями в присутствии MnO2 [10, 11]. В продолжение этих работ мы сосредоточили внимание на изучении окислительного сочетания с неиспользуемыми ранее бензоилацетонитрилом и реагентами, содержащими первичную аминогруппу. Все реакции, в том числе и реакцию окисления, проводили в ацетоне в присутствии MnO2 при комнатной температуре. В результате были получены продукты хиноидного строения: хинонмоноимин 4, метиленхинонимин 5 и хинондиимины 6a–f. Метиленхинонимины, содержащие экзоциклический бензоилацетонитрильный фрагмент, в литературе не описаны.
В ИК спектрах полученных соединений отсутствовала полоса поглощения валентных колебаний NH имидазольного цикла и отмечены полосы C=C, C=O и С=N хиноидной системы. В ИК спектре соединения 5 наблюдались полосы колебаний групп С=О бензоильного фрагмента при 1610 см–1 и СN при 2188 см–1. В ИК спектрах хинондииминов 6 наблюдались полосы колебаний функциональных групп иминового фрагмента.
В спектрах ЯМР 1Н соединений 4–6 присутствуют сигналы протонов хиноидной системы Н9, Н11 и Н12 соответствующей мультиплетности, сигналы протонов Н5, Н6 тетрагидропиридинового фрагмента, ароматических протонов, метоксигрупп и протонов экзоциклических фрагментов реагента. В спектре метиленхинонимина 5 наблюдается дублирование сигналов некоторых протонов, что мы связываем с неделимой смесью геометрических изомеров относительно экзоциклической связи С2=С10 в соотношении 0.54 : 0.46 с преобладанием более стерически выгодного Е-изомера. В этом случае протон Н9 экранируется магнитно-анизотропным полем п-метоксифенильного заместителя в положении 7 и дает сигнал при 5.70 м.д. Напротив, в Z-изомере бензоильный заместитель экзоциклического фрагмента уменьшает экранирование этого протона (по данным моделей) и сигнал проявляется при 6.29 м.д. В спектрах хинондииминов 6с и 6е также отмечено дублирование сигналов аналогичных протонов, что является следствием π-диастереомерии относительно экзоциклической связи С10=N с преобладанием стерически более выгодного E-изомера. Отсутствие π-диастереомерии у остальных хинондииминов 6 мы связываем с более низким значением инверсионного барьера. В спектре хинондиимина 6d наблюдается дублирование сигнала протонов СОNH2, что, вероятно, связано с наличием ротамеров относительно связи карбоксамидного фрагмента и оксадиазольного цикла. В спектрах ЯМР 13С присутствуют характеристические сигналы экзоциклических групп С=О, С=С, C=N хиноидной системы, OCH3. В спектре соединения 5 присутствуют дублированные сигналы углеродов СN (114.5, 114.9 м.д.) и COPh (189.5, 190.1 м.д.), в спектре хинондиимина 6d – СОNH2 (164.4, 161.7 м.д.).
Электронные спектры соединений 4–6 содержат полосы поглощения внутримолекулярного переноса заряда (ВПЗ) от атома N8 к экзоциклическому атому О (С, N) хиноидной системы в видимой области. В спектре хинонмоноимина 4 максимум этой полосы находится при наименьшем значении (475 нм), что связано с самой короткой сопряженной системой. Напротив, в наиболее длинноволновой части спектра находятся максимумы полос поглощения в спектрах хинондиимина 6d (523 нм, оптимальное перераспределение электронной плотности с участием планарного оксадиазольного цикла) и метиленхинонимина 5 (591 нм, усиление ВПЗ с участием планарных сопряженных электроноакцепторных групп). Масс-спектры всех полученных соединений соответствуют предложенным структурам.
ЭКСПЕРИМЕНТАЛЬНАЯ ЧАСТЬ
ИК спектры зарегистрированы на спектрометре Bruker V25 (Германия) в KBr. Спектры ЯМР 1H и 13C зарегистрированы на спектрометре Bruker Avance 400 (Германия) (400 МГц и 100МГц, соответственно) в CDCl3 и (CD3)2SO, внутренний стандарт – ТМС. Масс-спектры высокого разрешения регистрировали на времяпролетном хроматомасс-спектрометре высокого разрешения Agilent Technologies LC/TOF 6210 Series (США), колонка Hypersil ODS (4 × 125 мм), подвижная фаза – пропан-2-ол–вода, 60:40, скорость потока 0.3 мл/мин., температура 55°С, диодная матрица. Условия записи масс-спектра: источник – API-ES, полярность – положительная. Электронные спектры записаны на спектрофотометре Shimadzu UV-2550 (Япония) в этаноле. Температуру плавления полученных соединений определяли на приборе Buchi B-540 (Швейцария) в капилляре и не корректировали. Контроль за ходом реакции и индивидуальностью полученных соединений осуществляли методом ТСХ на пластинках Silufol UV-254, Sorbfil в системе петролейный эфир–этилацетат. Для разделения смесей полученных соединений и для их очистки использовали препаративную ТСХ на пластинах 25 × 30 см на оксиде алюминия (III степень по Брокману) и силикагеле (40 × 100 мкм), толщина слоя 1.5–2.5 мм, разовая загрузка 0.10–0.15 г.
Коммерчески доступные реактивы (Aldrich, Fluka) применяли без дополнительной очистки. Халкон 1 был получен по методике [7] с выходом 72%. Дикетон 2 был получен по методике [8] с выходом 75%.
5,7-Бис(4-метоксифенил)-1,2,3,4,4а,5-гексагидро-13Н-бензимидазо[2,1-j]хинолин (3). Синтез проводили по методике из литературы [2]. В раствор 5.0 г (0.013 моль) дикетона 2 и 1.7 г (0.015 моль) о-фенилендиамина в 130 мл о-ксилола прибавляли 0.06 г (0.35 ммоль) п-толуолсульфокислоты, кипятили с ловушкой Дина–Старка и обратным холодильником в течение 4 ч, после чего продували колбу аргоном, остужали и выдерживали 12 ч в холодильнике при 5˚С. Выпавший кристаллический осадок отфильтровывали, фильтрат упаривали при пониженном давлении при 60˚С, к остатку прибавляли 30 мл этанола и оставляли на 12 ч. Кристаллический осадок отфильтровывали и объединяли с выпавшим из маточного раствора. Перекристаллизовывали из смеси этанол–ДМФА. Выход 4.5 г (75%), бежевые кристаллы, т.пл. 197–198˚С. ИК спектр, ν, см–1: 3383 ср (NH), 1639 ср (С6=С7), 1248 с (С–О–С). Спектр ЯМР 1Н, δ, м.д.: 1.50–2.30 м (9Н), 3.60 д.д (1Н, Н5, J 10.3, 3.0 Гц), 3.79 с (3Н, ОСН3), 3.84 c (3Н, ОСН3), 4.21 уш.с (1Н, NH), 5.20 д (1Н, Н6, J 3.0 Гц), 5.70 (1Н, Н9, J 7.7 Гц), 6.40 м (1Н, Н10), 6.56 м (2Н, Н11, Н12), 6.82 д (2Наром, J 8.6 Гц), 6.89 д (2Наром, J 8.7 Гц ), 7.15 д (2Наром, J 8.6 Гц), 7.46 д (2Наром, J 8.7 Гц). Масс-спектр (HRMS-ESI), m/z (Iотн, %): 439.2379. C29H31N2O2. [M + H]+ 439.2386.
5,7-Бис(4-метоксифенил)-1,2,3,4,4а,5-гексагидро-10Н-бензимидазо[2,1-j]хинолин-10-он (4). В раствор 0.1 г (0.23 ммоль) соединения 3 в 30 мл ацетона при перемешивании добавляли 0.3 г (3.5 ммоль) MnO2. Реакцию проводили при комнатной температуре в течение 1.5 ч. После исчезновения исходного соединения 3 (контроль ТСХ) отфильтровывали MnO2 на фильтре Шотта и промывали ацетоном до обесцвечивания промывного раствора. Ацетон упаривали при пониженном давлении, остаток подвергали препаративной ТСХ на силикагеле в системе гексан–этилацетат, 3 : 1. Выход 0.075 г (73%), порошок красного цвета, т.пл. 184–185◦С. ИК спектр, ν, см–1: 1649 ср (С6=С7), 1610, 1585 с (С=Охин, C=Nхин), 1248 с (С–О–С). Спектр ЯМР 1Н, δ, м.д.: 1.25–2.25 м (9Н), 3.78 д.д (1Н, Н5, J 9.9 3.0 Гц), 3.80 с (3Н, ОСН3), 3.83 c (3Н, ОСН3), 4.78 д (1Н, Н9, J 1.7 Гц), 5.43 д (1Н, Н6, J 3.0 Гц), 6.60 д.д (1Н, Н11 J 9.9, 1.7 Гц), 6.87 д (2Наром, J 8.7 Гц), 6.88 д (2Наром, J 8.7 Гц), 7.12 д (2Наром, J 8.7 Гц), 7.20 (1Н, Н12, J 9.9 Гц), 7.24 д (2Наром, J 8.7 Гц ). Масс-спектр (HRMS-ESI), m/z (Iотн, %): 453.2174. C29H31N2O2. [M + H]+ 453.2178.
2-[5,7-Бис(4-метоксифенил)-1,2,3,4,4а,5-гексагидро-10Н-бензимидазо[2,1-j]хинолин-10-илиден]-3-оксо-3-фенилпропанонитрил (5), смесь E- и Z-изомеров , 0.54 : 0.46. В раствор 0.043 г (0.3 ммоль) бензоилацетонитрила в 30 мл ацетона при перемешивании добавляли 0.1 г (0.23 ммоль) соединения 3 и сразу 0.3 г (3.5 ммоль) MnO2. Реакцию проводили при комнатной температуре в течение 1.5 ч. После исчезновения исходного соединения 3 (контроль ТСХ) отфильтровывали MnO2 на фильтре Шотта и промывали ацетоном до обесцвечивания промывного раствора. Ацетон упаривали при пониженном давлении, остаток подвергали препаративной ТСХ на Al2O3 в системе гексан–этилацетат, 4 : 1. Выход 0.084 г (72%), порошок фиолетового цвета, т.пл. 195–196◦С. ИК спектр, ν, см–1: 2191 ср (CN), 1634 ср (С6=С7), 1611 с (С=О), 1558, 1512 с (С=Nхин, C=Cхин), 1244 с (С–О–С). Спектр ЯМР 1Н, δ, м.д., (смесь Z- и E-изомеров в соотношении 0.46:0.54): 1.25–2.22 м (9Н), 3.69 с (Е, 3.24Н, ОСН3), 3.71 c (Z, 2.76Н, ОСН3), 3.92 м (1Н, Н5), 5.27 д (E, 0.54Н, Н9, J 1.4 Гц), 5.43 д (Z, 0.54Н, Н6, J 3.2 Гц), 5.45 д (E, 0.46Н, Н6, J 3.2 Гц), 6.29 д (Z, 0.46Н, Н9, J 1.4 Гц ), 6.85–7.67 м (13Наром, 1Н12, 0.46 H11), 7.93 д.д (Е, 0.54Н, Н11, J 9.9 1.7 Гц). Масс-спектр (HRMS-ESI), m/z (Iотн, %): 580.2594. C38H34N3O3. [M + H]+ 580.2600.
Хинондиимины 6a–f. Общая методика. В раствор 0.3 ммоль соответствующего амина (0.052 г сульфаниламида, 0.037 г о- и п-анизидина, 0.038 г 4-амино-1,2,5-оксадиазол-3-карбоксамида, 0.036 г (3R,4S)-4-аминотетрагидротиофен-3-ола, 0.088 г 2-[(гептафторпропил)сульфанил]анилина) в 30– 40 мл ацетона при перемешивании добавляли 0.1 г (0.23 ммоль) соединения 3 и сразу 0.3 г (3.5 ммоль) MnO2. Реакцию проводили при комнатной температуре в течение 2 ч. После исчезновения исходного соединения 3 (контроль ТСХ) отфильтровывали MnO2 на фильтре Шотта и промывали ацетоном до обесцвечивания промывного раствора. Ацетон упаривали при пониженном давлении, остаток подвергали препаративной ТСХ на силикагеле в системе гексан–ацетон, 1:1 (соединение 6а), бензол–этилацетат, 3:2 (соединение 6b), гексан–этилацетат, 1 : 1 (соединения 6с,d,f), хлороформ–этанол, 20 : 1 (соединение 6e).
4-{[5,7-Бис(4-метоксифенил)-1,2,3,4,4а,5-гексагидро-10Н-бензимидазо[2,1-j]хинолин-10-илиден]амино}бензолсульфонамид (6а). Выход 0.094 г (68%). Темно-красный порошок, т.пл. 206–207˚С. ИК спектр, ν, см–1: 3320, 3285 сл (NH2), 1640 ср (С6=С7), 1585, 1510 с (С=Nхин, С=Схин), 1240 с (С–О–С), 1150, 1048 с (SO2). Спектр ЯМР 1Н, δ, м.д.: 1.30–2.20 м (9Н), 3.76 д.д (1Н, Н5, J 10.2, 2.8 Гц), 3.79 с (3Н, ОСН3), 3.91 c (3Н, ОСН3), 4.30 с (1Н, Н9), 5.20 уш.с (2Н, NH2), 5.22 д (1Н, Н6, J 2.8 Гц), 6.68 д (2Наром, J 8.3 Гц), 6.73 д (2Наром, J 8.7 Гц), 6.85 д (2Наром, J 8.7 Гц ), 6.96 д (1Н, Н11, J 9.7 Гц), 7.09 д (4Наром, J 8.7 Гц), 7.11 д (1Н, Н12, J 9.7 Гц), 7.68 д (2Наром, J 8.3 Гц). Масс-спектр (HRMS-ESI), m/z (Iотн, %): 607.2372. C35H35N4O4S. [M + H]+ 607.2379.
N-[5,7-Бис(4-метоксифенил)-1,2,3,4,4а,5-гексагидро-10Н-бензимидазо[2,1-j]хинолин-10-илиден]-4-метоксианилин (6b). Выход 0.097 г (76%). Темно-красный порошок, т.пл. 184–185˚С. ИК спектр, ν, см–1: 1645 ср (С6=С7), 1585, 1510 с (С=Nхин, С=Схин), 1230 с (С–О–С). Спектр ЯМР 1Н, δ, м.д.: 1.26–2.20 м (9Н), 3.75 д.д (1Н, Н5, J 10.0, 3.0 Гц), 3.80 с (3Н, ОСН3), 3.82 с (3Н, ОСН3), 3.84 c (3Н, ОСН3), 4.79 д (1Н, Н9, J 1.4 Гц), 5.23 д (1Н, Н6, J 3.0 Гц), 6.60 д (2Наром, J 8.9 Гц), 6.69 д (2Наром, J 8.9 Гц), 6.81 д (2Наром, J 8.7 Гц), 6.85 д (2Наром, J 8.6 Гц), 6.95 д.д (1Н, Н11, J 9.7, 1.4 Гц), 7.04 д (1Н, Н12, J 9.7 Гц), 7.11 д (2Наром, J 8.6 Гц), 7.18 д (2Наром, J 8.7 Гц). Масс-спектр (HRMS-ESI), m/z (Iотн, %): 558.2751. C36H36N3O3. [M + H]+ 558.2757.
N-[5,7-Бис(4-метоксифенил)-1,2,3,4,4а,5-гексагидро-10Н-бензимидазо[2,1-j]хинолин-10-илиден]-2-метоксианилин (6с), смесь Z- и E-изомеров, 0.17 : 0.83. Выход 0.1 г (79%). Порошок красного цвета, т.пл. 205–206◦С. ИК спектр, ν, см–1: 1643 ср (С6=С7), 1581, 1510 с (С=Nхин, С=Схин), 1240 с (С–О–С). Спектр ЯМР 1Н, δ, м.д. (смесь Z- и E-изомеров в соотношении 0.17:0.83): 1.26–2.18 м (9Н), 3.74 д.д (1Н, Н5, J 10.3, 3.1 Гц), 3.76 с (3Н, ОСН3), 3.80 с (3Н, ОСН3), 3.83 c (3Н, ОСН3), 4.53 д (Е, 0.87Н, Н9, J 1.4 Гц), 5.19 д (Е, 0.87Н, Н6, J 3.1 Гц), 5.22 д (Z, 0.13Н, Н9, J 1.4 Гц), 5.31 д (Z, 0.13Н, Н6, J 3.1 Гц), 6.45 д (1Наром, J 8.7 Гц), 6.66–6.88 м (7Наром), 6.91 д.д (1Н, Н11, J 9.7, 1.4 Гц), 7.03–7.18 м (4Наром, 1Н12). Масс-спектр (HRMS-ESI), m/z (Iотн, %): 558.2753. C36H36N3O3. [M + H]+ 558.2757.
4-{[5,7-Бис(4-метоксифенил)-1,2,3,4,4а,5-гексагидро-10Н-бензимидазо[2,1-j]хинолин-10-илиден]амино}-1,2,5-оксадиазол-3-карбоксамид (6d). Выход 0.087 г (66%). Порошок фиолетового цвета, т.пл. 214–215˚С. ИК спектр, ν, см–1: 3277, 3214 уш. (NH2), 1697 ср (С=О), 1642 ср (С6=С7), 1609 ср (С=N), 1568, 1511 с (С=Nхин, С=Схин), 1497 с (N–O), 1244 с (С–О–С). Спектр ЯМР 1Н, δ, м.д.: 1.25–2.18 м (9Н), 3.80 с (3Н, ОСН3), 3.85 д.д (1Н, Н5, J 10.0, 2.9 Гц), 3.91 с (3Н, ОСН3), 5.48 д (1Н, Н6, J 2.9 Гц), 5.92 д (1Н, Н9, J 1.5 Гц), 5.94 уш.с (1Н, NH2), 6.87 д (2Наром, J 8.6 Гц), 6.97 д (2Наром, J 8.6 Гц), 7.00 д.д (1Н, Н11, J 9.8, 1.6 Гц), 7.12 д (2Наром, J 8.6 Гц), 7.17 д (1Н, Н12, J 9.8 Гц), 7.26 д (2Наром, J 8.6 Гц), 8.81 уш.с (1Н, NH2). Масс-спектр (HRMS-ESI), m/z (Iотн, %): 563.2413. C32H31N6O4. [M + H]+ 563.2407.
(3R,4S)-4-{[5,7-Бис(4-метоксифенил)-1,2,3,4,4а,5-гексагидро-10Н-бензимидазо[2,1-j]хинолин-10-илиден]амино}тетрагидротиофен-3-ол (6e), смесь Z- и E-изомеров, 0.5 : 0.5. Выход 0.087 г (69%). Темно-красный порошок, т.пл. 139–140◦С. ИК спектр, ν, см–1: 3430 шир. (ОH), 1630 ср (С6=С7), 1570, 1510 с (С=Nхин, С=Схин), 1250 с (С–О–С). Спектр ЯМР 1Н, δ, м.д. (смесь Z- и E-изомеров в соотношении 0.5:0.5): 1.26–2.30 м (9Н), 2.18 м (1Н), 2.36 д.д (0.5Н, J 10.1, 6.6 Гц), 2.56 д.д (0.5Н, J 10.1, 6.6 Гц), 2.75 д.д (0.5Н, J 10.1, 9.2 Гц), 2.90 д.д (0.5Н, J 10.1, 9.2 Гц), 2.96–3.10 м (2Н), 3.25 м (0.5Н, СН–ОН), 3.36 м (0.5Н, СН–ОН), 3.81 с (3Н, ОСН3), 3.87 д.д (1Н, Н5, J 10.0, 3.0 Гц), 3.89 с (1.5Н, ОСН3), 3.90 с (1.5Н, ОСН3), 4.53 д (0.5Н, Н9, J 1.7 Гц), 4.58 уш.с (0.5Н, ОН), 4.65 уш.с (0.5Н, ОН), 4.67 д (0.5Н, Н9, J 1.7 Гц), 5.62 д (0.5Н, Н6, J 3.0 Гц), 5.66 д (1Н, Н6, J 3.0 Гц), 6.89 д (1Наром, J 8.7 Гц), 6.90 д (1Наром, J 8.8 Гц), 7.00 м (4Наром), 7.10 д (1Наром, J 8.6 Гц), 7.12 д (1Наром, J 8.7 Гц), 7.23 д (0.5Н, Н12, J 10.5 Гц), 7.26 д (0.5Н, Н12, J 10.5 Гц), 7.81 м (1Н, Н11). Масс-спектр (HRMS-ESI), m/z (Iотн, %): 554.2470. C33H36N3O3S. [M + H]+ 554.2477.
N-[5,7-Бис(4-метоксифенил)-1,2,3,4,4а,5-гексагидро-10Н-бензимидазо[2,1-j]хинолин-10-илиден]-2-(гептафторпропил)анилин (6f). Выход 0.116 г (73%). Порошок красного цвета, т.пл. 50–51˚С. ИК спектр, ν, см–1: 1649 ср (С6=С7), 1569, 1512 с (С=Nхин, С=Схин), 1248 с (С–О–С), 1207 с (C–F). Спектр ЯМР 1Н, δ, м.д.: 1.26–2.18 м (9Н), 3.74 д.д (1Н, Н5, J 10.2, 2.9 Гц), 3.79 с (3Н, ОСН3), 3.80 с (3Н, ОСН3), 4.12 д (1Н, Н9, J 1.7 Гц), 5.19 д (1Н, Н6, J 2.9 Гц), 6.58 д (1Наром, J 7.9 Гц), 6.67 д (2Наром, J 8.8 Гц), 6.84 д (2Наром, J 8.7 Гц), 6.97 т (1Наром, J 7.9 Гц), 7.01 д.д (1Н, Н11, J 9.8, 1.7 Гц), 7.05 д (2Наром, J 8.7 Гц), 7.07 д (1Н, Н12, J 9.8 Гц), 7.09 д (2Наром, J 8.8 Гц), 7.22 т (1Наром, J 7.9 Гц), 7.50 д (1Наром, J 7.9 Гц) . Масс-спектр (HRMS-ESI), m/z (Iотн, %): 696.2468. C38H33F7N3O2. [M + H]+ 696.2461.
ЗАКЛЮЧЕНИЕ
Впервые получен 5,7-бис(4-метоксифенил)-1,2,3,4,4а,5-гексагидро-13Н-бензимидазо[2,1-j]хинолин, относящийся к ряду производных пиридо[1,2-a]бензимидазола. В результате окисления в присутствии MnO2 получен п-хинонмоноимин этого же ряда, окислительное сочетание которого с бензоилацетонитрилом привело к получению не описанных ранее метиленхинониминов; в результате окислительного сочетания с первичными аминами синтезированы соответствующие п-хинондиимины.
КОНФЛИКТ ИНТЕРЕСОВ
Авторы заявляют об отсутствии конфликта интересов.
About the authors
L. N. Harchenko
Far-Eastern Federal University
Email: slabko.oyu@dvfu.ru
Russian Federation, Universitetskii pr., L901, Russky Island, Vladivostok, 690922
К. V. Мaslov
Far-Eastern Federal University
Email: slabko.oyu@dvfu.ru
ORCID iD: 0000-0001-6760-2733
Russian Federation, Universitetskii pr., L901, Russky Island, Vladivostok, 690922
О. Yu. Slabko
Far-Eastern Federal University
Author for correspondence.
Email: slabko.oyu@dvfu.ru
ORCID iD: 0000-0002-4463-1555
Russian Federation, Universitetskii pr., L901, Russky Island, Vladivostok, 690922
References
- Бегунов Р.С., Рызванович Г.А. Усп. хим. 2013, 82, 77–97. doi: 10.1070/RC2013v082n01ABEH004295
- Еремеева Л.М., Московкина Т.В., Василенко Ю.В., Саверченко А.Н., Каминский В.А., Тиличенко М.Н. ХГС. 1979, 240–245. [Eremeeva L.M., Moskovkina T.V., Vasilenko Y.V., Saverchenko A.N., Kaminskii V.A., Tilichenko M.N. Chem. Heterocycl. Compd., 1979, 15, 202–207]. doi: 10.1007/BF00480368
- Zimmermann A., Kainz K., Hofer S.J., Bauer M.A., Schroeder S., Dengjel J., Pietrocola F., Kepp O., Ruckenstuhl C., Eisenberg T., Sigrist S.J., Madeo F., Carmona-Gutierres D., Kroemer G. Autophagy. 2019, 15, 1662–1664. doi: 10.1080/15548627.2019.1632623
- Carmona-Gutierres D., Zimmermann A., Kainz K., Pietrocola F., Chen G., Magliony S., Schiavi A., Nah J., Mertel S., Beuschel C.B., Castoldi F., Sica V., Trausinger G., Raml R., Sommer C., Schroeder S., Hofer S.J., Bauer M., Pendl T., Tadic J., Dammbrueck C., Hu Z., Ruckenstuhl C., Eisenberg T., Durand S., Bossut N., Aprahamian F., Abdellatif M., Sedej S., Enot D.P., Wolinski J., Kepp O., Magnes C., Sinner F., Pieber T.R., Sadoshima J., Ventura N., Sigrist S.J., Kroemer G., Madeo F. Nat. Commun. 2019, 10, 651. doi. 10.1038/s41467-019-08555-w
- Yibcharoenporn C., Chusuth P., Jakakul C., Rungrotmongkol T., Chavasiri W., Muanprasat C. J. Pharm. Sci. 2019, 140, 273–283. doi: 10.1016/j.jphs.2019.07.012
- Zhao F., Zhao O.-J., Zhang D.-Z., Jin Y.-S., Zhang W. Asian J. Chem. 2011, 23, 5339–5342
- Mellado M., Madrid A., Martínez U., Mella J., Salas C. O., Cuellar M. Chem. Pap. 2018, 72, 703–709. doi: 10.1007/s11696-017-0316-3
- Gezegen H., Tutar U., Ceylan M. Helv. Chim. Acta. 2016, 99, 608–616 doi: 10.1002/hlca.201600048
- Ильин С.Г., Решетняк М.В., Яновский А.И., Стручков Ю.Т., Слабко О.Ю., Вербицкий Г.А., Каминский В.А. ХГС. 2001, 114–126. [Il'in S.G., Reshetnyak M.V., Yanovskii A.I., Struchkov Yu.T., Slabko O.Yu., Verbitskii G.A., Kaminskii V.A., Chem. Heterocycl. Compd. 2001, 37, 109–119] doi: 10.1023/A:1017501219800
- Слабко О.Ю., Агеенко Н.В., Каминский В.А. ЖОрХ. 2009, 45, 276–279. [Slabko O.Y., Ageenko N.V., Kaminskii V.A. Russ. J. Org. Chem., 2009, 45, 266–269] doi: 10.1134/S1070428009020195
- Слабко О.Ю., Агеенко Н.В., Каминский В.А. ЖОрХ. 2009, 45, 1223–1227. [Slabko O.Y., Ageenko N.V., Kaminskii V.A. Russ. J. Org. Chem. 2009, 45, 1214–1218] doi: 10.1134/S107042800908017X




