Modification of N-functionalized 4-nitroso-1H-pyrazoles
- Авторлар: Bobrova A.V.1, Golenko E.I.1, Oberenko A.V.2, Ivanenko T.Y.3, Root E.V.1,4, Suboch G.A.1
-
Мекемелер:
- Reshetnev Siberian State University of Science and Technology
- Siberian Federal University
- Institute of Chemistry and Chemical Technology SB RAS, Federal Research Center ‘Krasnoyarsk Science Center SB RAS’
- Krasnoyarsk State Medical University named after prof. V.F. Voino-Yasenetsky
- Шығарылым: Том 60, № 5 (2024)
- Беттер: 654-659
- Бөлім: Articles
- URL: https://ogarev-online.ru/0514-7492/article/view/279750
- DOI: https://doi.org/10.31857/S0514749224050091
- EDN: https://elibrary.ru/RCVSVA
- ID: 279750
Дәйексөз келтіру
Толық мәтін
Аннотация
N-substituted 3,5-dimethyl-4-nitroso-1H-pyrazoles was oxidized and reduced. The resulting 4-aminopyrazole was acylated, diazotized with further azo coupling or amino group replacement by iodine. Aminopyrazole was also condensed with 4-nitrobenzaldehyde. The first condensation of nitrosopyrazole with 2,4-dinitrotoluene was shown. As a result, new functionalised pyrazole derivatives were isolated. The structure of novel pyrazoles was confirmed by IR, 1H, 13C NMR spectroscopy, gas chromatography-mass spectrometry, and elemental analysis. The obtained compounds are promising for further research in medicine and pharmaceutical chemistry.
Негізгі сөздер
Толық мәтін
ВВЕДЕНИЕ
Нитрозосоединения и их производные часто выступают в качестве синтонов для синтеза широкого ряда продуктов, применяемых в различных областях науки и производства [1, 2]. Наличие нитрозогруппы в молекуле гетероцикла открывает широкие возможности для синтеза, так как нитрозосоединения обладают высокой химической активностью и могут вступать в реакции окисления [3, 4], восстановления [5, 6], Дильса–Альдера с диенами [7, 8], конденсации с нуклеофильными реагентами [9–11] и др.
Ранее нами методом прямого алкилирования 4-нитрозо-1Н-пиразолов впервые был синтезирован ряд N-замещенных 4-нитрозопиразолов [12], строение которых предполагает возможность их применения в качестве структурирующих и модифицирующих агентов в эластомерных композициях [13]. Кроме того, химическая модификация нитрозосоединений позволит получать ранее недоступные продукты с потенциальной биологической активностью. Так, восстановление нитрозопиразолов приводит к получению аминов [14], обладающих анальгетическим и противовоспалительным действием. Ацетамидные производные N-замещенных пиразолов перспективны для лечения глиобластомы [15], а некоторые 4-нитропиразолы проявляют цитотоксическую активность в отношении быстрорастущих клеток плоскоклеточного рака [16].
В этой связи, имея ряд замещенных 4-нитрозопиразолов [12], мы изучили их химические превращения с целью получения потенциально полезных продуктов, что позволило синтезировать ранее неизвестные функционализированные пиразолы химической модификацией нитрозогруппы в пиразолах.
РЕЗУЛЬТАТЫ И ОБСУЖДЕНИЕ
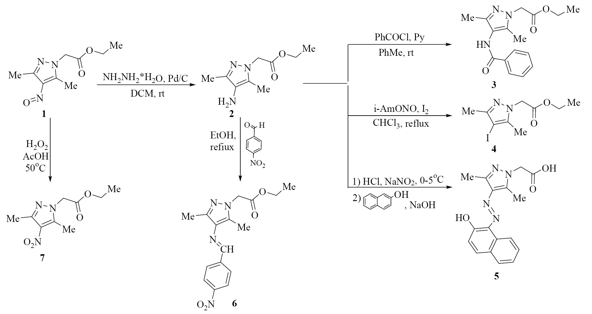
Химическую модификацию впервые полученных N-замещенных 4-нитрозопиразолов исследовали на примере этил-2-(3,5-диметил-4-нитрозо-1H-пиразол-1-ил)ацетата (1) (схема 1).
Схема 1
Восстановление 4-нитрозопиразола 1 проводили гидразингидратом в среде хлористого метилена в присутствии катализатора Pd/C. Полученный с хорошим выходом 4-аминопиразол 2 ацилировали с получением амида 3, а также диазотировали с последующими превращениями диазосоединений в новые продукты 4 и 5. Стоит отметить, что при азосочетании происходит гидролиз сложноэфирной группы, в результате чего была выделена соответствующая карбоновая кислота 5. Конденсация 4-аминопиразола 2 с альдегидами была показана на примере взаимодействия с п-нитробензальдегидом при кипячении в этаноле с образованием имина 6.
Нитропроизводное 7 получено с выходом 60% при окислении нитрозопиразола 1 пероксидом водорода в уксусной кислоте (схема 1), а окисление в тех же условиях бис(4-нитрозопиразола) 8 (схема 2) [12] привело к соответствующему динитропроизводному 9 c выходом 84%.
Схема 2
На примере N-(п-нитробензил)производного 10 показана возможность конденсации нитрозопиразолов с 2,4-динитротолуолом. Реакция успешно протекает в этаноле в присутствии K2CO3 с образованием имина 11 (схема 3).
Схема 3
Строение впервые синтезированных соединений доказывали с помощью ЯМР 1Н, ЯМР 13С, ИК-спектроскопии, ГХ–МС и элементного анализа. ИК-спектры продуктов 2–4 и 6, 7 содержат характеристические полосы поглощения сложноэфирной С=O группы при 1727–1743 см–1, а также при 1207–1240 см–1 имеется интенсивная полоса поглощения, отвечающая колебаниям группы С–О–С в сложноэфирном фрагменте. В ИК-спектрах соединений 6, 7, 9, 11 присутствуют полосы валентных колебаний NO2 групп (1516–1565, 1347–1364 см–1). На ЯМР 1Н спектрах продуктов 2–4 и 6, 7 наблюдается триплет в области 1.26–1.30 м.д. и квадруплет при 4.20–4.26 м.д., соответствующие этильному фрагменту сложноэфирного заместителя. Для соединений 2–7 и 11 сигнал протонов N–CH2 группы зарегистрирован в области 4.70–5.44 м.д. На спектрах всех продуктов наблюдаются синглеты CH3 групп в положениях 3 и 5 пиразольного цикла при 2.11–2.48 и 2.16–2.61 м.д. В ЯМР 13С спектрах сигналы карбонильных атомов углерода зарегистрированы в области 166.5–168.5 м.д. В масс-спектрах соединений 2–4, 6, 7 и 9 имеются пики молекулярных ионов средней и малой интенсивности (5–54%). Наименее интенсивен пик молекулярного иона нитропроизводного 9 (5%), в случае соединений 2, 4, 6, 7 интенсивность пиков составляет 33–38%, а наиболее интенсивный пик (54%) наблюдается для амида 3.
ЭКСПЕРИМЕНТАЛЬНАЯ ЧАСТЬ
Ход реакции и чистоту соединений контролировали методом ТСХ на пластинах Sorbfil ПТСХ-АФ-В (Россия), элюент толуол–ацетон (1:1, 2:1), пятна детектировали в УФ-свете. ИК спектры соединений записаны на спектральном инфракрасном комплексе фирмы «SIMEX» (Россия, Новосибирск), состоящем из ИК Фурье-спектрометра «ФТ-801» и инфракрасного широкодиапазонного микроскопа МИКРАН-2. Спектры ЯМР 1Н (600.13 МГц) и 13С (150.90 МГц) регистрировали на спектрометре Bruker Avance III 600. Химические сдвиги 1H и 13C указаны относительно остаточного сигнала растворителя (CDCl3: δ = 7.26 м.д. (1H) и 77.16 м.д. (13C); ДМСО: δ = 2.50 м.д. (1H) и 39.52 м.д. (13C)). Отнесение сигналов в спектрах ЯМР 1H и 13C выполнено с использованием метода двумерной корреляционной спектроскопии 1H–13C HSQC и анализа химических сдвигов. Исследования методом ГХ–МС осуществляли с помощью газового хроматографа Кристалл 5000.2 с кварцевой капиллярной колонкой TR-5MS (длина 30 м, внутренний диаметр 0.25 мм, неподвижная фаза – фенил–диметилполисилоксан (5 : 95, %), толщина фазы 0.25 мкм) с квадрупольным масс-спектрометрическим детектором «ISQ» (Thermo Fisher Scientific, США), ионизация электронным ударом, 70 эВ. Элементный анализ выполнен на приборе EURO EA 3000. Исходные нитрозосоединения 1, 8 и 10 синтезировали по ранее разработанной нами методике [12].
Этил-2-(4-амино-3,5-диметил-1H-пиразол-1-ил)ацетат (2). К раствору нитрозопиразола 1 (1.02 г, 4.83 ммоль) в 15 мл CH2Cl2 прибавляли 0.5 г Pd/C (0.7%). Затем по каплям вводили гидразингидрат (0.48 г, 9.69 ммоль) и перемешивали смесь в течение 2 ч, после чего катализатор отфильтровывали, фильтрат упаривали при пониженном давлении. Твердый остаток промывали 5 мл холодного эфира. Выход 0.62 г (65 %), белые кристаллы, т.пл. 42–43°С. ИК-спектр, ν, см–1: 3390, 3329, 1329 (NH2), 1741(С=O), 1207 (С–О–С). Спектр ЯМР 1H (600 МГц, CDCl3), δ, м.д.: 1.26 т (3H, CH3CH2O, J 7.1 Гц), 2.11 с (3H, PyrСН3), 2.16 с (3H, PyrСН3), 2.37 уш.с (2H, NН2), 4.20 к (2H, CH3CH2O, J 7.1 Гц), 4.70 с (2H, CН2CO2C2H5). Спектр ЯМР 13C (150 МГц, CDCl3), δ, м.д.: 8.8 (PyrСН3), 11.0 (PyrСН3), 14.3 (CH3CH2O), 50.9 (CН2CO2C2H5), 61.7 (CH3CH2O), 123.5, 128.7, 140.7, 168.5 (C=O). Масс-спектр, m/z (Iотн, %): 197 (38) [М]+, 124 (100), 83 (14), 42 (36). Найдено, %: C 54.69; H 7.68; N 21.35. C9H15N3O2. Вычислено, %: C 54.81; H 7.67; N 21.30.
Этил-2-(4-бензамидо-3,5-диметил-1H-пиразол-1-ил)ацетат (3). К раствору аминопиразола 2 (0.20 г, 1.02 ммоль) в 10 мл CHCl3 прибавляли 0.16 г (2.03 ммоль) пиридина, затем по каплям вводили 0.21 г (1.52 ммоль) бензоилхлорида. Реакционную массу перемешивали 1 ч при комнатной температуре, после чего прибавляли 50 мл 5 %-ного раствора NaHCO3 и перемешивали смесь 5 мин. Органический слой отделяли, водный слой дополнительно экстрагировали CHCl3 (5 × 10 мл). Экстракты объединяли, сушили Na2SO4, и упаривали растворитель при пониженном давлении. Остаток очищали перекристаллизацией из хлороформа. Выход 0.19 г (61%), белые кристаллы, т.пл. 162–164°С (CHCl3). ИК-спектр, ν, см–1: 3265 (NH), 1743 (C=O), 1643 (NHC=O), 1216 (C–O–C). Спектр ЯМР 1H (600 МГц, CDCl3), δ, м.д.: 1.29 т (3H, CH3CH2O, J 7.1 Гц), 2.17 с (3H, PyrСН3), 2.18 с (3H, PyrСН3), 4.22 к (2H, CH3CH2O, J 7.1 Гц), 4.78 с (2H, CН2CO2C2H5), 7.25 уш.с (1H, NН), 7.48–7.51 м (2Наром), 7.55–7.58 м (1Наром), 7.89–7.90 м (2Наром). Спектр ЯМР 13C (150 МГц, CDCl3), δ, м.д.: 9.8 (PyrСН3), 11.5 (PyrСН3), 14.3 (CH3CH2O), 51.1 (CН2CO2C2H5), 62.0 (CH3CH2O), 115.4, 127.4, 128.9, 132.1, 134.3, 136.5, 145.1, 166.7 (C=O), 168.2 (C=O). Масс-спектр, m/z (Iотн, %): 301 (53.5) [М]+, 228 (19), 196 (32), 105 (100), 77 (25). Найдено, %: C 63.95; H 6.34; N 13.92. C16H19N3O3. Вычислено, %: C 63.77; H 6.36; N 13.94.
Этил-2-(4-йод-3,5-диметил-1H-пиразол-1-ил)ацетат (4). К раствору аминопиразола 2 (0.20 г, 1.02 ммоль) и I2 (0.59 г, 2.34 ммоль) в 10 мл CHCl3 по каплям вводили изоамилнитрит (0.15 г, 1.32 ммоль). Реакционную массу перемешивали 2 ч при кипячении, охлаждали и промывали раствором Na2S2O3. Органический слой отделяли, сушили Na2SO4, упаривали растворитель при пониженном давлении и остаток хроматографировали (SiO2, элюент гексан–этилацетат, 50 : 10). Выход 0.18 г (58%), белые кристаллы, т.пл. 96–98°С. ИК-спектр, ν, см–1: 1741 (С=O), 1210 (С–О–С). Спектр ЯМР 1H (600 МГц, CDCl3), δ, м.д.: 1.28 т (3H, CH3CH2O, J 7.1 Гц), 2.22 с (3H, PyrСН3), 2.24 с (3H, PyrСН3), 4.23 к (2H, CH3CH2O, J 7.1 Гц), 4.82 с (2H, CН2CO2C2H5). Спектр ЯМР 13C (150 МГц, CDCl3), δ, м.д.: 12.1 (PyrСН3), 14.2 (PyrСН3), 14.3 (CH3CH2O), 51.6 (CН2CO2C2H5), 62.1 (CH3CH2O), 63.8, 141.9, 150.4, 167.8 (C=O). Масс-спектр, m/z (Iотн, %): 308 (34) [М]+, 235 (100), 107 (19), 80 (26.5), 67 (32). Найдено, %: C 35.13; H 4.24; N 9.07. C9H13IN2O2. Вычислено, %: C 35.08; H 4.25; N 9.09.
2-(4-((2-Гидроксинафталин-1-ил)диазенил)-3,5-диметил-1H-пиразол-1-ил)уксусная кислота (5). К раствору аминопиразола 2 (0.20 г, 1.02 ммоль) в 1.2 мл HCl (17%) при 0°С по каплям прибавляли раствор NaNO2 (0.077 г, 1.12 ммоль) в 1.3 мл H2O. Реакционную массу перемешивали 30 мин при 0°С. В полученную смесь вводили холодный раствор 2-нафтола (0.161 г, 1.12 ммоль) в водном NaOH (0.2 г в 2.2 мл H2O) при интенсивном перемешивании, затем прибавляли 1 мл HCl (35%). Осадок отфильтровывали, промывали водой и сушили на воздухе. Аналитический образец получен перекристаллизацией из ацетона. Выход 0.12 г (36%), оранжевые кристаллы, т.пл. 242°С ((CH3)2CO). ИК-спектр, ν, см–1: 2530 (OH), 1731 (C=O), 1427 (-N=N-), 1246 (C–O). Спектр ЯМР 1H (600 МГц, ДМСО-d6), δ, м.д.: 2.50 с (3H, PyrСН3, перекрывается с пиком ДМСО), 2.54 с (3H, PyrСН3), 5.02 с (2H, CН2CO2H), 7.24 д (1Наром, J 8.9 Гц), 7.47–7.50 м (1Наром), 7.65–7.67 м (1Наром), 7.93 д (1Наром, J 8.1 Гц), 7.96 д (1Наром, J 8.9 Гц), 8.58 д (1Наром, J 8.5 Гц), 14.17 с (1Н, CН2CO2H). Спектр ЯМР 13C (150 МГц, ДМСО-d6), δ, м.д.: 9.8 (PyrСН3), 14.0 (PyrСН3), 50.6 (CН2CO2H), 119.6, 121.2, 123.4, 124.3, 128.0, 128.1, 128.3, 129.0, 131.9, 133.3, 141.2, 150.6, 164.9, 169.1. Найдено, %: C 63.10; H 4.98; N 17.24. C17H16N4O3. Вычислено, %: C 62.95; H 4.97; N 17.27.
Этил-2-(3,5-диметил-4-((4-нитробензилиден)амино)-1H-пиразол-1-ил)ацетат (6). К раствору аминопиразола 2 (0.20 г, 1.02 ммоль) в 5 мл EtOH прибавляли п-нитробензальдегид (0.15 г, 1.02 ммоль). Реакционную массу кипятили 1 ч, выпавший осадок отфильтровывали и промывали холодным EtOH (2 мл). Аналитический образец получен перекристаллизацией из EtOH. Выход 0.19 г (56%), желтые кристаллы, т.пл. 163–165°С (EtOH). ИК-спектр, ν, см–1: 1738(С=O), 1516 (NO2), 1224 (С–О–С). 1347 (NO2). Спектр ЯМР 1H (600 МГц, CDCl3), δ, м.д.: 1.30 т (3H, CH3CH2O, J 7.1 Гц), 2.38 с (3H, PyrСН3), 2.43 с (3H, PyrСН3), 4.25 к (2H, CH3CH2O, J 7.1 Гц), 4.80 с (2H, CН2CO2C2H5), 7.99-8.00 м (2Наром), 8.28–8.29 м (2Наром), 8.61 с (1H, NСН). Спектр ЯМР 13C (150 МГц, CDCl3), δ, м.д.: 9.4 (PyrСН3), 14.3 (PyrСН3), 14.3 (CH3CH2O), 51.0 (CН2CO2C2H5), 62.1 (CH3CH2O), 124.1, 128.3, 129.3, 137.3, 141.0, 143.2, 148.7, 152.0 (NСН), 167.8 (C=O). Масс-спектр, m/z (Iотн, %): 330 (33) [М]+, 257 (38), 182 (100), 129 (50), 55 (41). Найдено, %: C 58.27; H 5.48; N 16.99. C16H18N4O4. Вычислено, %: C 58.17; H 5.49; N 16.96.
Этил-2-(3,5-диметил-4-нитро-1H-пиразол-1-ил)ацетат (7). Нитрозопиразол 1 (0.21 г, 1 ммоль) растворяли в 5 мл AcOH и прибавляли 5 мл H2O2 (35%). Реакционную массу перемешивали 2.5 ч при 50°С до исчезновения зеленой окраски, разбавляли 50 мл H2O и экстрагировали CHCl3 (5 × 10 мл). Экстракты объединяли, сушили Na2SO4, концентрировали при пониженном давлении и перекристаллизовывали остаток из гексана. Выход 0.136 г (60%), светло-желтые кристаллы, т.пл. 71–72°С (гексан). ИК-спектр, ν, см–1: 1727 (С=O), 1565, 1356 (NO2), 1240 (С–О–С). Спектр ЯМР 1H (600 МГц, CDCl3), δ, м.д.: 1.30 т (3H, CH3CH2O, J 7.1 Гц), 2.52 с (3H, PyrСН3), 2.59 с (3H, PyrСН3), 4.26 к (2H, CH3CH2O, J 7.1 Гц), 4.82 с (2H, CН2CO2C2H5). Спектр ЯМР 13C (150 МГц, CDCl3), δ, м.д.: 11.8 (PyrСН3), 14.2 (PyrСН3), 14.2 (CH3CH2O), 51.2 (CН2CO2C2H5), 62.6 (CH3CH2O), 131.8, 141.7, 146.8, 166.5 (C=O). Масс-спектр, m/z (Iотн, %): 227 (38) [М]+, 154 (100), 137 (63), 55 (14). Найдено, %: C 47.68; H 5.76; N 18.46. C9H13N3O4. Вычислено, %: C 47.57; H 5.77; N 18.49.
1,3-Бис(3,5-диметил-4-нитро-1H-пиразол-1-ил)пропан (9). Бис(4-нитрозопиразол) 8 (0.29 г, 1 ммоль) растворяли в 14 мл AcOH и прибавляли 13 мл H2O2 (35%). Реакционную массу перемешивали 1.5 ч при 50°С, затем разбавляли насыщенным водным раствором NaCl (140 мл). Выпавший осадок отфильтровывали и сушили на воздухе. Выход 0.27 г (84%), светло-желтый порошок, т.пл. 146–148°С. ИК-спектр, ν, см–1: 1561, 1350 (NO2). Спектр ЯМР 1H (600 МГц, CDCl3), δ, м.д.: 2.40–2.45 м (2H, CH2CH2CH2), 2.48 с (6H, PyrСН3), 2.61 с (6H, PyrСН3), 4.06–4.09 м (4H, CH2CH2CH2). Спектр ЯМР 13C (150 МГц, CDCl3), δ, м.д.: 11.5 (PyrСН3), 14.2 (PyrСН3), 28.6 (CH2CH2CH2), 46.3 (CH2CH2CH2), 131.4, 140.3, 146.5. Масс-спектр, m/z (Iотн, %): 322 (5) [М]+, 305 (19), 181 (18), 168 (100), 154 (69), 55 (18). Найдено, %: C 48.56; H 5.62; N 26.10. C13H18N6O4. Вычислено, %: C 48.44; H 5.63; N 26.07.
N-(3,5-Диметил-1-(4-нитробензил)-1H-пиразол-4-ил)-1-(2,4-динитрофенил)метанимин (11). К суспензии нитрозопиразола 10 (0.26 г, 1 ммоль) в 5 мл EtOH прибавляли K2CO3 (0.14 г, 1 ммоль) и 2,4-динитротолуол (0.18 г, 1 ммоль). Реакционную массу перемешивали 1.5 ч при кипячении, затем упаривали растворитель при пониженном давлении, остаток хроматографировали (SiO2, элюент гексан–этилацетат, 50 : 15–50 : 20). Выход 0.14 г (33%), желтые кристаллы, т.пл. 192–194°С (разл.). ИК-спектр, ν, см–1: 1550, 1528, 1364, 1351 (NO2). Спектр ЯМР 1H (600 МГц, CDCl3), δ, м.д.: 2.40 с (3H, PyrСН3), 2.53 с (3H, PyrСН3), 5.44 с (2H, СН2C6H5NO2), 7.34 д (2Hаром, J 8.5 Гц), 8.22 д (2Hаром, J 8.6 Гц), 8.49–8.50 м (1Наром), 8.56–8.58 м (1Наром), 8.89 с (1H, N=СН), 9.11 с (1Наром). Спектр ЯМР 13C (150 МГц, CDCl3), δ, м.д.: 9.6 (PyrСН3), 13.6 (PyrСН3), 52.4 (СН2C6H5NO2), 120.4, 124.4, 127.3, 127.9, 130.2, 130.5, 131.6, 135.6, 138.0, 141.1, 143.2, 148.0, 148.7. Найдено, %: C 53.87; H 3.81; N 19.76. C19H16N6O6. Вычислено, %: C 53.78; H 3.80; N 19.80.
ЗАКЛЮЧЕНИЕ
Показана возможность химической модификации N-функционализированных 4-нитрозопиразолов до различных классов соединений, в результате чего был выделен ряд ранее неизвестных нитропиразолов, иминов, амидов, амино-, азо- и йодзамещенных производных. Полученные продукты можно рассматривать в качестве потенциальных биологически активных веществ и синтонов. Рассмотрены спектральные характеристики синтезированных соединений.
БЛАГОДАРНОСТИ
Исследование проведено с использованием оборудования Красноярского регионального центра коллективного пользования Федерального исследовательского центра «Красноярский научный центр Сибирского отделения Российской академии наук».
ФОНДОВАЯ ПОДДЕРЖКА
ЯМР исследования проведены в рамках государственного задания (проект №FWES-2021-0012) Института химии и химической технологии СО РАН.
КОНФЛИКТ ИНТЕРЕСОВ
Авторы заявляют об отсутствии конфликта интересов.
Авторлар туралы
A. Bobrova
Reshetnev Siberian State University of Science and Technology
Хат алмасуға жауапты Автор.
Email: anastasiya-an-96@mail.ru
ORCID iD: 0000-0002-9264-4449
Ресей, Krasnoyarskii Rabochii prosp., 31, Krasnoyarsk, 660037
E. Golenko
Reshetnev Siberian State University of Science and Technology
Email: anastasiya-an-96@mail.ru
ORCID iD: 0009-0001-1413-6318
Ресей, Krasnoyarskii Rabochii prosp., 31, Krasnoyarsk, 660037
A. Oberenko
Siberian Federal University
Email: anastasiya-an-96@mail.ru
ORCID iD: 0000-0002-1156-9644
Ресей, Svobodny prosp., 79, Krasnoyarsk, 660041
T. Ivanenko
Institute of Chemistry and Chemical Technology SB RAS, Federal Research Center ‘Krasnoyarsk Science Center SB RAS’
Email: anastasiya-an-96@mail.ru
ORCID iD: 0000-0002-1931-3205
Ресей, Akademgorodok, 50/24, Krasnoyarsk, 660036
E. Root
Reshetnev Siberian State University of Science and Technology; Krasnoyarsk State Medical University named after prof. V.F. Voino-Yasenetsky
Email: anastasiya-an-96@mail.ru
ORCID iD: 0009-0001-7093-4701
Ресей, Krasnoyarskii Rabochii prosp., 31, Krasnoyarsk, 660037; ul. Partizana Zheleznyaka, 1, Krasnoyarsk, 660022
G. Suboch
Reshetnev Siberian State University of Science and Technology
Email: anastasiya-an-96@mail.ru
ORCID iD: 0000-0003-2027-8512
Ресей, Krasnoyarskii Rabochii prosp., 31, Krasnoyarsk, 660037
Әдебиет тізімі
- Vančik H. Aromatic C-Nitroso Compounds. Dordrecht: Springer Netherlands 2013, 1, 1–156. doi: 10.1007/978-94-007-6337-1
- Huang J., Chen Z., Yuan J., Peng Y. Asian J. Org. Chem. 2016, 5, 951–960. doi: 10.1002/ajoc.201600242
- Astolfi P., Carloni P., Damiani E., Greci L., Marini M., Rizzoli C., Stipa P. Eur. J. Org. Chem. 2008, 19, 3279–3285. doi: 10.1002/ejoc.200800213
- Bobrov P.S., Kirik S.D., Peterson I.V., Suboch G.A. Org. Biomol. Chem. 2023, 21, 3604–3614. doi: 10.1039/D3OB00356F
- Yang W., Lu X., Zhou T., Cao Y., Zhang Y., Ma M. Chem. Heterocycl. Compd. 2018, 54, 780–783. doi: 10.1007/s10593-018-2349-0
- Bobrova A.V., Krasnov P.O., Povarov I.G., Bobrov P.S., Lyubyashkin A.V., Suboch G.A., Tovbis M.S. J. Mol. Struct. 2021, 1230, 129912. doi: 10.1016/j.molstruc.2021.129912
- Maji B., Yamamoto H. J. Am. Chem. Soc. 2015, 137, 15957–15963. doi: 10.1021/jacs.5b11273
- Xu X.-B., Liu Y.-N., Rao G.-W. Russ. J. Org. Chem. 2019, 55, 559–568. doi: 10.1134/s1070428019040237
- Priewisch B., Rück-Braun K. J. Org. Chem. 2005, 70, 2350–2352. doi: 10.1021/jo048544x
- Li W., Xin J., Zhai P., Lin J., Huang S., Gao W., Li X., Org. Biomol. Chem. 2021, 19, 6473–6477. doi: 10.1039/D1OB00930C
- Gulyaev D.A., Klenov M.S., Churakov A.M., Strelenko Y.A., Fedyanin I.V., Lempert D.B., Kosareva E.K., Kon’kova T.S., Matyushin Y.N., Tartakovsky V.A., RSC Adv. 2021, 11, 24013–24021. doi: 10.1039/D1RA03919A
- Bobrova A.V., Krasnov P.O., Radzhabov A.D., Kondrasenko A.A., Root E.V., Suboch G.A. ChemistrySelect 2023, 8, e202302031. doi: 10.1002/slct.202302031
- Боброва А.В., Субоч Г.А., Левченко С.И., Роот Е.В., Пен В.Р. Пат. 2786096 (2022). РФ. Б.И. 2022, № 35.
- Burgart Y.V., Agafonova N.A., Shchegolkov E.V., Krasnykh O.P., Kushch S.O., Evstigneeva N.P., Gerasimova N.A., Maslova V.V., Triandafilova G.A., Solodnikov S.Yu., Ulitko M.V., Makhaeva G.F., Rudakova E.V., Borisevich S.S., Zilberberg N.V., Kungurov N.V., Saloutin V.I., Chupakhin O.N. Eur. J. Org. Chem. 2020, 208, 112768. doi: 10.1016/j.ejmech.2020.112768
- Comes Franchini M., Bonini B.F., Camaggi C.M., Gentili D., Pession A., Rani M., Strocchi E. Eur. J. Org. Chem. 2010, 45, 2024–2033. doi: 10.1016/j.ejmech.2010.01.014
- Abu-Surrah A.S., Abu Safieh K.A., Ahmad I.M., Abdalla M.Y., Ayoub M.T., Qaroush A.K., Abu-Mahtheieh A.M. Eur. J. Org. Chem. 2010, 45, 471–475. doi: 10.1016/j.ejmech.2009.10.029




