Substituted ureas and their analogues containing framework fragments. I. 1-(4-hydroxyadamanthane-1-yl)-3-(fluo, chlorophenyl)ureas
- Авторлар: Danilov D.V.1, D’yachenko V.S.1, Zapravdina D.M.1, Ilyina E.S.1, Degtyarenko E.K.1, Burmistrov V.V.1
-
Мекемелер:
- Volgograd state technical university
- Шығарылым: Том 60, № 12 (2024)
- Беттер: 1195-1203
- Бөлім: Articles
- URL: https://ogarev-online.ru/0514-7492/article/view/283536
- DOI: https://doi.org/10.31857/S0514749224120029
- EDN: https://elibrary.ru/QEWUPY
- ID: 283536
Дәйексөз келтіру
Толық мәтін
Аннотация
This work begins a new series of articles devoted to di-, tri- and tetra-substituted urea derivatives and is a continuation of research [1] on modification of the framework fragment in molecules of adamantyl-containing ureas. By the reaction of 1-(4-oxoadamant-1-yl)-3-(halophenyl)ureas with sodium borohydride, a series of 1,3-disubstituted ureas containing a 4-hydroxyadamantan-1-yl radical in their structure was synthesized, with a yield of target products of 55–87%. The synthesized ureas are potential metabolites and promising inhibitors of soluble human epoxide hydrolase (sEH).
Негізгі сөздер
Толық мәтін
ВВЕДЕНИЕ
Данная работа начинает новый цикл статей посвященных ди-, три- и тетразамещенным производным карбамида и является продолжением исследований [1] по модификации каркасного фрагмента в молекулах адамантилсодержащих мочевин. Поли- и гетерофункциональные производные адамантана обладают большим потенциалом и являются перспективными строительными блоками для синтеза мочевин – ингибиторов растворимой эпоксидгидролазы человека (sEH) [2–5]. Растворимая эпоксидгидролаза человека и млекопитающих является перспективной мишенью для терапии болевых состояний нейропатической этиологии [6].
1,3-Дизамещенные мочевины, содержащие в своем составе гидроксильные группы в узловых и мостиковых положениях адамантана, являются метаболитами и ближайшими структурными аналогами ингибиторов с незамещенным адамантильным фрагментом, которые в свою очередь проявляют высокую ингибирующую активность в отношении растворимой эпоксидгидролазы [7, 8] и 11β-гидроксистероиддегидрогеназы [9]. Введение гидроксильных групп в липофильные заместители мочевин приводит к повышению их водорастворимости и, как следствие, биодоступности.
В литературе сведения об адамантилсодержащих мочевинах с 4-гидроксигруппой в каркасе адамантана очень ограничены. На коммерческой основе доступно более 200 соединений, содержащих в основном в положении 3 адамантана гидроксильную группу, тогда как 4-гидроксисодержащий аналог отсутствует. Это, вероятно, связано с препаративной сложностью получения прекурсоров для синтеза мочевин, содержащих 4-гидроксиадамант-1-ил. Синтез таких соединений заключается, в основном, в получении 3(4)-гидроксиадамант-1-иламинов и последующем их взаимодействии с карбаматами [10]. Основные направления модификации 1,3-дизамещенных мочевин (рис. 1, а) связаны с подбором радикала R [11–13], а также мочевинной группы с получением гидантоинов [14], имидазолидин-2,4,5-трионов [15] и 1,1,3-тризамещенных мочевин [16]. Выбранная нами стратегия заключается в синтезе 4-гидроксиадамант-1-илсодержащих мочевин как потенциальных метаболитов их незамещенных адамант-1-илсодержащих аналогов. Целью работы было получение метаболитов и изучение их ингибирующей активности in vitro в сравнении с ингибирующей активностью ранее синтезированных соединений [1, 17] с учетом возможных протекающих биотрансформаций молекул внутри организма.
Рис. 1. Основные пути модификации (а) и метаболизма (б) молекул 1,3-дизамещенных мочевин
РЕЗУЛЬТАТЫ И ОБСУЖДЕНИЕ
На основании предварительной оценки возможности образования метаболитов с помощью онлайн веб-приложения MetaTox 2.0 (https://www.way2drug.com/metatox) удалось предсказать возникновение метаболитов синтезированных ранее соединений. Основными метаболическими путями в молекулах адмантилсодержащих мочевин (рис. 1, б) является окисление узловых и мостиковых положений адамантанового фрагмента, что подтверждается практическими результатами получения соответствующих 3(4)-гидроксиадамант-1-илсодержащих мочевин в in vivo экспериментах [18]. Быстрый in vivo метаболизм адамантилсодержащих ингибиторов sEH, содержащих адамантильный фрагмент [19], объясняется легкой доступностью его узловых и мостиковых положений для цитохрома P450 [20].
Дальнейшее исследование полученных потенциальных метаболитов позволит лучше оценить фармакокинетику таких соединений и их биологическую активность в отношении растворимой эпоксидгидролазы.
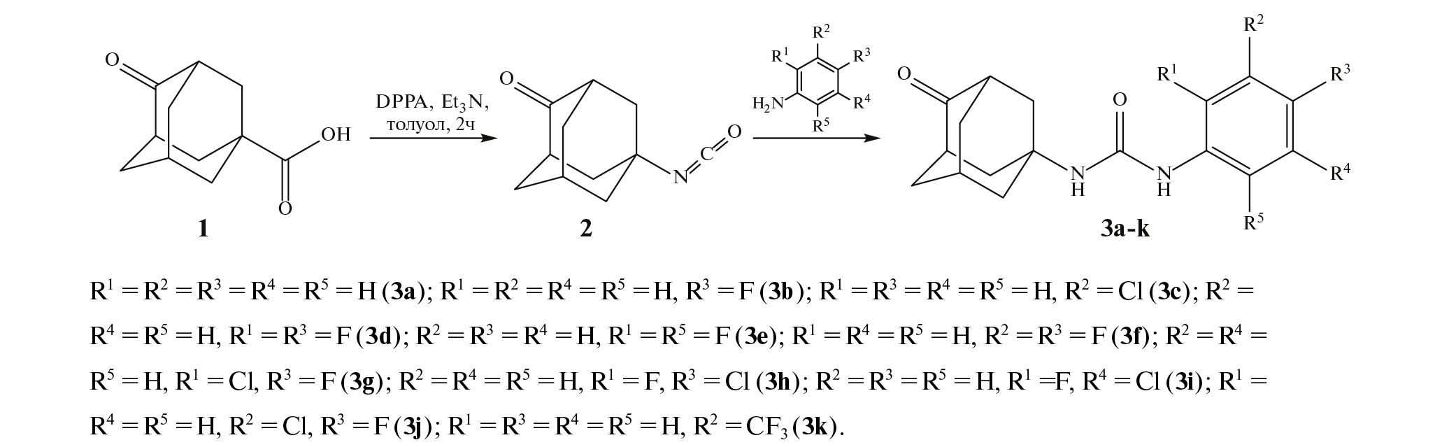
В продолжение наших работ [21–23] по модификации каркасного фрагмента в молекулах адамантилсодержащих 1,3-дизамещенных мочевин был осуществлен синтез серии 4-оксоадамантилсодержащих мочевин, являющихся прекурсорами для дальнейших превращений.
Для синтеза прекурсоров 3a–k нами был получен 1-изоцианатоадамантан-4-он (2) из 4-оксо-адамантан-1-карбоновой кислоты (1) под действием эквимолярных количеств дифенилфосфорилазида и триэтиламина (схема 1). Полученный изоцианат 2 вводили в реакцию с анилином, а также его фтор- и (или) хлорзамещенными производными [1].
Схема 1
Для получения 4-гидроксиадамант-1-илсодержащих мочевин 4a–k был разработан одностадийный метод получения (схема 2), заключающийся в восстановлении соответствующих 4-оксоадамант-1-илсодержащих аналогов 3a–k. В качестве восстановителя использовали борогидрид натрия, который селективно воздействовал на карбонильную группу в мостиковом положении адамантана. Гидрирование мочевин 3a–k проходило в среде метанола при мольном соотношении реагентов мочевина–NaBH4, равном 1 : 5. Выход составил 55–87%. Температура плавления и водорастворимость синтезированных 1,3-дизамещенных мочевин 4a–k представлены в таблице.
Схема 2
Таблица. Некоторые физико-химические свойства соединений 4a–k
Соединение | Структура | logP* | Tемпература плавления, ˚C | Выход, % | Водорастворимость, мкмоль/л** |
4a | 3.09 | 211–212 | 85 | – | |
4b | 3.25 | 226–227 | 66 | 190 | |
4c | 3.74 | 198–199 | 70 | 460 | |
4d | 3.34 | 218–219 | 81 | 780 | |
4e | 3.32 | 212–213 | 71 | 560 | |
4f | 3.34 | 214–215 | 69 | – | |
4g | 3.86 | 178–179 | 70 | 660 | |
4h | 3.86 | 206–207 | 87 | 470 | |
4i | 3.86 | 203–204 | 55 | 450 | |
4j | 3.86 | 218–219 | 83 | 440 | |
4k | 3.96 | 210–211 | 76 | 430 |
*Рассчитан с помощью программы Molinspiration (http://www.molinspiration.com) © Molinspiration Cheminformatics.
**Растворимость в воде измеряли в деионизированной воде, содержащей 1% ДМСО, с помощью турбидиметрического анализа.
Структуру полученных соединений подтверждали методами 1H и 13C ЯМР спектроскопии, а также масс-спектрометрии. В спектрах ЯМР 1H присутствует 2 характерных сигнала протонов NH мочевинной группы. Сигнал в области 5.81–6.75 м.д. соответствует протону ближней к адамантильному фрагменту NH-группы, а сигнал в области 8.06–8.61 м.д. – протону NH-группы, связанной с ароматическим кольцом.
Температура плавления мочевин 4a–k находится в пределах 178–226°C. Температура плавления полученных соединений 4a–k на 8–114°C выше, чем температура плавления аналогичных соединений 3a–k, синтезированных на основе 1-изоцианатоадамантанона-4 (2). Исключением являются мочевины 4h и 4k, температура плавления которых ниже на 23 и 19°C соответственно (рис. 2).
Рис. 2. Температура плавления мочевин 3a–k и 4a–k
По характеру графиков зависимости температуры плавления от структуры мочевины (рис. 2) видно, что появление в молекуле гидроксильных групп и, как следствие, новых межмолекулярных взаимодействий оказывает значительно большее влияние на температуру плавления, нежели структура ароматической части молекулы. Так, если температура плавления мочевин 3a–k находится в пределах 104–229°C (ширина коридора 125°C), то температура плавления мочевин 4a–k находится в значительно более узких пределах 178–226°C (ширина коридора 48°C).
Замена 4-оксогруппы на 4-гидроксигруппу в адамантильном фрагменте 1,3-дизамещенных мочевин изменяет их липофильность, а следовательно, и растворимость в воде. Рассчитанный коэффициент липофильности logP для полученных соединений находится в пределах 3.09–3.96, что в среднем на 1.5 единицы ниже, чем для аналогичных соединений, полученных на основе незамещенного 1-изоцианатоадамантана (4.49–5.14) [17]. Таким образом, введение гидроксигруппы в адамантильный фрагмент будет способствовать повышению водорастворимости соответствующих ингибиторов. Для мочевин 4a–k измеренная водорастворимость равна 190–780 мкмоль/л. В случае введения в положение 2 и 4 ароматического фрагмента атомов фтора (мочевина 4d) наблюдается рост значения водорастворимости в 1.5–4 раза. Введение в структуру ароматического фрагмента в положение 2 атома хлора, а в положение 4 атома фтора (мочевина 4g) приводит к росту водорастворимости в 1.5–3 раза относительно водорастворимости всех полученных мочевин 4a–k, за исключением мочевин 4d.
Введение в ароматическое кольцо дополнительно 2 атомов фтора (мочевины 4d и 4e) приводит к увеличению водорастворимости в 3–4 раза. Аналогичный эффект достигается при введении дополнительного атома хлора (мочевины 4g–j), при этом водорастворимость увеличивается в 2–3.5 раза. Для мочевин 4g–j, структурной особенностью которых является наличие атома хлора и фтора в ароматическом кольце, растворимость находится в пределах 440–660 мкмоль/л. Замещение в этих структурах атома хлора на атом фтора позволяет повысить водорастворимость до 560–780 мкмоль/л (мочевины 4d и 4e).
Наличие 2 атомов галогенов (F и F или F и Сl) в ароматическом кольце мочевин 4d–j увеличивает их водорастворимость на ~240–590 мкмоль/л относительно водорастворимости монофторзамещенной мочевины 4b.
Так введение гидроксильной группы в мостиковое положение адамантана 4b увеличивает его водорастворимость в 4 раза, введение оксогруппы в мостиковое положение соединения 3b – в 15 раз, по сравнению с водорастворимостью незамещенной адамантилсодержащей мочевины. Растворимость соединения 4с составляет 460 мкмоль/л. Водорастворимость аналогичной мочевины 3с, содержащей 4-оксогруппу, выше и составляет 690 мкмоль/л.
ЭКСПЕРИМЕНТАЛЬНАЯ ЧАСТЬ
Исходные мочевины 3a–k были получены по методике из литературы [1]. Метиловый спирт безводный (99,9%, CAS 67-56-1), боргидрид натрия (98%, CAS 16940-66-2) производства фирмы “Sigma-Aldrich” использовали без очистки.
Строение и состав полученных соединений подтверждали методами 1Н и 13C ЯМР спектроскопии, хроматомасс-спектрометрии и элементного анализа. Масс-спектры регистрировали на хроматомасс-спектрометре “Agilent GC 5975/MSD7820” (Agilent Technologies, США). Использовали капиллярную кварцевую колонку HP-5MS (длина 30 м, диаметр 0.25 мм, толщина слоя 0.5 мкм), газ-носитель – гелий. Программируемый нагрев колонки – от 80 до 280°С, температура испарителя 250°С. Спектры ЯМР 1H зарегистрированы на спектрометре Bruker DPX 300 (Bruker, США) в растворителе ДМСО-d6. Спектры ЯМР калибровали по остаточным сигналам растворителя. Элементный анализ выполнен на приборе “PerkinElmer Series II 2400” (PerkinElmer, США).
1-(4-Гидроксиадамантан-1-ил)-3-(фенил)мочевина (4a). К 0.25 г (0.88 ммоль) 1-(4-оксоадамантан-1-ил)-3-(фенил)мочевины (3а) в 15 мл абсолютированного метанола, предварительно охлажденного до –10оС, прибавляли 0.17 г (4.5 ммоль) боргидрида натрия. Реакционную смесь перемешивали при комнатной температуре в течение 10 ч. Метанол упаривали, к реакционной массе добавляли 20 мл 5%-ной HCl и смесь перемешивали в течение 30 мин. Нерастворившийся белый осадок отфильтровывали и промывали водой. Продукт очищали перекристаллизацией из этанола. Выход 0.21 г (84.5%), т.пл. 211–212°C. Спектр ЯМР 1Н (300 МГц, ДМСО-d6), δ, м.д.: 1.27–2.19 м (14 H, Ad); 4.59 с (1 H, OH-Ad); 5.86 c (1 H, NH–Ad); 6.87 т (1 H, 4-Ph, J 7.3 Гц); 7.20 т (2 H, 3,5-Ph, J 7.9 Гц); 7.34 д (2 H, 2,6-Ph, J 7.9 Гц); 8.21 с (1 H, NH–Ph). Спектр ЯМР 13С (75 МГц, ДМСО-d6), δ, м.д.: 35.43 (1С, Ad); 39.76 (2С, Ad); 40.32 (1С, Ad); 40.59 (2С, Ad); 40.87 (2С, Ad); 50.02 (1С, Ad); 72.13 (1С, Ad); 117.84 (2С, 2,6-Ph); 121.21 (1С, 4-Ph); 129.05 (2С, 3,5-Ph); 141.09 (1С, 4-Ph); 154.52 (1С, C(O)). Найдено, %: С 71.29; Н 7.76; N 9.80. C17H22N2О2. Вычислено, %: С 71.30; Н 7.74; N 9.78.
1-(4-Гидроксиадамантан-1-ил)-3-(4-фторфенил)-мочевина (4b). Получена аналогично соединению 4а из 0.25 г 1-(4-оксоадамантан-1-ил)-3-(4-фторфенил)мочевины (3b) и 0.16 г боргидрида натрия. Выход 0.17 г (66%), т.пл. 226–227°C. Спектр ЯМР 1Н (300 МГц, ДМСО-d6), δ, м.д.: 1.21–2.20 м (14 H, Ad); 4.27 с (1 H, OH-Ad); 5.81 с (1 H, NH–Ad); 6.95–7.10 м (2 H, 3,5–Ph); 7.27–7.42 м (2 H, 2,6-Ph); 8.32 с (1 H, NH–Ph). Спектр ЯМР 13С (75 МГц, ДМСО-d6), δ, м.д.: 28.33 (1С, Ad); 30.20 (2С, Ad); 40.74 (1С, Ad); 41.96 (2С, Ad); 42.86 (2С, Ad); 50.00 (1С, Ad); 71.50 (1С, Ad); 115.50 (2С, 3,5-Ph); 119.24 (2С, 2,6-Ph); 134.48 (1С, 1-Ph); 154.49 (1С, C(O)); 158.64 (1С, 4-Ph). Найдено, %: С 67.08; Н 6.97; N 9.22. C17H21FN2О2. Вычислено, %: С 67.09; Н 6.95; N 9.20.
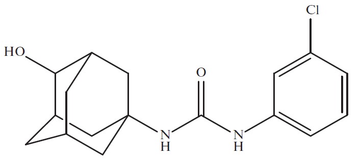
1-(4-Гидроксиадамантан-1-ил)-3-(3-хлорфенил)-мочевина (4c). Получена аналогично соединению 4а из 0.25 г 1-(4-оксоадаматан-1-ил)-3-(3-хлорфенил)мочевины (3с) и 0.15 г боргидрида натрия. Выход 0.18 г (70%), т.пл. 198–199°C. Спектр ЯМР 1Н (300 МГц, ДМСО-d6), δ, м.д.: 1.24–2.25 м (14 H, Ad); 4.46 с (1 H, OH-Ad); 5.93 с (1 H, NH–Ad); 6.86–6.94 м (1 H, 5–Ph); 7.02–7.10 м (1 H, 4–Ph); 7.17–7.25 м (1 H, 6–Ph); 7.61–7.68 м (1 H, 2–Ph); 8.45 с (1 H, NH–Ph). Спектр ЯМР 13С (75 МГц, ДМСО-d6), δ, м.д.: 30.18 (1С, Ad); 35.23 (2С, Ad); 35.36 (1С, Ad); 40.61 (2С, Ad); 42.24 (2С, Ad); 49.96 (1С, Ad); 72.04 (1С, Ad); 117.08 (1С, 6-Ph); 120.74 (1С, 2-Ph); 120.81 (1С, 4-Ph); 130.66 (1С, 5-Ph); 133.59 (1С, 3-Ph); 142.64 (1С, 1-Ph); 154.21 (1С, C(O)). Найдено, %: С 63.64; Н 6.63; N 8.75. C17H21ClN2О2. Вычислено, %: С 63.65; Н 6.60; N 8.73.
1-(4-Гидроксиадамантан-1-ил)-3-(2,4-дифторфенил)мочевина (4d). Получена аналогично соединению 4а из 0.25 г 1-(4-оксоадаматан-1-ил)-3-(2,4-дифторфенил)мочевины (3d) и 0.15 г боргидрида натрия. Выход 0.2 г (81%), т.пл. 218–219°C. Спектр ЯМР 1Н (300 МГц, ДМСО-d6), δ, м.д.: 1.22–2.17 м (14 H, Ad); 4.60 с (1 H, OH-Ad); 6.38 с (1 H, NH–Ad); 6.87–7.02 м (1 H, 3-Ph); 7.12–7.28 м (1 H, 5-Ph); 8.01–8.17 м (1 H, 6-Ph), 8.08 с (1 H, NH–Ph). Спектр ЯМР 13С (75 МГц, ДМСО-d6), δ, м.д.: 30.17 (1С, Ad); 30.31 (2С, Ad); 39.11 (1С, Ad); 39.39 (2С, Ad); 40.78 (2С, Ad); 50.11 (1С, Ad); 72.05 (1С, Ad); 103.87 (1С, 3-Ph); 111.17 (1С, 5-Ph); 121.18 (1С, 1-Ph); 125.58 (1С, 6-Ph); 150.10 (1С, C(O)); 153.97 (1С, 4-Ph); 154.10 (1С, 2-Ph). Найдено, %: С 63.33; Н 6.27; N 8.70. C17H20F2N2О2. Вычислено, %: С 63.34; Н 6.25; N 8.69.
1-(4-Гидроксиадамантан-1-ил)-3-(2,6-дифторфенил)мочевина (4e). Получена аналогично соединению 4а из 0.25 г 1-(4-оксоадаматан-1-ил)-3-(2,6-дифторфенил)мочевины (3e) и 0.15 г боргидрида натрия. Выход 0.18 г (71%), т.пл. 212–213°C. Спектр ЯМР 1Н (300 МГц, ДМСО-d6), δ, м.д.: 1.24–2.18 м (14 H, Ad); 4.32 с (1 H, OH–Ad); 6.05 с (1 H, NH–Ad); 7.02–7.12 м (2 H, 3,5-Ph); 7.16–7.27 м (1 H, 4-Ph); 7.61 с (1 H, NH–Ph). Спектр ЯМР 13С (75 МГц, ДМСО-d6), δ, м.д.: 30.26 (1С, Ad); 36.01 (2С, Ad); 36.33 (1С, Ad); 41.12 (2С, Ad); 42.79 (2С, Ad); 50.15 (1С, Ad); 72.26 (1С, Ad); 111.97 (1С, 3,5-Ph); 111.17 (1С, 5-Ph); 116.56 (1С, 1-Ph); 126.31 (1С, 4-Ph); 154.01 (1С, C(O)); 159.83 (2С, 2,6-Ph). Найдено, %: С 63.32; Н 6.28; N 8.71. C17H20F2N2О2. Вычислено, %: С 63.34; Н 6.25; N 8.69.
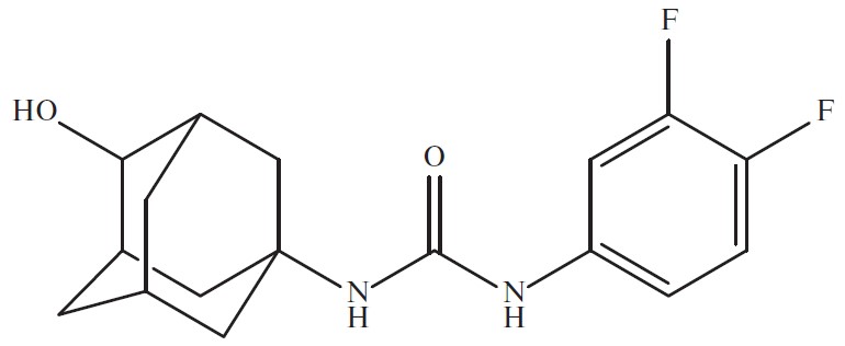
1-(4-Гидроксиадамантан-1-ил)-3-(3,4-дифторфенил)мочевина (4f). Получена аналогично соединению 4а из 0.25 г 1-(4-оксоадаматан-1-ил)-3-(3,4-дифторфенил)мочевины (3f) и 0.15 г боргидрида натрия. Выход 0.17 г (69%), т.пл. 214–215°C. Спектр ЯМР 1Н (300 МГц, ДМСО-d6), δ, м.д.: 1.23–2.25 м (14 H, Ad); 5.23–5.45 м (1 H, OH–Ad); 5.91 с (1 H, NH–Ad); 6.94 уш.c (1 H, 5-Ph); 7.25 д (1 H, 6-Ph, J 10.7 Гц); 7.61 уш.c (1 H, 2-Ph); 8.46 с (1 H, NH–Ph). Спектр ЯМР 13С (75 МГц, ДМСО-d6), δ, м.д.: 30.18 (1С, Ad); 36.00 (2С, Ad); 36.32 (1С, Ad); 42.56 (2С, Ad); 46.53 (2С, Ad); 50.18 (1С, Ad); 72.27 (1С, Ad); 106.61 (1С, 2-Ph); 113.87 (1С, 5-Ph); 117.59 (1С, 6-Ph); 138.27 (1С, 1-Ph); 147.87 (1С, 4-Ph); 151.07 (1С, 3-Ph); 154.29 (1С, C(O)). Найдено, %: С 63.34; Н 6.27; N 8.70. C17H20F2N2О2. Вычислено, %: С 63.34; Н 6.25; N 8.69.
1-(4-Гидроксиадамантан-1-ил)-3-(2-хлор-4-фторфенил)мочевина (4g). Получена аналогично соединению 4а из 0.25 г 1-(4-оксоадамантан-1-ил)-3-(2-хлор-4-фторфенил)мочевины (3g) и 0.14 г боргидрида натрия. Выход 0.18 г (70%), т.пл. 178–179°C. Спектр ЯМР 1Н (300 МГц, ДМСО-d6), δ, м.д.: 1.23–2.24 м (14 H, Ad); 4.58 м (1 H, OH-Ad); 6.75 с (1 H, NH–Ad); 7.06–7.19 м (1 H, 5–Ph); 7.33–7.43 м (1 H, 6-Ph); 7.81–7.90 м (1 H, 3-Ph); 8.06–8.16 м (1 H, NH–Ph). Спектр ЯМР 13С (75 МГц, ДМСО-d6), δ, м.д.: 30.20 (1С, Ad); 33.77 (2С, Ad); 36.01 (1С, Ad); 39.48 (2С, Ad); 42.06 (2С, Ad); 49.85 (1С, Ad); 72.10 (1С, Ad); 114.47 (1С, 5-Ph); 114.83 (1С, 3-Ph); 116.40 (1С, 6-Ph); 122.24 (1С, 2-Ph); 134.08 (1С, 1-Ph); 155.04 (1С, C(O)); 158.20 (1С, 4-Ph). Найдено, %: С 60.26; Н 5.98; N 8.29. C17H20ClFN2О2. Вычислено, %: С 60.27; Н 5.95; N 8.27.
1-(4-Гидроксиадамантан-1-ил)-3-(2-фтор-4-хлорфенил)мочевина (4h). Получена аналогично соединению 4а из 0.25 г 1-(4-оксоадаматан-1-ил)-3-(2-фтор-4-хлорфенил)мочевины (3h) и 0.14 г боргидрида натрия. Выход 0.22 г (87%), т.пл. 206–207°C. Спектр ЯМР 1Н (300 МГц, ДМСО-d6), δ, м.д.: 1.24–2.25 м (14 H, Ad); 4.60 c (1 H, OH-Ad); 6.48 с (1 H, NH–Ad); 7.09–7.20 (м, 1 H, 5-Ph); 7.33–7.44 м (1 H, 6-Ph); 8.10–8.23 м (1 H, 3-Ph); 8.27 c (1 H, NH–Ph). Спектр ЯМР 13С (75 МГц, ДМСО-d6), δ, м.д.: 28.59 (1С, Ad); 30.18 (2С, Ad); 30.33 (1С, Ad); 38.10 (2С, Ad); 40.62 (2С, Ad); 46.46 (1С, Ad); 72.07 (1С, Ad); 115.73 (1С, 3-Ph); 120.97 (1С, 5-Ph); 123.15 (1С, 6-Ph); 124.80 (1С, 4-Ph); 128.25 (1С, 1-Ph); 150.15 (1С, 2-Ph); 153.83 (1С, C(O)). Найдено, %: С 60.28; Н 5.96; N 8.28. C17H20ClFN2О2. Вычислено, %: С 60.27; Н 5.95; N 8.27.
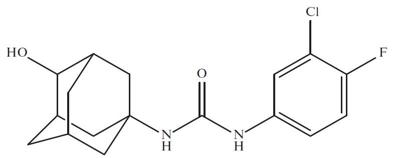
1-(4-Гидроксиадамантан-1-ил)-3-(2-фтор-5-хлорфенил)мочевина (4i). Получена аналогично соединению 4а из 0.25 г 1-(4-оксоадамантан-1-ил)-3-(2-фтор-5-хлорфенил)мочевины (4i) и 0.14 г боргидрида натрия. Выход 0.14 г (55%), т.пл. 203–204°C. Спектр ЯМР 1Н (300 МГц, ДМСО-d6), δ, м.д.: 1.24–2.22 м (14 H, Ad); 4.61 c (1 H, OH-Ad); 6.56 с (1 H, NH–Ad); 6.93 уш.с (1 H, 3,5-Ph); 7.21 с 1 H, 6-Ph); 8.32 c (1 H, NH–Ph). Спектр ЯМР 13С (75 МГц, ДМСО-d6), δ, м.д.: 30.29 (1С, Ad); 35.77 (2С, Ad); 35.96 (1С, Ad); 36.29 (2С, Ad); 42.14 (2С, Ad); 50.27 (1С, Ad); 72.24 (1С, Ad); 116.49 (1С, 3-Ph); 119.03 (1С, 6-Ph); 120.54 (1С, 4-Ph); 128.61 (1С, 1-Ph); 130.36 (1С, 5-Ph); 153.75 (1С, C(O)); 156.88 (1С, 2-Ph). Найдено, %: С 60.27; Н 5.94; N 8.27. C17H20ClFN2О2. Вычислено, %: С 60.27; Н 5.95; N 8.27.
1-(4-Гидроксиадамантан-1-ил)-3-(3-хлор-4-фторфенил)мочевина (4j). Получена аналогично соединению 4а из 0.25 г 1-(4-оксоадаматан-1-ил)-3-(3-хлор-4-фторфенил)мочевины (3j) и 0.14 г боргидрида натрия. Выход 0.21 г (83%), т.пл. 218–219°C. Спектр ЯМР 1Н (300 МГц, ДМСО-d6), δ, м.д.: 1.25–2.23 м (14 H, Ad); 4.59 с (1 H, OH-Ad); 5.91 с (1 H, NH–Ad); 7.05–7.15 м (1 H, 5-Ph); 7.24 т (1 H, 6-Ph, J 9.1 Гц); 7.70–7.80 м (1 H, 2-Ph); 8.44 с (1 H, NH–Ph). Спектр ЯМР 13С (75 МГц, ДМСО-d6), δ, м.д.: 30.17 (1С, Ad); 35.93 (2С, Ad); 39.67 (1С, Ad); 40.22 (2С, Ad); 40.78 (2С, Ad); 50.16 (1С, Ad); 72.04 (1С, Ad); 117.01 (1С, 5-Ph); 117.86 (1С, 3-Ph); 118.79 (1С, 2-Ph); 119.43 (1С, 6-Ph); 138.36 (1С, 1-Ph); 150.52 (1С, 4-Ph); 154.28 (1С, C(O)). Найдено, %: С 60.29; Н 5.96; N 8.28. C17H20ClFN2О2. Вычислено, %: С 60.27; Н 5.95; N 8.27.
1-(4-Гидроксиадамантан-1-ил)-3-(3-трифторметилфенил)мочевина (4k). Получена аналогично соединению 4а из 0.25 г 1-(4-оксоадамантан-1-ил)-3-(3-трифторметилфенил)мочевины (3k) и 0.13 г боргидрида натрия. Выход 0.19 г (76%), т.пл. 210–211°C. Спектр ЯМР 1Н (300 МГц, ДМСО-d6), δ, м.д.: 1.26–2.22 м (14H, Ad); 4.60 с (1H, OH-Ad); 5.97 с (1H, NH–Ad); 7.20 д (1H, 5-Ph, J 7.4 Гц); 7.30–7.49 м (1H, 4,6-Ph); 7.98 с (1H, 2-Ph); 8.61 с (1H, NH–Ph). Спектр ЯМР 13С (75 МГц, ДМСО-d6), δ, м.д.: 35.40 (1С, Ad); 39.19 (2С, Ad); 39.47 (1С, Ad); 39.75 (2С, Ad); 40.86 (2С, Ad); 50.05 (1С, Ad); 72.07 (1С, Ad); 113.68 (1С, 4-Ph); 117.44 (1С, 6-Ph); 121.31 (1С, 2-Ph); 123.04 (1С, CF3); 126.56 (1С, 5-Ph); 129.91 (1С, 3-Ph); 141.90 (1С, 1-Ph); 154.31 (1С, C(O)). Найдено, %: С 61.00; Н 5.98; N 7.93. C18H21F3N2О2. Вычислено, %: С 61.01; Н 5.97; N 7.91.
Рис. 3. Сравнение водорастворимости 1-(4-R-адамантан-1-ил)-3-(4-фторфенил)мочевин
ЗАКЛЮЧЕНИЕ
Таким образом, в мягких условиях были получены потенциальные ингибиторы растворимой эпоксидгидролазы человека – серия 1-(4-гидроксиадамантан-1-ил)-3-R-дизамещенных мочевин 4a–k. Коэффициент липофильности синтезированных соединений в среднем на 1.5 единицы ниже, чем коэффициент липофильности их аналогов с незамещенным адамантаном. Введение гидроксильной группы в положение 4 увеличивает растворимость соединений по сравнению с растворимостью их незамещенных аналогов, но в ряде случаев растворимость синтезированных соединений ниже, чем исходных мочевин 3a–k. Кроме того, полученные соединения являются потенциальными метаболитами 1-(адамант-1-ил)-3-(галогенфенил)мочевин и будут исследованы в качестве ингибиторов растворимой эпоксидгидролазы человека.
БЛАГОДАРНОСТИ
Работа выполнена с использованием оборудования ЦКП РТУ МИРЭА при поддержке Минобрнауки России в рамках Соглашения № 075-15-2021-689 от 01.09.2021 г.
ФОНДОВАЯ ПОДДЕРЖКА
Работа выполнена при финансовой поддержке Российского научного фонда (грант № 19-73-10002).
КОНФЛИКТ ИНТЕРЕСОВ
Авторы заявляют об отсутствие конфликта интересов.
Авторлар туралы
D. Danilov
Volgograd state technical university
Email: vburmistrov@vstu.ru
ORCID iD: 0000-0001-8734-2617
Ресей, prosp. Lenina, 28, Volgograd, 400005
V. D’yachenko
Volgograd state technical university
Email: vburmistrov@vstu.ru
ORCID iD: 0000-0002-6209-7106
Ресей, prosp. Lenina, 28, Volgograd, 400005
D. Zapravdina
Volgograd state technical university
Email: vburmistrov@vstu.ru
ORCID iD: 0000-0002-8654-2382
Ресей, prosp. Lenina, 28, Volgograd, 400005
E. Ilyina
Volgograd state technical university
Email: vburmistrov@vstu.ru
ORCID iD: 0009-0005-0475-1113
Ресей, prosp. Lenina, 28, Volgograd, 400005
E. Degtyarenko
Volgograd state technical university
Email: vburmistrov@vstu.ru
ORCID iD: 0000-0002-7337-4885
Ресей, prosp. Lenina, 28, Volgograd, 400005
V. Burmistrov
Volgograd state technical university
Хат алмасуға жауапты Автор.
Email: vburmistrov@vstu.ru
ORCID iD: 0000-0002-8547-9166
Ресей, prosp. Lenina, 28, Volgograd, 400005
Әдебиет тізімі
- Данилов Д.В., Бурмистров В.В., Рассказова Е.В., Бутов Г.М. ЖОрХ., 2020, 56, 870-878. [Danilov D.V., Burmistrov V.V., Rasskazova E.V., Butov G.M., Russ. J. Org. Chem., 2020, 56, 983—989]. doi: 10.1134/S1070428020060032
- Butterworth R.F., Drugs in R&D., 2021, 3, 267—272. doi: 10.1007/s40268-021-00351-6
- Dembitsky V.M., Gloriozova T.A., Poroikov V.V., Biochem. Biophys. Res. Commun., 2020, 529, 1225—1241. doi: 10.1016/j.bbrc.2020.06.123
- Dragomanova S., Andonova V., Pharmacia, 2023, 70, 1057—1066. doi: 10.3897/pharmacia.70.e111593
- Sun C.P., Zhang X.Y., Morisseau C., Hwang S.H., Zhang Z.J., Hammock B.D., Ma X.C., J. Med. Chem., 2020, 64, 184—215. doi: 10.1021/acs.jmedchem.0c01507
- Schmelzer K.R., Kubala L., Newman J.W., Kim I.H., Eiserich J.P., Hammock B.D., Proc. Natl. Acad. Sci. U.S.A. 2005, 102, 9772—9777. doi: 10.1073/pnas.0503279102
- Hammock B.D., Kim I., Morisseau C., Watanabe T., Newman J.W. Пат. 0164951 (2005). США.
- Gless R.D., Anandan S.K., Aavula B.R. Междунар. заявка WO 2008 112022.
- Soon K.A., Jin A., Nam S.C., Chang K.H., Tae-Jeong K., Kamsa P., Young J.S., Dong-Oh H., Cheol K.H. Пат. 0062797 (2011) Корея.
- Du F., Sun W., Morisseau C., Hammock B.D., Bao X., Liu Q., Wang C., Zhang T., Yang H., Zhou J., Xiao W., Liu Z., Chen G., Eur. J. Med. Chem. 2021, 223, 113678. doi: 10.1016/j.ejmech.2021.113678
- Jones P.D., Tsai H.J., Do Z.N., Morisseau C., Hammock B.D., Bioorg. Med. Chem. Lett., 2006, 16, 5212-5216. doi: 10.1016/j.bmcl.2006.07.009
- Hwang S.H., Wagner K.M., Morisseau C., Liu J.Y., Dong H., Wecksler A.T., Hammock B.D., J. Med. Chem., 2011, 54, 3037—3050. doi: 10.1021/jm2001376
- Huang S.X., Cao B., Morisseau C., Jin Y., Hammock B.D., Long Y.Q., Med. Chem. Commun., 2012, 3, 379—384. doi: 10.1039/C2MD00288D
- Бурмистров В.В., Питушкин Д.А., Васипов В.В., Дьяченко В.С., Бутов Г.М., ХГС, 2019, 55, 619-622. [Burmistrov V.V., Pitushkin D.А., Vasipov V.V., D’yachenko V.S., Butov G.M., Chem. Heterocycl. Compd., 55, 619—622.] doi: 10.1007/s10593-019-02507-4
- Burmistrov V., Morisseau C., D'yachenko V., Karlov D., Butov G.M., Hammock B.D., Bioorg. Med. Chem. Lett., 2019, 30, 126908. doi: 10.1016/j.bmcl.2019.126908
- Burmistrov V., Morisseau C., Danilov D., Harris T.R., Dalinger I., Vatsadze I., Shkineva T., Butov G.M., Hammock B.D., Bioorg. Med. Chem. Lett., 2015, 25, 5514—5519. doi: 10.1016/j.bmcl.2015.10.066
- Бурмистров В.В., Данилов Д.В., Дьяченко В.С., Рассказова Е.В., Бутов Г.М., ЖОрХ., 2020, 56, 672-678. [Burmistrov V.V., Danilov D.V., D'yachenko V.S., Rasskazova E.V., Butov G.M. Russ. J. Org. Chem., 2020, 56, 735—740]. doi: 10.1134/S1070428020050024
- Liu J.Y., Tsai H.J., Morisseau C., Lango J., Hwang S.H., Watanabe T., Kim I.H., Hammock B.D. Biochem. Pharmacol., 2015, 98, 718—731. doi: 10.1016/j.bcp.2015.10.013
- Hwang S.H., Wecksler A.T., Zhang G., Morisseau C., Nguyen L.V., Fu S.H., Hammock B.D., Bioorg. Med. Chem. Lett., 2013, 23, 3732—3737. doi: 10.1016/j.bmcl.2013.05.011
- Inceoglu B., Jinks S.L., Ulu A., Hegedus C.M., Georgi K., Schmelzer K.R., Wagner,K., Jones P.D., Morisseau C., Hammock B.D. Proc. Natl. Acad. Sci., 2008, 105, 18901—18906. doi: 10.1073/pnas.0809765105
- Данилов Д.В., Бурмистров В.В., Кузнецов Я.П., Дьяченко В.С., Е.В. Рассказова, Бутов Г.М., ЖОрХ, 2021, 57, 339-351. [Danilov D.V., Burmistrov V.V., Kuznetsov Y.P., D'yachenko V.S., Rasskazova E.V., Butov G.M., Russ. J. Org. Chem., 2021, 57, 327—337]. doi: 10.1134/S1070428021030027
- Gladkikh B.P., D’yachenko V.S., Danilov D.V., Matiukhina A.K., Burmistrov V.V. Butov G.M., Russ. J. Org. Chem., 2023, 59, 2138—2146. doi: 10.1134/S1070428023120114
- Гладких Б.П., Данилов Д.В., Дьяченко В.С., Бурмистров В.В., Бутов Г.М., Новаков И.А., Изв. АН. Сер. хим., 2022, 9, 1998—2005. [Gladkikh B.P., Danilov D.V., D’yachenko V.S., Burmistrov V.V., Butov G.M., Novakov I.A., Russ. Chem. Bull., 2022, 71, 1998—2005. doi: 10.1007/s11172-022-3620-1.
Қосымша файлдар


















