Метод синтеза [2,4-дихлор-6-(3,5-дихлор-2-гидроксибензамидо)фенокси]уксусной кислоты
- Авторы: Дударев В.Г.1, Васендин М.И.1, Москвин А.В.1
-
Учреждения:
- Санкт-Петербургский государственный химико-фармацевтический университет
- Выпуск: Том 60, № 7 (2024)
- Страницы: 875-882
- Раздел: Статьи
- URL: https://ogarev-online.ru/0514-7492/article/view/279481
- DOI: https://doi.org/10.31857/S0514749224070074
- EDN: https://elibrary.ru/RBIIRG
- ID: 279481
Цитировать
Полный текст
Аннотация
Предложен метод синтеза анилида 3,5-дихлорсалициловой кислоты, содержащего в анилиновом фрагменте карбоксиметоксигруппу в орто-положении к амидной группе. В качестве промежуточного соединения получен 2-(2-нитро-4,6-дихлорфенокси)-N,N-диметилацетамид, нитрогруппа которого восстановлена до аминогруппы и ацилирована 2-гидрокси-3,5-дихлорбензоилхлоридом с последующим избирательным щелочным гидролизом защитной N,N-диметиламидной группы. В отсутствие защиты карбоксильной группы в реакции с 2-гидрокси-3,5-дихлорбензоилхлоридом образуется в основном 6,8-дихлор-2Н-1,4-бензоксазин-3(4Н)-он.
Полный текст
ВВЕДЕНИЕ
Галогенированные салициланилиды обладают антигельминтной активностью, способностью блокировать ферменты, ответственные за развитие опухолей [1–3] и воспалительных процессов [4], эффективны в отношении микобактерий туберкулеза [5], бактерий ботулизма и различных вирусов [6–9]. Большинство соединений ряда салициланилидов мало растворимы в воде, что может являться причиной их малой биодоступности и эффективности [10]. Ранее [11] нами были синтезированы 2 изомерных анилида 3,5-дихлорсалициловой кислоты, содержащих карбоксиметоксигруппу в анилиновом фрагменте: [2,4-дихлор-5-(3,5-дихлор-2-гидроксибензамидо)фенокси]уксусная кислота (I) и [2,6-дихлор-4-(3,5-дихлор-2-гидроксибензамидо)фенокси]уксусная кислота (II) (рисунок), которые предполагается использовать в виде водорастворимых солей.
Рисунок
Данное сообщение описывает синтез [2,4-дихлор-6-(3,5-дихлор-2-гидроксибензамидо)фенокси]уксусной кислоты, которая является изомером 2 ранее полученных соединений [11] и имеет орто-расположение карбоксиметокси- и амидной групп.
РЕЗУЛЬТАТЫ И ОБСУЖДЕНИЕ
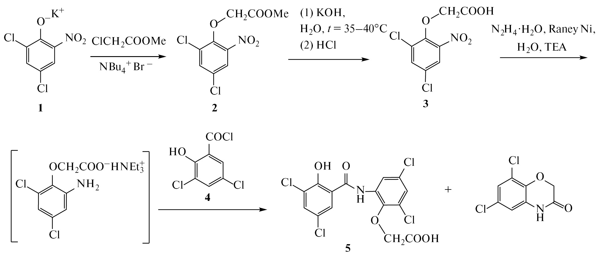
В синтезе целевого салициланилида 5 были использованы 2 пути, в которых исходным реагентом выступал 2-нитро-4,6-дихлорфенолят калия (1). Соединение 1 алкилировали избытком метилхлорацетата (схема 1) при температуре кипения реакционной массы (128–130˚С). Оказалось, что реакция завершается в 2 раза быстрее (в течение 6 ч), чем ранее проведенная реакция с его изомером – 4-нитро-2,6-дихлорфенолятом калия [11] (в течение 12 ч). Более высокую реакционную способность нитрофенолята 1 можно объяснить меньшим электроноакцепторным действием нитрогруппы в орто-положении в результате нарушения копланарности с бензольным кольцом. Реакция алкилирования сильно ускоряется межфазными катализаторами, например в присутствии 2 мол. % бромида тетрабутиламмония она завершается в течение 40 мин. После отгонки избытка метилхлорацетата и кристаллизации из водного этанола метиловый эфир 2 был получен с выходом 92–94%.
Метиловый эфир 2 гидролизовали водным раствором KOH (схема 1) при 40–45 °С в течение 20 мин, полученный раствор подкисляли HCl до pH 1.0 и получали нитрокислоту 3 с выходом 92–94%, температура плавления которой совпадает с температурой плавления из литературы [12] (спектральные данные в литературе отсутствуют).
Схема 1
При выборе реагента для восстановления нитрокислоты 3 мы предполагали, что неустойчивая 2-амино-4,6-дихлорфеноксиуксусная кислота будет легко циклизоваться с образованием ранее описанного 6,8-дихлор-2Н-1,4-бензоксазин-3(4Н)-она [12], поэтому восстановление нитрогруппы проводили в щелочной среде. Нитрокислоту 3 растворяли в водном растворе триэтиламина и обрабатывали гидразингидратом с использованием скелетного никелевого катализатора (никеля Ренея) при 45–50˚С (схема 2). После отделения катализатора раствор триэтиламмониевой соли 2-амино-4,6-дихлорфеноксиуксусной кислоты концентрировали в вакууме и использовали для ацилирования 2-гидрокси-3,5-дихлорбензоилхлоридом 4.
Схема 2
При получении хлорангидрида 4 мы ориентировались на методики из литературы [13, 14], в которых 3,5-дихлорсалициловую кислоту обрабатывают избытком хлористого тионила в присутствии инертных растворителей (толуола, дихлорметана или хлороформа) при температуре от 40 до 90˚С. Однако эксперименты, проведенные при температуре 40˚С, показали, что реакция протекала слишком медленно (более 4 ч). Поэтому была предложена модификация, в которой 3,5-дихлорсалициловую кислоту обрабатывали 3-кратным количеством тионилхлорида без растворителя при 55–60˚С в течение не более 15–20 мин. Увеличение выдержки до 4–5 ч при данной температуре, как показано нами ранее [11], способствует межмолекулярному самоацилированию 2-гидрокси-3,5-дихлорбензоилхлорида (4) и полному превращению его в 2-[(3,5-дихлор-2-гидроксибензоил)окси]-3,5-дихлорбензойную кислоту.
Далее свежеприготовленный 2-гидрокси-3,5-дихлорбензоилхлорид (4) прибавляли к сконцентрированному раствору триэтиламмониевой соли 2-амино-4,6-дихлорфенокси-уксусной кислоты с добавлением ацетонитрила при 0˚С. Реакционную массу разбавляли водой, достигали значений рН 6.0–7.0 добавлением KHCO3 и выделяли с выходом 60–65% побочный продукт 6,8-дихлор-2Н-1,4-бензоксазин-3(4Н)-он, который нерастворим в слабощелочной среде. Его спектр ЯМР 1H содержит 2 дублетных сигнала бензольного кольца при 6.87 и 7.21 м.д., синглет метиленовой группы при 4.73 м.д. и синглет амидного протона при 11.00 м.д., а температура плавления 266–267˚С совпадает с приведенной в литературе (т.пл. 268˚С [12]). Далее из полу-ченного фильтрата выделяли салициланилид 5 в виде осадка, доводя c помощью HCl значение pH раствора до 1.0, однако, к сожалению, после очистки из этилацетата выход соединения 5 не превышает 20%.
Согласно литературным данным, N,N-диалкиламиды 2-аминофеноксиуксусной кислоты более устойчивы в реакции внутримолекулярного самоацилирования [15, 16]. Поэтому для повышения выхода целевого салициланилида 5 мы предварительно защищали карбоксильную группу нитрокислоты 3, переводя ее в N,N-диметиламид. Для этого использовали второй путь синтеза (схема 2), в котором метиловый эфир 2 обрабатывали метанольным раствором диметиламина при комнатной температуре, и после отгонки растворителя и очистки из водного этанола нитро-N,N-диметиламид 6 получали с выходом 85%. Далее проводили восстановление нитрогруппы соединения 6 гидразингидратом в этаноле с использованием никеля Ренея. Полное восстановление до амина происходило при температуре не менее 50–55˚С, реакция сопровождалась заметной внутримолекулярной циклизацией амино-N,N-диметиламида 7 в побочный продукт 6,8-дихлор-2Н-1,4-бензоксазин-3(4Н)-он, и поэтому выход амино-N,N-диметиламида 7 составил только 58%. Более подходящим методом оказалось восстановление цинковой пылью в смеси соляной кислоты и этанола, которое легко протекает при комнатной температуре, и в результате амино-N,N-диметиламид 7 был получен с более высоким выходом 91%. Амино-N,N-диметиламид 7 ацилировали 2-гидрокси-3,5-дихлорбензоилхлоридом (4) в среде ацетонитрила с использованием в качестве акцептора протонов триэтиламина. Выход салициланилида 8 составил 84%. Соединение 8 является N,N-диметиламидом целевого салициланилида 5.
Установлено, что N,N-диметиламидная группа соединения 8 избирательно гидролизуется метанольным раствором KOH при 60–65˚С, что позволяет получить целевой салициланилид 5 с хорошим выходом. При этом не затрагивается амидная связь анилида, что можно объяснить снижением положительного заряда на карбонильном атоме углерода остатка 3,5-дихлорсалициловой кислоты вследствие ионизации фенольной группы в щелочной среде, а также пространственными препятствиями.
Метиловый эфир 2 и амиды 5–8 ранее не были описаны, а для нитрокислоты 3 в литературе отсутствуют спектральные данные. Строение этих веществ было доказано с использованием спектроскопии ИК, ЯМР 1Н и 13С, состав определен с помощью элементного анализа. В спектрах ЯМР 1H соединений 2, 3, 5–8 имеются синглетные сигналы протонов метиленовой группы в области 4.73–5.06 м.д., а в спектре метилового эфира 2 – также синглетный сигнал протонов метоксигруппы при 3.70 м.д. В спектрах ЯМР 1Н амидов 6–8 присутствуют 2 синглетных сигнала диметиламиногруппы в области 2.80–2.94 м.д., а в спектре амино-N,N-диметиламида 7 – синглет протонов аминогруппы при 6.09 м.д. В спектре ЯМР 1Н салициланилида 5 протоны амидной, фенольной и карбоксильной групп образуют единый сильно уширенный сигнал в области 10.50–13.00 м.д. Синглетный сигнал протона амидной группы салициланилида 8 находится в более слабом поле (12.29 м.д.) по сравнению с соответствующим сигналом в области 10.70–11.05 м.д. в спектрах ранее синтезированных салициланидидов [11] (рисунок). Согласно литературным данным [17], химический сдвиг амидного протона некоторых салициланилидов в спектрах ЯМР 1Н может находиться в более слабом поле благодаря наличию внутримолекулярных водородных связей, в том числе с заместителем в орто-положении анилинового фрагмента. Конформация соединений 5 и 8, полученная нами в результате моделирования с использованием программы Chem3D из пакета ChemOffice, показала возможность образования водородных связей амидного протона не только с атомами кислорода фенольной и алкоксигруппы, но и алифатической карбонильной группы.
Спектры ЯМР 13С соединений 5–8 имеют сигналы атомов углерода одной или 2 амидных групп в области 165.6–169.5 м.д., а спектры нитрокислоты 3 и салициланилида 5 – сигнал углерода карбоксильной группы в области 169.2–172.0 м.д.
Для ИК спектра метилового эфира 2 наиболее характерна полоса валентных колебаний C=O сложноэфирной группы при 1760 см–1. Наличие карбоксильной группы в соединениях 3 и 5 подтверждается присутствием в их спектрах полосы поглощения в области 1708–1729 см–1, соответствующей валентным колебаниям связи C=O. В ИК спектрах соединений 5–8 присутствуют полосы валентных колебаний C=O амидных групп в области 1636–1658 см–1.
ЭКСПЕРИМЕНТАЛЬНАЯ ЧАСТЬ
Спектры ЯМР 1Н и 13С регистрировали на спектрометре Bruker AVANCE-400 (Германия) с рабочей частотой 400 и 100 МГц для ядер 1Н и 13С соответственно. В качестве растворителя использовали ДМСО-d6, сигналы которого служили внутренним стандартом. Элементный анализ проводили на приборе Vario EL cube (Германия). ИК спектры регистрировали в таблетках KBr на приборе Perkin Elmer Spectrum 3 FT-IR (США). Индивидуальность синтезированных соединений и полноту прохождения реакций устанавливали с помощью ТСХ на пластинах Silicagel 60 F254 (Merck, Германия), элюенты дихлорметан–уксусная кислота (50 : 1), этилацетат–уксусная кислота (50 : 1), детекция в УФ свете. Температуру плавления определяли на приборе EZ-Melt MPA-120 (Stanford Research Systems, США). 2-Нитро-4,6-дихлорфенолят калия получали обработкой 2-нитро-4,6-дихлорфенола (Alfa Aesar, >98%) водным раствором KOH [18]. Скелетный никелевый катализатор получали выщелачиванием никель-алюминиевого сплава (>99.9%, АО «Тулачермет») 20%-ным раствором NaOH при 50˚С [19]. Коммерческий метилхлорацетат (Alfa Aesar, >99%) очищали перегонкой над безводным Na2CO3.
Метил-2-нитро-4,6-дихлорфеноксиацетат (2). Смесь 12.3 г (50 ммоль) 2-нитро-4,6-дихлорфенолята калия (1), 22 мл (0.25 моль) метилхлорацетата и 0.32 г (1 ммоль) бромида тетрабутиламмония кипятили при перемешивании в течение 40 мин (контроль ТСХ). Избыток метилхлорацетата отгоняли в вакууме, остаток перемешивали с раствором 0.69 г (5 ммоль) K2CO3 в 50 мл 40%-ного водного этанола, выпавший осадок отфильтровывали и сушили на воздухе. Выход 12.9 г (92 %), т.пл. 53–54˚С (петролейный эфир). ИК спектр, ν, см–1: 1759 с (С=О), 1535 с, 1343 ср (NO2). Спектр ЯМР 1Н, δ, м.д.: 3.70 с (3Н, СН3), 4.85 с (2Н, СН2), 8.10 д.д (2Н, Н3аром, Н5аром). Спектр ЯМР 13С, δ, м.д.: 52.5 (СН3), 70.6 (СН2), 124.4, 129.6, 130.4, 134.9, 145.7, 146.4 (Саром), 168.3 (COэфир). Найдено, %: С 38.55; Н 2.48; N 4.93. С9Н7Cl2NO5. Вычислено, %: С 38.60; Н 2.52; N 5.00.
2-Нитро-4,6-дихлорфеноксиуксусная кислота (3). Мелкоизмельченный метиловый эфир 2 (1.3 г, 4.6 ммоль) интенсивно перемешивали с 9 мл 1 н. водного раствора (9.2 ммоль) KOH при 35-40 °С в течение 15–20 мин. Реакционную массу разбавляли 10 мл H2O, отфильтровывали и подкисляли HCl до рН 1.0, выпавший осадок отфильтровывали, промывали H2O и сушили на воздухе. Выход 1.1 г (93%), светло-желтый кристаллический порошок, т.пл. 128–129˚С (толуол) (128.0–128.5˚С [12]). ИК спектр, ν, см–1: 1728 с (С=О), 1710 с (С=О), 1524 с, 1344 ср (NO2). Спектр ЯМР 1Н, δ, м.д.: 4.73 с (2Н, СН2), 8.09 с (2Н, Н3аром, Н5аром), 13.14 уш.с (1Н, СООН). Спектр ЯМР 13С, δ, м.д.: 70.4 (СН2), 124.4 (2Саром), 130.4 (Саром), 134.8 (Саром), 145.8 (Саром), 146.5 (Саром), 169.2 (COОН).
3,5-Дихлорсалициловая кислота. К смеси 13.8 г (0.1 моль) салициловой кислоты, 43 мл (0.5 моль) концентрированной соляной кислоты и 60 мл уксусной кислоты при перемешивании в течение 2 ч прикапывали 18.4 мл (0.25 моль) 40%-ного раствора H2O2, поддерживая температуру реакционной массы в пределах 35–40˚С, и продолжали выдержку в тех же условиях еще в течение 1 ч. Выделившийся в результате хлорирования осадок отфильтровывали, промывали 60 мл 50%-ной уксусной кислоты и 150 мл воды, сушили при 100°С и кристаллизовали из бутилацетата. Выход 16.1 г (78%), т.пл. 222–223˚С (222˚С [20]). Спектр ЯМР 1Н, δ, м.д.: 7.72 с (1Н, Н4аром), 7.81 (1Н, Н6аром).
2-Гидрокси-3,5-дихлорбензоилхлорид (4). Смесь 1.4 г (6.5 ммоль) 3,5-дихлорсалициловой кислоты, 0.1 мл ДМФА и 1.5 мл (20 ммоль) тионилхлорида перемешивали при температуре 55–60˚С в течение 20 мин, при этом исходная кислота полностью растворялась и прекращалось выделение HCl и SO2. Избыток тионилхлорида отгоняли в вакууме при комнатной температуре, полученный хлорангидрид использовали свежеприготовленным. Выход 1.4 г (95%), т.пл. 77–80˚С (разл.). Спектр ЯМР 1Н, δ, м. д.: 9.92 уш.с (1Н, OHфенол), 7.68 с (1Н, Н4аром), 7.98 с (1Н, Н6аром).
[2,4-Дихлор-6-(3,5-дихлор-2-гидроксибензамидо)фенокси]уксусная кислота (5). Нитрокислоту 3 (1.4 г, 5 ммоль) растворяли в смеси 0.7 мл (5 ммоль) TEA и 12 мл H2O, прибавляли 0.5 г свежеприготовленного никеля Ренея и постепенно прибавляли по каплям при перемешивании 0.75 мл (15 ммоль) N2H4∙H2O, поддерживая температуру на уровне 45–50˚С. Реакцию проводили до прекращения газовыделения, катализатор отделяли, фильтрат концентрировали в вакууме при температуре не более 40˚С. Остаток перемешивали с 7 мл MeCN, охлаждали до 0˚С и прибавляли 1.4 г (6 ммоль) свежеприготовленного 2-гидрокси-3,5-дихлорбензоилхлорида (4), затем через 15–20 мин добавляли по каплям 0.7 мл (5 ммоль) TEA. Через 2 ч отгоняли в вакууме 2/3 растворителя, прибавляли 15 мл H2O, доводили значение рН до 7.0–8.0 с помощью KHCO3, отфильтровывали осадок побочного продукта, фильтрат подкисляли HCl до рН 1.0, выпавший осадок кристаллизовали из EtOAc и сушили в вакууме. Выход 0.4 г (17%), белые игольчатые кристаллы т.пл. 238–240˚С (EtOAc). ИК спектр, ν, см–1: 1718 с (С=Окислота), 1638 с (С=Оамид), 1580 с (NHамид). Спектр ЯМР 1Н, δ, м.д.: 4.76 с (2Н, СН2), 7.50 д (1Н, Н3’аром, 4J 2.5 Гц), 7.83 д (1Н, Н4 аром, 4J 2.5 Гц), 7.96 д (1Н, Н5’аром, 4J 2.5 Гц), 8.20 д (2Н, Н6аром, 4J 2.5 Гц), 10.5-11.4 уш.с (1Н, CONH; 1Н, НОфенол; 1Н, СООН). Спектр ЯМР 13С, δ, м.д.: 65.7 (СН2), 120.7, 121.5, 123.3, 123.6, 125.8, 127.6, 127.7, 129.1, 133.6, 133.7, 145.3, 153.9 (Саром), 165.6 (CONH), 172.0 (COOH). Масс-спектр (ESI), m/z: 423,9162 [M-H]- (вычислено для С15Н9Cl4NO5: 423.9156). Найдено, %: С 42.34; Н 2.14; N 3.34. С15Н9Cl4NO5. Вычислено, %: С 42.39; Н 2.13; N 3.30.
2-(2-Нитро-4,6-дихлорфенокси)-N,N-диметилацетамид (6). Метиловый эфир 2 (12.9 г, 46 ммоль) перемешивали с 28 мл 5 н. раствора (138 ммоль) диметиламина в MeOH при комнатной температуре в течение 3 ч. Избыток диметиламина и растворитель отгоняли в вакууме, остаток перемешивали с 100 мл 40%-ного водного EtOH, отфильтровывали выпавший осадок и сушили на воздухе. Выход 11.5 г (85%), светло-желтые иглы, т.пл. 87–88˚С (водный EtOH). ИК спектр, ν, см–1: 1659 с (С=О), 1534 с (NO2), 1350 с (NO2). Спектр ЯМР 1Н, δ, м.д.: 2.80 с (3H, N–CH3), 2.90 с (3H, N–CH3), 4.93 с (2Н, СН2), 8.10 д.д (2Н, Наром). Спектр ЯМР 13С, δ, м.д.: 34.8 (NCH3), 35.4 (N–CH3), 71.0 (СН2), 123.8, 128.5, 129.6, 134.2, 145.6, 146.6 (Саром), 166.0 (CON(CH3)2). Найдено, %: С 41.03; Н 3.49; N 9.51. С10Н10Cl2N2O4. Вычислено, %: С 40.98; Н 3.44; N 9.56.
2-(2-Амино-4,6-дихлорфенокси)-N,N-диметилацетамид (7). Соединение 6 (11.5 г, 39 ммоль) смешивали с 80 мл EtOH, при температуре не выше 20˚С и перемешивании прибавляли 50 мл (0.585 моль) 37% HCl и затем небольшими порциями 10.4 г (0.156 моль) цинковой пыли, после чего перемешивали смесь в течение 1 ч при комнатной температуре. По окончании реакции прибавляли 50 мл (0.66 моль) 25% раствора NH3, экстрагировали дихлорметаном (2х 60 мл), органический слой промывали водой и отгоняли дихлорметан, остаток кристаллизовали из водного EtOH. Выход 9.3 г (91%), белые иглы, т.пл. 104–105°С (разл.) (водный EtOH). ИК спектр, ν, см–1: 3402 ср (N–H), 1636 с (C=O), 1614 c (NH). Спектр ЯМР 1Н, δ, м.д.: 2.87 с (3H, N–CH3), 2.89 с (3H, N–CH3), 4.69 с (2Н, СН2), 6.09 с (2Н, NH2), 6.61 д (1Н, Наром, 4J 2.5 Гц), 6.65 д (1Н, Наром, 4J 2.5 Гц). Спектр ЯМР 13С, δ, м.д.: 35.1, 35.2 (N–CH3), 70.8 (СН2), 112.7, 114.5, 127.4, 128.9, 140.9, 144.9 (Саром), 168.6 (CON(CH3)2). Найдено, %: С 45.60; Н 4.57; N 10.68. С10Н12Cl2N2O2. Вычислено, %: С 45.65; Н 4.60; N 10.65.
3,5-Дихлор-N-{2-[2-(диметиламино)-2-оксоэтокси]фенил}-2-гидроксибензамид (8). К раствору 2.6 г (10 ммоль) соединения 7 в 25 мл MeCN при комнатной температуре прибавляли 2.3 г (10 ммоль) свежеприготовленного 2-гидрокси-3,5-дихлорбензоилхлорида (4). Через 20 мин медленно прибавляли смесь 1.4 мл (10 ммоль) TEA и 5 мл MeCN при комнатной температуре. По окончании реакции отгоняли в вакууме 2/3 растворителя, прибавляли 10 мл H2O, достигали значений рН 7.0–8.0 с помощью KHCO3. Осадок отфильтровывали, промывали EtOH и сушили на воздухе. Выход 3.2 г (84%), белые иглы, т.пл. 233–234˚С (EtOH). ИК спектр, ν, см–1: 1658 с (С=О). Спектр ЯМР 1Н, δ, м.д.: 2.91 с (3H, N–CH3), 2.94 с (3H, N–CH3), 5.06 с (2Н, СН2), 7.53 д (1Н, Наром), 7.86 д (1Н, Наром), 8.15 д (1Н, Наром, 4J 2.5 Гц), 8.37 д (1Н, Наром, 4J 2.5 Гц), 12.29 с (1Н, NHамид), 12.53 уш.с (1Н, ОН). Спектр ЯМР 13С, δ, м. д.: 35.2 (N–CH3), 35.3 (N–CH3), 71.9 (СН2), 117.9, 121.2, 122.5, 122.7, 125.3, 126.5, 127.6, 128.4, 133.1, 133.5, 145.5, 155.1 (Саром), 166.8 (CONH), 169.5 (CON(CH3)2). Найдено, %: С 45.11; Н 3.15; N 6.24. С17Н14Cl4N2O4. Вычислено, %: С 45.16; Н 3.12; N 6.20.
[2,4-Дихлор-6-(3,5-дихлор-2-гидроксибензамидо)фенокси]уксусная кислота (5). К 3.2 г (8.4 ммоль) соединения 8 прибавляли 10 мл MeOH и 2.8 г (42 ммоль) KOH, перемешивали при 60–65˚С в течение 3 ч. По окончании гидролиза реакционную массу обрабатывали 15 мл H2O и 0.3 г активированного угля, фильтровали и подкисляли HCl до рН 1.0, выпавший салициланилид 5 отфильтровывали и сушили на воздухе.
Выход 3.1 г (87%), белые иглы, т.пл. 237–239˚С (EtOAc). Спектральные данные аналогичны описанным выше. Найдено, %: С 42.43; Н 2.17; N 3.28. С15Н9Cl4NO5. Вычислено, %: С 42.39; Н 2.13; N 3.30.
ЗАКЛЮЧЕНИЕ
Таким образом, [2,4-дихлор-6-(3,5-дихлор-2-гидроксибензамидо)фенокси]уксусная кислота была синтезирована с применением 2 схем. Восстановление 2-нитро-4,6-дихлорфеноксиуксусной кислоты в щелочной среде и ацилирование 2-гидрокси-3,5-дихлорбензоилхлоридом дает выход целевого салициланилида не более 20% в результате преимущественного внутримолекулярного самоацилирования 2-амино-4,6-дихлорфеноксиуксусной кислоты. Использование ее N,N-диметиламида позволяет получить целевой салициланилид с более высоким выходом. В ходе работы получены и охарактеризованы несколько новых соединений.
КОНФЛИКТ ИНТЕРЕСОВ
Авторы заявляют об отсутствии конфликта интересов.
Об авторах
Владимир Геннадьевич Дударев
Санкт-Петербургский государственный химико-фармацевтический университет
Автор, ответственный за переписку.
Email: vladimir.dudarev@pharminnotech.com
ORCID iD: 0000-0002-8003-3173
Россия, 197376 Санкт-Петербург, ул. Профессора Попова, 14
М. И. Васендин
Санкт-Петербургский государственный химико-фармацевтический университет
Email: vladimir.dudarev@pharminnotech.com
Россия, 197376 Санкт-Петербург, ул. Профессора Попова, 14
Андрей Вадимович Москвин
Санкт-Петербургский государственный химико-фармацевтический университет
Email: vladimir.dudarev@pharminnotech.com
ORCID iD: 0000-0002-4335-9385
Россия, 197376 Санкт-Петербург, ул. Профессора Попова, 14
Список литературы
- Deng W., Guo Z., Guo Y., Feng Z., Jiang Y., Chu F. Bioorg. Med. Chem. Lett. 2006, 16, 469. doi: 10.1016/j.bmcl.2005.06.088
- Gargantilla M., Persoons L., Kauerová T., del Río N., Daelemans D., Priego E.-M., Kollar P., Pérez-Pérez M.-J. Pharmaceuticals. 2022, 15, 835. doi: 10.3390/ph15070835
- Steffen J. D., Coyle D. L., Damodaran K., Beroza P., Jacobson M. K. J. Med. Chem. 2011, 54, 5403. doi: 10.1021/jm200325s
- Brown M.E., Fitzner J.N., Stevens T., Chin W., Wright C.D., Boyce J.P. Bioorg. Med. Chem. 2008, 16, 8760. doi: 10.1016/j.bmc.2008.07.024
- Imramovský A., Pauk K., Pejchal V., Hanusek J. Mini-Rev. Org. Chem. 2011, 8, 211. doi: 10.2174/157019311795177808
- Patel E.N., Lin L., Sneller M.M., Eubanks L.M., Tepp W.H., Pellett S., Janda K.D. ACS Infect. Dis. 2022, 8, 1637. doi: 10.1021/acsinfecdis.2c00230
- Blake S., Shaabani N., Eubanks L.M., Maruyama J., Manning J.T., Beutler N., Paessler S., Ji H., Teijaro J.R., Janda K.D. ACS Infect. Dis. 2021, 7, 2229. doi: 10.1021/acsinfecdis.1c00253
- Krátký M. and Vinšová J. Mini-Rev. Med. Chem. 2011, 11, 956. doi: 10.2174/138955711797068382
- Xu J., Xue Y., Bolinger A.A.., Li J., Zhou M., Chen H., Li H., Zhou J. Med. Res. Rev. 2023, 43, 897. doi: 10.1002/med.21940
- Августинович Д.Ф., Вишнивецкая Г.Б., Пирожкова Д.С., Цыганов М.А., Вавилин В.А., Пахарукова М.Ю., Шилов А.Г., Дударев В.Г., Мордвинов В.А. Сиб. науч. мед. ж. 2017, 37, 17.
- Дударев В.Г., Васендин М.И., Москвин А.В., Лисовский Д.С., Колотилова Н.В., Лалаев Б.Ю. ЖОХ. 2023, 93, 1822. doi: 10.31857/S0044460X23120028 [Dudarev V.G., Vasen-din M.I., Moskvin A.V., Lysovsky D.S., Kolotilova N.V., Lalaev B.Y. Russ. J. Gen. Chem. 2023, 93. 3034.] doi: 10.1134/S1070363223120022
- Cavill G.W.K., Ford, D.L. J. Chem. Soc. 1954, 565. doi : 10.1039/JR9540000565
- Sartori E., Maillet M., France Paugam M., Nicolai E., Lawrence M. Пат. 2005/0124664 A1 (2005). США. CA 2005.
- Liu Y., Donner P.L., Pratt J.K., Jiang W.W., Ng T., Gracias V., Baumeister S., Wiedeman P. E., Traphagen L., Warrior U., Maring C., Kati W.M, Djuric S.W., Molla A. Bioorg. Med. Chem. Lett. 2008, 18, 3173. doi: 10.1016/j.bmcl.2008.04.068
- Nitta A., Iura Y., Inoue H., Sato I., Morihira K., Kubta H., Morokata T., Takeuchi M., Ohta M., Tsukamoto S., Imaoka T., Takahashi T. Bioorg. Med. Chem. Lett. 2012, 22, 6876. doi: 10.1016/j.bmcl.2012.09.035
- Seidenfaden W., Albert H. Пат. 867244 (1953). ГДР. CA 1953.
- Suezawa H., Hirota M., Yuzuri T., Hamada Y., Takeuchi I., Suigura M. Bull. Chem. Soc. Jpn. 2000, 73, 2335. doi: 10.1246/bcsj.73.2335
- Vasiliev A.D., Solovyov L.A. Acta Cryst. 1999. C55, IUC9900004. doi: 10.1107/S0108270199099904
- Zhang J. J. Mater. Sci. 2019, 54, 14197. doi: 10.1007/s10853-019-03864-3
- Sharma S.K. Res. J. Chem. Sci. 2015, 5, 54-73.





