Реакция пространственно-сопряженного халкона с гуанидином в присутствии перекиси водорода
- Авторы: Мамедов И.Г.1, Хрусталев В.Н.2,3
-
Учреждения:
- Бакинский государственный университет
- Российский университет Дружба народов (РУДН)
- Институт органической химии им. Н.Д. Зелинского РАН
- Выпуск: Том 60, № 12 (2024)
- Страницы: 1204-1208
- Раздел: Статьи
- URL: https://ogarev-online.ru/0514-7492/article/view/283541
- DOI: https://doi.org/10.31857/S0514749224120039
- EDN: https://elibrary.ru/QEWHOT
- ID: 283541
Цитировать
Полный текст
Аннотация
Нового соединения 2-амино-5-(4-бромфенил)-5-[5-бром-2-(аллилокси)бензил]-3,5-дигидро-4H-имидазол-4-он синтезировано реакцией (2E)-1-(4-бромфенил)-3-[5-бром-2-(аллилокси)-фенил]проп-2-ен-1-она с гуанидином в присутствии перекиси водорода водорода. Строение полученного продукта установлено методами спектроскопии ЯМР и РСА. Представлен вероятный механизм реакции.
Ключевые слова
Полный текст
ВВЕДЕНИЕ
Химия халконов – одна из важнейших областей органической химии, занимающаяся синтезом, свойствами и применением гетероциклических систем, а также созданием лекарственных средств. В настоящее время органическая химия значительно продвинулась вперед благодаря разработанным гетероциклическим системам для различных исследовательских и коммерческих целей, особенно в фармацевтической и химической промышленности. Имидазолы представляют собой пятичленные гетероциклические системы, содержащие 2 несмежных атома азота. Соединения, содержащие имидазольное ядро, обладают различными видами биологической активности, такими как противораковая, антиоксидантная, сосудорасширяющая, ангиотензивная, цитотоксическая, противовоспалительная, гербицидная, инсектицидная, антигипертензивная, антибактериальная, противосудорожная, кардиотоническая и т.д. [1–24].
Целью работы были синтез и исследование строения методами ЯМР и рентгеноструктурного анализа (РСА) нового соединения – 2-амино-5-(4-бромфенил)-5-[5-бром-2-(аллилокси)бензил]-3,5-дигидро-4H-имидазол-4-он (3).
РЕЗУЛЬТАТЫ И ОБСУЖДЕНИЕ
Одним из методов синтеза имидазолонов и пиримидинов является взаимодействие халконов с гуанидином в присутствии перекиси водорода при нагревании в щелочной спиртовой среде. В литературе представлены различные сведения о продуктах реакции – дигидропиримидинах, пиримидинах и имидазолонах [9–24].
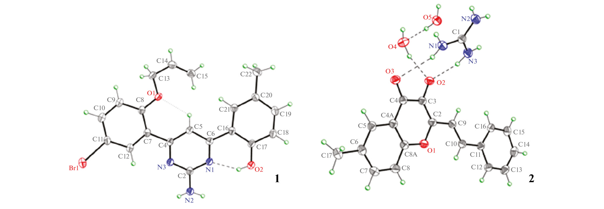
Ранее мы сообщили о реакции 2 пространственно-сопряженных халконов (двойные связи в разных положениях А и В) с гуанидином в присутствии пероксида водорода с получением аминопиримидина 1 и гуанидиния флаванола 2 (рис. 1) [24].
Рис. 1. Структура молекулы соединений 1 и 2 по данным РСА
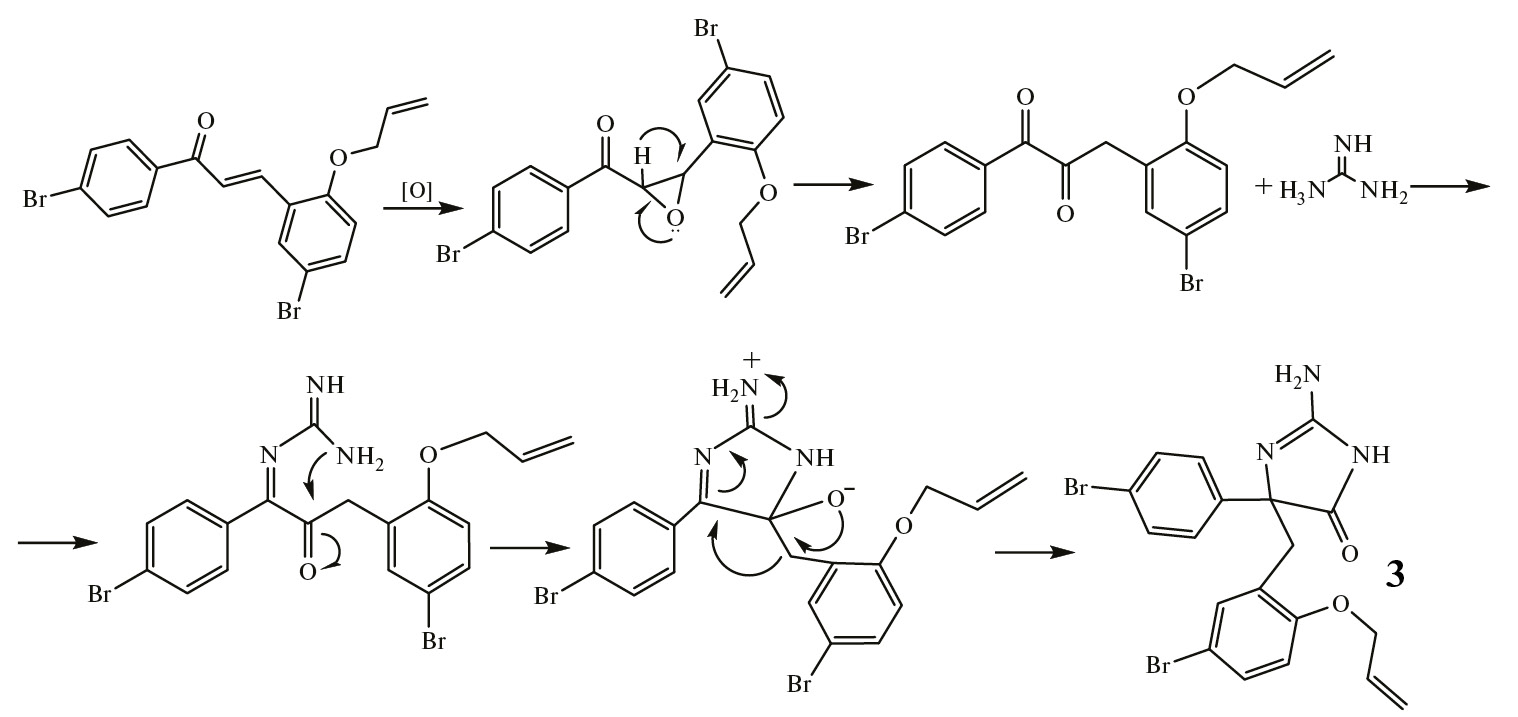
В представленной работе нами проведена реакция пространственно-сопряженного (2E)-1-(4-бромфенил)-3-[5-бром-2-(аллилокси)фенил]-проп-2-ен-1-она с гуанидином в присутствии перекиси водорода в течение 2 ч с получением соединения 3 (рис. 2). Вероятный механизм реакции представлен на схеме.
Рис. 2. Структура молекулы соединения 3 по данным РСА
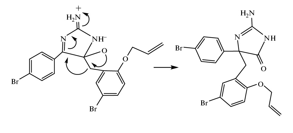
Как видно из схемы, промежуточный эпоксид образующийся под действием пероксида водорода превращается в дикетон. Потом в результате атаки обоих атомов азота гуанидина на карбонильные группы дикетона образуется промежуточный пятичленный цикл и в результате перегруппировки 2-аллилокси-5-бромбензильного фрагмента и перераспределения электронной плотности в молекуле образуются соединения 3.
Схема
ЭКСПЕРИМЕНТАЛЬНАЯ ЧАСТЬ
Все химические вещества получены из коммерческого источника (Aldrich) и использовались в том виде, в котором были приобретены.
Чистота синтезированных соединений подтверждена методом ТСХ на коммерческих пластинах силикагеля с алюминиевой подложкой (60 F254), пары иода использовали в качестве визуализирующего агента, элюент гексан–этилацетат, 5 : 3. Температура плавления измерена на приборе Stuart SMP30 (Великобритания) без коррекции.
ЯМР эксперименты выполнены на спектрометре ЯМР BRUKER FT (UltraShield TM Magnet, Германия) AVANCE 300 (300.130 МГц для 1H и 75.468 МГц для 13C) с блоком-датчиком регулятора температуры BVT 3200 в пробирках объемом 5 мл с использованием программного обеспечения Bruker Standard (TopSpin 3). Химические сдвиги 1H и 13C отнесены к внутреннему стандарту тетраметилсилану (ТМС). Экспериментальные параметры спектроскопии ЯМР 1H: цифровое разрешение 0.23 Гц, SWH = 7530 Гц, TD = 32 K, SI = 16 K, длительность импульса 90˚ 10 мкс, PL1 = 3 dB, ns = 1, ds = 0, d1 = 1с; спектроскопии ЯМР 13C: цифровое разрешение 0.27 Гц, SWH = 17985 Гц, TD = 64 K, SI = 32 K, длительность импульса 90˚ = 9 мкс, PL1 = 1,5 dB, ns = 100, ds = 2, d1 = 3с. ДМСО-d6 (99.7%, содержащий 0.3%-ную H2O) использовали для раствора имидазолона.
2-Амино-5-(4-бромфенил)-5-[5-бром-2-(аллилокси)бензил]-3,5-дигидро-4H-имидазол-4-он (3). (2E)-1-(4-Бромфенил)-3-[5-бром-2-(аллилокси)фенил]проп-2-ен-1-он (10 ммоль), гуанидин гидрохлорид (15 ммоль), этанол (30 мл), 50%-ный водный раствор КОН (5 мл) и 30%-ный водный раствор H2O2 (3.5 мл) перемешивали при температуре кипения с обратным холодильником в течение 2 ч. После окончания реакции смесь охлаждали льдом. Осадок отфильтровывали, промывали водой, сушили и перекристаллизовывали из этанола. Выход 3.2 г (67%), т.пл. 177°С. Спектр ЯМР 1H (ДМСО-d6), δ, м.д.: 3.24 д (CH2, 2JHH 14.9 Гц), 4.49 с (2H, OCH2), 5.31 д.д (CH2, 3JHH 10.5 Гц, 2JHH 16.3 Гц), 6.02 м (СН), 6.86–7.64 м (7H, аром. и 2H, NH2), 8.00 с (1H, NH). Спектр ЯМР 13С (ДМСО-d6), δ, м.д.: 36.9 (СН2), 69.1 (ОСН2), 70.1 (С), 111.9 (С, аром.), 114.6 (СН, аром.), 117.6 (СН=), 120.8 (С, аром.), 127.5 (СН, аром.), 128.4 (2СН, аром.), 130.6 (С, аром.), 131.3 (2СН, аром.), 133.6 (=СН2), 133.1 (СН, аром.), 133.9 (СН, аром.), 137.1 (С, аром.), 156.3 (C–O), 171.3 (C=N), 187.9 (C=O). Найдено, %: С 47.57; Н 3.54; Br 33.38; N 8.76. С19Н17Br2N3O2. Вычислено, %: С 47.59; Н 3.55; Br 33.40; N 8.77.
Кристаллы соединения 3 погружали в криомасло и закрепляли в нейлоновой петле, а данные по интенсивности сигналов собирали при 100(2) К на дифрактометре Smart Apex II (Германия) с использованием Mo Kα-излучения (λ = 0.71073 Å). Программу SHELXTL использовали для сбора данных, индексации отражений и определения параметров решетки, программу SAINTP – для интегрирования интенсивности отражений и шкалирования программу SADABS – для коррекции поглощения, программу SHELXTL – для определения пространственной группы и структуры, уточнение проводили методом наименьших квадратов по F2. Кристаллическая структура соединения 3 представлена на рис. 2. и депонирован в Кембриджском банке структурных данных (CCDC 2343535). C19H17Br2N3O2 (Mr 479.16, размеры 0.15 × 0.15 × 0.12 мм3), триклинический: a 9.93089, b 10.93634, c 18.3944; γ 99.3837, β 91.4113, γ 107.7688 град., пространственная группа P-1, Z 2, dрасч. 1.701 Mg/m3, μ 5.654 mm–1.
ЗАКЛЮЧЕНИЕ
Новое соединение 2-амино-5-(4-бромфенил)-5-[5-бром-2-(аллилокси)бензил]-3,5-дигидро-4H-имидазол-4-он было получено простым методом в результате взаимодействия пространственно-сопряженного халкона с гуанидином в присутствии дешевой, наиболее эффективной, экологически чистой и легкодоступной перекиси водорода. Строение синтезированного соединения подтверждено методами спектроскопии ЯМР и РСА, состав – элементным анализом.
КОНФЛИКТ ИНТЕРЕСОВ
Авторы заявляют об отсутствии конфликта интересов.
Об авторах
Ибрагим Гариб Мамедов
Бакинский государственный университет
Автор, ответственный за переписку.
Email: bsu.nmrlab@gmail.com
ORCID iD: 0000-0002-5757-9899
Химический факультет
Азербайджан, Баку, AZ-1148, ул. Х. Халилова, 23Виктор Николаевич Хрусталев
Российский университет Дружба народов (РУДН); Институт органической химии им. Н.Д. Зелинского РАН
Email: bsu.nmrlab@gmail.com
ORCID iD: 0000-0001-8806-2975
Россия, 117198 Москва, ул. Миклухо-Маклая, 6; 119991 Москва, Ленинский просп., 47
Список литературы
- Mamedov I.G., Naghiyev F.N., Maharramov A.M., Uwangue O., Farewell A., Sunnerhagen P., Erdelyi M. Mendeleev Commun., 2020, 30, 498–499. doi: 10.1016/j.mencom.2020.07.031
- Mamedov I.G., Khrustalev V.N., Doravotovskii P.V., Naghiyev F.N., Maharramov A.M. Mendeleev Commun., 2019, 29, 232–233. doi: 10.1016/j.mencom.2019.03.040
- Mamedov I.G., Mamedova Y.V. Indian J. Chem., 2021, 60B, 283–86.
- Naghiyev F.N., Mamedov I.G., Khrustalyev V.N., Shixaliyev N.G., Maharramov A.M. J. Chinese Chem. Soc., 2019, 66 (3), 253–256. doi: 10.1002/jccs.201800283
- Mamedov I.G., Mamedova Y.V. Russ. J. Org. Chem., 2021, 57 (6), 942–949. doi: 10.1134/S1070428021060099
- Mamedova Y.V., Hasanova A.E., Gasimova Sh.Z., Huseynova R.A., Mamedov I.G. New Materials, Compd. Applicat., 2020, 4, 16–19.
- Mamedov I.G., Shikhaliyeva I.M., Mamedova Y.V., Abdurahmanli S.G., Maharramov A.M. İndian J. Chem., 2019, 58B, 930–934.
- Khalilov A.N., Cisterna J., Cárdenas A., Tuzun B., Erkan S., Gurbanov A.V., Brito I. J. Mol. Struct., 2024, 1313, 138652. doi: 10.1016/j.molstruc.2024.138652
- Naghiyev F.N., Pavlov A.V., Khrustalev V.N., Akkurt M., Khalilov A.N., Akobirshoeva A.A., Mamedov I.G.. Acta Cryst. 2021, E77, 930–934. doi: 10.1107/S2056989021007994
- Naghiyev F.N., Tereshina T.A., Khrustalev V.N., Akkurt M., Khalilov A.N., Akobirshoeva A.A., Mamedov I.G.. Acta Cryst. 2021, E77, 512–515. doi: 10.1107/S2056989021003625
- Antonova M.M., Baranov V.V., Kravchenko, A.N. Chem. Heterocycl. Compd., 2015, 51, 395–420. doi: 10.1007/s10593-015-1716-3
- Keel K.L., Tepe J.J. Org. Chem. Front., 2020, 7, 3284–3311. doi: 10.1039/D0QO00764A
- Ahmed K., Ramakrishna G., Raju P., Viswanath A., Janaki M.R., Balakishan G., Pal-Bhadra Manika. Bioorg. Med. Chem. Lett., 2010, 20, 4865–4869. doi: 10.1016/j.bmcl.2010.06.097
- Janaki R.M., Pushpavalli S.N.C.V.L., Rama K.G., Sarma P., Debasmita M., Ahmed K., Utpal B., Pal Bhadra M. Canc. Cell Inter., 2011, 11 (11), 1–12. doi: 10.1186/1475-2867-11-11
- Аnitha S., Usha R.P., Prameela S.N.J. Med. Chem. Res., 2015, 24, 851–859. doi: 10.1007/s00044-014-1179-6
- Navin B.P., Hemant R.P. J. Heterocycl. Chem., 2011, 48 (2), 373–380. doi: 10.1002/jhet.588
- Bassyouni F., Tarek M., Salama A., Ibrahim B., Dine S.S.E., Yassin N., Hassanein A., Moharam M., Abdel-Rehim M. Molecules, 2021, 26, 2370–2390. doi: 10.3390/molecules26082370
- Yang X., Deng M., Zhang X., Wang Y., Song K., Cong R., Meng L., Zhang J. Chem. Biol. Drug Des., 2019, 94 (6), 2013–2022. doi: 10.1111/cbdd.13425
- El-Sharkawy K.A., AlBratty M.M., Alhazmi H.A. Brazil. J. Pharm. Sci., 2018, 54 (4), 1–13. doi: 10.1590/s2175-97902018000400153
- Jain K.S., Arya N., Inamdar N.N., Auti P.B., Unawane S.A., Puranik H.H., Sanap M.S., Inamke A.D., Mahale V.J., Prajapati C.S., Shishoo C.J. Curr. Topics Med. Chem., 2016, 16, 3133–3174. doi: 10.2174/1568026616666160609100410
- Sharma V., Chitranshi N., Agarwal A.K. Int. J. Med. Chem., 2014, 1–32. doi: 10.1155/2014/202784
- Kumar R., Arora J., Prasad A.K., Islam N., Verma A.K. Med. Chem. Res., 2013, 22, 5624–5631. doi: 10.1007/s00044-013-0555-y
- Samshuddin S., Narayana B., Sarojini B.K., Yathirajan H.S., Raghavendra R. Pharma Chemica, 2012, 4 (4), 1445–1457.
- Mamedov I.G., Khrustalev V.N. Russ. J. Org. Chem., 2023, 59 (9), 1637–1640. doi: 10.1134/S1070428023090245
Дополнительные файлы






