Синтез бис{2-[3(4)-(2,5-дигидро-2,5-диоксо-1Н-пиррол-1-ил)фенилкарбонилокси]этил} гексан-1,6-диилдикарбаматов
- Авторы: Колямшин О.А.1, Митрасов Ю.Н.2, Данилов В.А.1
-
Учреждения:
- ФГБОУ ВО “Чувашский государственный университет имени И.Н. Ульянова”
- ФГБОУ ВО “Чувашский государственный педагогический университет им. И.Я. Яковлева”
- Выпуск: Том 60, № 12 (2024)
- Страницы: 1216-1221
- Раздел: Статьи
- URL: https://ogarev-online.ru/0514-7492/article/view/283548
- DOI: https://doi.org/10.31857/S0514749224120059
- EDN: https://elibrary.ru/AQJQEV
- ID: 283548
Цитировать
Полный текст
Аннотация
Взаимодействием бис(2-хлорэтил)гексан-1,6-диилдикарбамата с калиевыми солями м- и п-аминобензойных кислот получены новые бис{2-[3(4)-аминофенилкарбонилокси]этил}гексан-1,6-диилдикарбаматы. Установлено, что они реагируют с малеиновым ангидридом в мольном соотношении 1 : 2 с образованием соответствующих бисмалемидов, циклизацией которых в кислой среде получены бис[2-(3(4)-(2,5-дигидро-2,5-диоксо-1Н-пиррол-1-ил)фенилкарбонилокси)этил]гексан-1,6-диилдикарбаматы. Изучены физические и спектральные свойства синтезированных бисмалеинимидов.
Ключевые слова
Полный текст
ВВЕДЕНИЕ
Производные 1H-пиррол-2,5-дионов (мале-инимидов) являются ценными синтонами органического синтеза. Благодаря наличию высоко-активной двойной связи для них удается осуществить присоединение как электрофильных, так и нуклеофильных реагентов, провести реакции Дильса–Альдера, полимеризации и сополимеризации с различными непредельными мономерами [1, 2]. На практике наибольшее значение имеют малеинимидные связующие [1, 3, 4], которые предназначены для изготовления изделий конструкционного, электроизоляционного, триботехнического назначения и т.п., длительно работоспособных при высоких температурах (220–250оС). Отверждение малеинимидных связующих не сопровождается выделением летучих продуктов, поэтому их используют для изготовления крупногабаритных авиакосмических конструкций. Зна-чительный интерес для получения термостойких полимеров и сополимеров представляют моно- и бисмалеинимиды на основе м- или п-амино-бензойных кислот [5, 6], их сложных эфиров [7–9] и амидов [10–12].
В настоящее время на основе малеинимидов и фурановых мономеров с использованием реакции Дильса–Альдера разработаны полимерные материалы, способные к самовосстановлению индуцированным ближним инфракрасным или тепловым воздействием [13–16].
Кроме того, ряд малеинимидов обладает флуоресцентными свойствами, что позволяет использовать их в различных областях, включая фотопамять, датчики флуоресценции, оптоэлектронные устройства, органические лазеры, высокочувствительные сенсоры для селективного обнаружения различных химических и биологических соединений, включая биотиолы [17–19].
В свете изложенного весьма актуальными представляются работы как по расширению ассортимента новых производных малеинимидов и полимеров на их основе для получения новых материалов с комплексом заданных ценных свойств, так и по изысканию новых областей применения уже известных соединений с различными функциональными группами в своем составе. В связи с этим целью настоящей работы явилась разработка методов синтеза новых бисмалеинимидов, содержащих в своей структуре сложноэфирную и уретановую группы, для дальнейшего использования в качестве различных, в том числе самовосстанавливающихся полимерных материалов с высокими эксплуатационными характеристиками.
РЕЗУЛЬТАТЫ И ОБСУЖДЕНИЕ
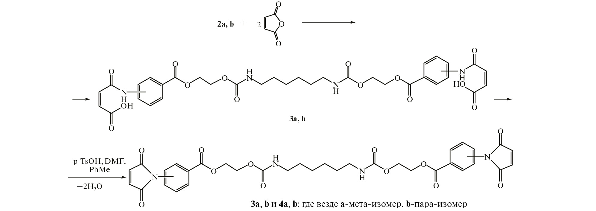
Известно, что для синтеза функционально замещенных моно- и бисмалеимидоаренкарбоновых кислот используются 2 подхода. Один из них заключается в применении реакций хлорангидридов малеимидосодержащих кислот с нуклеофильными реагентами (спирты и амины) [20, 21], а второй – в алкилировании калиевых солей малеимидобензойных кислот соответствующими моно- и дигалогенидами [21, 22]. К недостаткам этих методов можно отнести труднодоступность исходных малеимидосодержащих кислот. В данном сообщении с целью упрощения процесса получения новых рядов бисмалеинимидов, содержащих в своем составе сложноэфирные и уретановые группы, в качестве исходного галогенида предложено использовать легкодоступный бис(2-хлорэтил)гексан-1,6-диилдикарбамат (1), который является продуктом реакции гексаметилендиизоцианата с 2-хлорэтанолом [23]. На основе этого дихлорида взаимодействием с калиевыми солями м- и п-аминобензойных кислот были синтезированы бис{2-[3(4)-аминофенилкарбонилокси]этил}гексан-1,6-диилдикарбаматы 2a,b. Процесс проводили в среде диметилформамида (ДМФА) при температуре 130–140оС в присутствии катализатора – триэтилбензиламмония хлорида (ТЭБАХ). Контроль за ходом реакции и чистотой образующихся соединений осуществляли методом ТСХ. Образующиеся соединения в виде светло-коричневых кристаллов выделяли с высоким выходом (92–97%) осаждением десятикратным количеством воды (схема 1).
Схема 1
Строение соединений 2a,b подтверждали методами масс-спектрометрии, ИК и ЯМР 1Н спектроскопии, а состав – данными элементного анализа. В ИК спектрах содержатся полосы поглощения, характерные для амино-, уретановых и сложноэфирных групп в области 3218–3479 см-1 (νN–H), 1713, 1691–1683 см-1 (νС=О), 1260–1257 см-1 (νС–О). В спектрах ЯМР 1Н наблюдаются синглеты протонов аминогруппы с δ 5.35–5.95 м.д. и триплеты для протонов уретановых групп NHC(O)О при 7.21–7.19 м.д., 3JНН 5.5 Гц. Ароматические протоны карбамата 2а проявляются в виде мультиплета в области 6.80–7.19 м.д., а соединения 2b – в виде 2 дублетов с δ 6.56 и 7.63 м.д., 3JНН 8.7 Гц. В масс-спектрах дикарбаматов 2а,b имеются пики молекулярного иона с m/z 530 (1.6%) и продуктов его фрагментации.
Диамины 2a,b при комнатной температуре в среде ацетона легко реагируют с малеиновым ангидридом. В результате реакции с высоким выходом (94–96%) были получены бис{2-[3(4)-(3-карбокси-2-оксопропен-2-иламино)фенилкарбонилокси]этил}гексан-1,6-диилдикарбаматы 3a,b (схема 2).
Схема 2
В ИК спектрах бисмалемидов 3a,b имеются полосы поглощения валентных колебаний N–H (3317–3327 см-1), С=О (1717–1718, 1685–1687 см-1), С–О (1253–1266 см-1) и С=С-связей (1629–1626 см–1).
В спектрах ЯМР 1Н протоны двойной связи амидов 3а,b проявляются в виде 2 дублетов при 6.33 и 6.47–6.49 м.д. Величина 3JНН 12.0 Гц указывает на цис-положение протонов при двойной связи. Протоны уретановой группы NHC(O)О дают триплеты в области 7.19–7.22 м.д. с 3JНН 5.6 Гц, а протоны амидных и карбоксильных групп проявляются в виде синглетов при 10.55–10.62 и 12.90–12.85 м.д. соответственно.
Диамиды 3a,b легко подвергаются внутримолекулярной циклизации при нагревании в присутствии каталитических количеств п-толуолсульфокислоты в среде растворителя, состоящего из смеси ДМФА и толуола, с одновременной азеотропной отгонкой выделяющейся воды. В результате реакции с выходами 91–97% синтезированы бис[2-(3(4)-(2,5-дигидро-2,5-диоксо-1Н-пиррол-1-ил)фенилкарбонилокси)этил]гексан-1,6-диилдикарбаматы 4a,b (схема 2).
Строение бисмалеинимидов 4a,b подтверждено данными ИК и ЯМР 1Н спектров. Так, в ИК спектрах имеются полосы поглощения валентных колебаний N–H (3308–3325 см-1), C=O (1712–1714, 1680–1690 см-1) и С–О (1257–1263 см-1) связей. В спектрах ЯМР 1Н протоны малеинимидного кольца проявляются в виде характерного синглета с δ 7.22 м.д., на который накладываются сигналы протонов уретановой группы NHC(O)О при 7.19–7.22 м.д. Для фениленовых протонов характерны мультиплет при 7.65–7.94 м.д. (имид 4а) и дублеты с δ 7.54 и 8.06 м.д. с 3JНН 8.6 Гц (имид 4б).
ЭКСПЕРИМЕНТАЛЬНАЯ ЧАСТЬ
ИК спектры получены на ИК-Фурье спектрофотометре “ФСМ 1202” (Россия) в вазелиновом масле, спектры ЯМР 1Н – на спектрометре Bruker DRX500 (500.13 MГц) (Bruker Corporation, Германия) в ДМСО-d6, внутренний стандарт – тетраметилсилан, масс-спектры – на приборе Finnigam MAT INCOS-50 (энергия ионизирующих электронов 70 эВ, США). Анализ методом ТСХ проводили на пластинах Sorbfil ПТСХ-П-В, подвижная фаза – 1,4-диоксан (для диамидов 3a,b – ДМФА–этанол в объемном соотношении 1 : 4), проявитель – пары иода. Элементный анализ осуществляли на анализаторе фирмы Perkin Elmer 2400 CHN (Perkin Elmer Instruments, США). Температуру плавления определяли капиллярным методом. Использовали коммерческие продукты, растворители очищали перегонкой.
Исходные реагенты: толуол (ООО “Лукойл-Пермьнефтеоргсинтез”, Россия), м-аминобензойная кислота, п-аминобензойная кислота, малеиновый ангидрид, гексаметилендиизоцианат (Covestro, Германия), 2-хлорэтанол (Экос-1, Россия), ТЭБАХ (Вектон, Россия), 1,4-диоксан (Экос-1, Россия), ДМФА (Экос-1, Россия).
Бис(2-хлорэтил)гексан-1,6-диилдикарбамат (1) получали согласно [23] с теми же количествами исходных веществ. Выход 80.98 г ( 82%), бесцветный кристаллический порошок, т.пл. 110–111оС (перекристаллизовывали дважды из бензола).
Бис[2-(3-аминофенилкарбонилокси)этил]гексан-1,6-диилдикарбамат (2а). Смесь 17.5 г (0.1 моль) 3-аминобензоата калия, 16.46 г (0.05 моль) бис(2-хлорэтил)гексан-1,6-диилдикарбамата (1), 0.2 г ТЭБАХ и 50 мл ДМФА перемешивали при температуре 125–135оС в течение 3 ч. После охлаждения до комнатной температуры реакционную массу перемешивали с 500 мл воды, выделившийся осадок отфильтровывали, промывали 10 раз по 10 мл воды, сушили на воздухе. Выход 24.21 г (92%), бежевый порошок, т.пл. 94–96оС (перекристаллизовывали дважды из изопропилового спирта (ИПС)). Rf 0.58. ИК спектр, ν, см–1: 3429, 3338, 3218 (N–H), 1713, 1691 (С=О), 1260 (С–О–С), 751, 679 (С6Н4). Спектр ЯМР 1Н, δ, м.д.: 1.20 уш.с (4Н, 2CH2), 1.33 с (4Н, 2CH2, 3JНН 5.82 Гц), 2.94 к (4Н, 2CH2N, 3JНН 6.47 Гц), 4.25 м [4H, 2CH2OC(O)NH], 4.37 м [4H, 2CH2OC(O)], 5.35 с (4H, 2NH2), 6.80 д (2Н, 2Hар., 3JНН 7.88 Гц), 7.10 м и 7.18 с (6Hар), 7.21 т (2Н, 2NHCO, 3JНН 5.5 Гц). Найдено, %: С 58.95; Н 6.60; N 10.36. C26H34N4O8. Вычислено, %: С 58.86; Н 6.46; N 10.56.
Бис[2-(4-аминофенилкарбонилокси)этил]гексан-1,6-диилдикарбамат (2b) получали аналогично вышеописанному с теми же загрузками исходных веществ. Выход 25.73 г (97%), светло-коричневый порошок, т.пл. 119–121оС (перекристаллизовывали дважды из ИПС). Rf 0.65. ИК спектр, ν, см–1: 3479, 3362, 3218 (N–H), 1683 (С=О), 1257 (С–О–С), 1600, 843 (С6Н4). Спектр ЯМР 1Н, δ, м.д.: 1.20 уш.с (4Н, 2CH2), 1.35 т (4Н, 2CH2, 3JНН 5.82 Гц), 2.94 к (4Н, 2CH2N, 3JНН 6.44 Гц), 4.23 м [4H, 2CH2OC(O)NH], 4.29 м [4H, 2CH2OC(O)], 5.95 с (4H, 2NH2), 6.56 д (4Н, С6H4., 3JНН 8.7 Гц), 7.19 т (2Н, 2NHCO, 3JНН 5.5 Гц), 7.63 д (4Н, С6H4., 3JНН 8.7 Гц). Масс-спектр, m/z (Iотн, %): 530 (1.60) [М]+. Найдено, %: С 58.73; Н 6.54; N 10.45. C26H34N4O8. Вычислено, %: С 58.86; Н 6.46; N 10.56.
Бис{2-[3-(3-карбокси-2-оксопропен-2-иламино)фенилкарбонилокси]этил}гексан-1,6-диилдикарбамат (3а). К суспензии 13.26 г (0.025 моль) диамина 2а в 40 мл ацетона прибавляли раствор 4.9 г (0.05 моль) малеинового ангидрида в 10 мл ацетона. Выдерживали при комнатной температуре в течение 3 ч, осадок отфильтровывали, промывали 4 раза по 4 мл ацетона, сушили на воздухе. Выход 17.1 г (94%), светло-коричневый порошок, т.пл. 150–152 оС (ацетон). Rf 0.82. ИК спектр, ν, см–1: 3317 (N–H), 1718, 1685 (С=О), 1626 (СН=СН), 1266 (С–О–С), 3050, 754 (С6Н4). Спектр ЯМР 1Н, δ, м.д.: 1.19 с (4Н, 2CH2), 1.34 с (4Н, 2CH2), 2.93 к (4Н, 2CH2N, 3JНН 6.44 Гц), 4.28 м [4H, 2CH2OC(O)NH], 4.44 м [4H, 2CH2OC(O)], 6.33 д и 6.47 д (4H, 2CH=CH, 3JНН 12.0 Гц), 7.22 т (2Н, 2NHCO, 3JНН 5.6 Гц), 7.48 т (2Hар., 3JНН 7.94 Гц), 7.67 д (2Hар., 3JНН 8.18 Гц), 7.89 д (2Hар., 3JНН 5.6 Гц), 8.26 с (2Н, 2Hар.), 10.55 с (2Н, 2NHCO), 12.90 с (2H, 2COOH). Найдено, %: С 56.15; Н 5.40; N 7.56. C34H38N4O14. Вычислено, %: С 56.20; Н 5.27; N 7.71.
Бис{2-[4-(3-карбокси-2-оксопропен-2-иламино)фенилкарбонилокси]этил}гексан-1,6-диилдикарбамат (3b). Получали аналогично вышеописанному с теми же загрузками исходных веществ. Выход 17.44 г (96%), светлый желтовато-коричневый порошок, т.пл. 170–172оС. Rf 0.79. ИК спектр, ν, см–1: 3327 (N–H), 1717, 1687 (С=О), 1629 (СН=СН), 1253 (С–О–С), 3040, 848 (С6Н4). Спектр ЯМР 1Н, δ, м.д.: 1.20 с (4Н, 2CH2), 1.32 с (4Н, 2CH2), 2.94 к (4Н, 2CH2N, 3JНН 6.12 Гц.2), 4.27 м [4H, 2CH2OC(O)NH], 4.40 м [4H, 2CH2OC(O)], 6.33 д, 6.49 д (4H, 2CH=CH, 3JНН 12.0 Гц), 7.19 м (2Н, 2NHCO), 7.76 д (4H, С6H4, 3JНН 8.6 Гц), 7.93 д (4H, С6H4, 3JНН 8.66 Гц), 10.62 с (2Н, 2NHCO), 12.85 с (2H, 2COOH). Найдено, %: С 56.12; Н 5.20; N 7.52. C34H38N4O14. Вычислено, %: С 56.20; Н 5.27; N 7.71.
Бис{2-[3-(2,5-дигидро-2,5-диоксо-1Н-пиррол-1-ил)фенилкарбонилокси]этил}гексан-1,6-диилдикарбамат (4а). Смесь 14.52 г (0.02 моль) диамида 3а, 0.3 г п-толуолсульфокислоты, 30 мл ДМФА и 60 мл толуола кипятили с насадкой Дина–Старка до прекращения отделения воды в течение 3 ч. Растворители отгоняли на водяной бане в вакууме водоструйного насоса. Остаток перемешивали с 300 мл воды, осадок отфильтровывали, промывали 10 раз по 10 мл воды, сушили на воздухе. Выход 12.6 г (91%), коричневый порошок, т.пл. 105–108оС. Rf 0.46. ИК спектр, ν, см–1: 3325 (N–H), 1712, 1690 (С=О), 1263 (С–О–С), 3086, 753, 698 (С6Н4). Спектр ЯМР 1Н, δ, м.д.: 1.18 уш.с (4Н, 2CH2), 1.32 уш.с (4Н, 2CH2), 2.92 к (4Н, 2CH2N, 3JНН 6.05 Гц), 4.28 с [4H, 2CH2OC(O)NH], 4.45 м [4H, 2CH2OC(O), 3JНН 4.19 Гц], 7.22 с (6H, 2CH=CH, 2NHCO), 7.65 д и 7.94 м (8Н, 2С6Н4). Найдено, %: С 59.15; Н 4.70; N 8.36. C34H34N4O12. Вычислено, %: С 59.13; Н 4.96; N 8.11.
Бис{2-[4-(2,5-дигидро-2,5-диоксо-1Н-пиррол-1-ил)фенилкарбонилокси]этил}гексан-1,6-диилдикарбамат (4b) получали аналогично с теми же загрузками исходных веществ. Выход 13.40 г (97%), светлый желто-коричневый порошок, т.пл. 118–120оС (перекристаллизовывали дважды из этилового спирта). Rf 0.49.
ИК спектр, ν, см–1: 3308 (N–H), 1714, 1680 (С=О), 1257 (С–О), 1592, 826 (С6Н4). Спектр ЯМР 1Н, δ, м.д.: 1.19 уш.с (4Н, 2CH2), 1.34 с (4Н, 2CH2), 2.93 к (4Н, 2CH2N, 3JНН 6.01 Гц), 4.29 с [4H, 2CH2OC(O)NH], 4.45 уш.с [4H, 2CH2OC(O)], 7.19 уш.с (6Н, 2CH=CH, 2NHCO), 7.22 с (4H, 2CH=CH), 7.54 д и 8.06 д (8Н., С6Н4, 3JНН 8.6 Гц). Найдено, %: С 59.35; Н 5.01; N 8.23. C34H34N4O12. Вычислено, %: С 59.13; Н 4.96; N 8.11.
ЗАКЛЮЧЕНИЕ
В результате проведенных исследований разработан метод синтеза неизвестных ранее бис[2-(3(4)-(2,5-дигидро-2,5-диоксо-1Н-пиррол-1-ил)фенилкарбонилокси)этил]гексан-1,6-диилдикарбаматов с 2 сложноэфирными и 2 уретановыми (карбаматными) группами в своем составе. Молекулярное строение и химическая структура полученных соединений доказаны с использованием комплекса современных физико-химических методов анализа, включающих масс-спектрометрию, ИК и ЯМР 1Н спектроскопию, элементный анализ. Полученные бисмалеинимиды с сложноэфирными и уретановыми группами в своем составе могут найти применение в качестве высокоэффективных компонентов широкого спектра полимерных материалов, в том числе обладающих функцией самовосстановления.
КОНФЛИКТ ИНТЕРЕСОВ
Авторы заявляют об отсутствии конфликта интересов.
Об авторах
Олег Актарьевич Колямшин
ФГБОУ ВО “Чувашский государственный университет имени И.Н. Ульянова”
Автор, ответственный за переписку.
Email: kolyamshin.oleg@yandex.ru
ORCID iD: 0000-0002-3473-1827
Россия, 428015 Чебоксары, Московский просп., 15
Юрий Никитич Митрасов
ФГБОУ ВО “Чувашский государственный педагогический университет им. И.Я. Яковлева”
Email: kolyamshin.oleg@yandex.ru
ORCID iD: 0000-0002-4083-7863
Россия, 428000 Чебоксары, ул. К. Маркса, 38
Владимир Александрович Данилов
ФГБОУ ВО “Чувашский государственный университет имени И.Н. Ульянова”
Email: kolyamshin.oleg@yandex.ru
ORCID iD: 0000-0001-9140-1747
Россия, 428015 Чебоксары, Московский просп., 15
Список литературы
- Михайлин Ю.А. Термоустойчивые полимеры и полимерные материалы. СПб.: Профессия, 2006.
- Митрасов Ю.Н., Колямшин О.А., Данилов В.А. Малеинимиды: синтез, свойства и полимеры на их основе. Чебоксары: Чуваш. гос. пед. у-т, 2017.
- Iredale R.J., Ward C., Hamerton I Progress Polymer Sci. 2017, 69, 1–21. doi: 10.1016/j.progpolymsci.2016.12.002
- Zhang L., Chen P., Gao M., Na L., Xiong X. and Fan Sh. Desig. Monomers Polymers. 2014, 17 (7), 637–646. doi: 10.1080/15685551.2014.907618
- Liu Y., He M., Zhang D., Zhao Q., Li Y., Qin Sh., Yu J., Materials. 2018, 11, 2330. doi: 10.3390/ma11112330
- Zhao Q., Zhan Y.-K., Liu Y.-F., He M., Gong Y.-J. Polymer Sci. Ser. B. 2020, 62 (4), 368–374. doi: 10.1134/S1560090420040119
- Jeemol P.A, Mathew S., Nair C.P. Reghunadhan. J. Polymer Res. 2020, 27, 300. doi: 10.1007/s10965-020-02197-z
- Park J. O., Yoon B.-J., Srinivasarao M. J. Non-Newtonian Fluid Mechanics. 2011, 166, 925–931. doi: 10.1016/j.jnnfm.2011.04.015
- Gaina V., Gaina C. Designed Monomers Polymers (Taylor and Francis Ltd Publ.) 2007, 10 (1), 91–104.
- Sava M. Designed Monomers Polymers. 2013, 16 (1), 14–24. doi: 10.1080/15685551.2012.705485
- Fache B., Meouche W., Pham Q.T., Milano J.C. J. Adhesion Adhesives. 2013, 42, 51–59. doi: 10.1016/j.ijadhadh.2012.12.002
- Froidevaux V., Decostanzi M., Manseri A., Caillol S., Boutevin B., Auvergne R. Front. Chem. Sci. Eng. 2021, 15, 330–339. doi: 10.1007/s11705-020-1929-6
- Yang Sh., Du X., Deng Sh., Qiu J., Du Z., Cheng X., Wang H. Chem. Engineer. J. 2020, 398, 125654. doi: 10.1016/j.cej.2020.125654
- Yang Sh., Wang Sh., Du X., Du Z., Cheng X., Wang H. Chem. Engineer. J. 2020, 391, 23544. doi: 10.1016/j.cej.2019.123544
- Aizpuruaa J., Martin L., Formoso E., González A., Irusta L. Progress in Org. Coatings. 2019, 130, 31–43. doi: 10.1016/j.porgcoat.2019.01.008
- Lindenmeyer K.M., Johnson R.D., Miller K.M. Polym. Chem. 2020, 11, 5321. doi: 10.1039/d0py00016g
- Zhu J., Hu X., Yang B., Liu B. Sensors Actuators: B. Chem. 2019, 282, 743–749. doi: 10.1016/j.snb.2018.11.136
- Liu T., Huo F., Yin C., Li J., Chao J., Zhang Y. Dyes Pigments. 2016, 128, 209–214. doi: 10.1016/j.dyepig.2015.12.031
- Song L., Sun X.-D., Ge Y., Yao Y.-H., Shen J., Zhang W.-B., Qian J.-H. Chinese Chem. Lett. 2016, 27, 1776–1780. doi: 10.1016/j.cclet.2016.05.007
- Колямшин О.А., Кузьмин М.В., Игнатьев В.А., Рогожина Л.Г., Кольцов Н.И. ЖОрХ. 2015, 51, 917–918. [Kolyamshin O.A., Kuz’min M.V., Ignat’ev V.A., Rogozhina L.G., Kol’tsov N.I. Russ. J. Org. Chem. 2015, 51, 901–902]. doi: 10.1134/S1070428015060159
- Колямшин О.А., Данилов В.А., Игнатьев В.А., Кузьмин М.В. ЖОрХ. 2019, 55, 1717–1721. [Kolymshin O.A., Danilov V.A., Ignatev V.A., Kuzmin M.V. Russ. J. Org. Chem. 2019, 55, 1686–1689]. doi: 10.1134/S1070428019110071
- Колямшин О.А., Митрасов Ю.Н., Данилов В.А., Авруйская А.А. ЖОХ. 2019, 9, 1321–1326. [Kolyamshin O.A., Mitrasov Yu.N., Danilov V.A., Avruiskay A.A. Russ. J. General Chem. 2019, 89, 1740–1743]. doi: 10.1134/S1070363219090020
- Колямшин О.А., Митрасов Ю.Н., Данилов В.А., Кузьмин М.В., Иванова К.Ю. ЖОрХ. 2023, 59, 486–491. [Kolyamshin O.A., Mitrasov Yu.N., Danilov V.A., Kuz’min M.V, Ivanova K.Yu. Russ. J. Org. Chem. 2023, 59, 606–610]. doi: 10.1134/S1070428023040073





