Влияние внешнего магнитного поля на плотность тока в фотонном кристалле из примесных углеродных нанотрубок под действием лазерного импульса
- Авторы: Двужилова Ю.В.1, Двужилов И.С.1, Кистенев Ю.В.2
-
Учреждения:
- Федеральное государственное автономное образовательное учреждение высшего образования «Волгоградский государственный университет»
- Федеральное государственное автономное образовательное учреждение высшего образования «Национальный исследовательский Томский государственный университет»
- Выпуск: Том 88, № 12 (2024)
- Страницы: 1887-1891
- Раздел: Нанооптика, фотоника и когерентная спектроскопия
- URL: https://ogarev-online.ru/0367-6765/article/view/286478
- DOI: https://doi.org/10.31857/S0367676524120071
- EDN: https://elibrary.ru/EWREQU
- ID: 286478
Цитировать
Полный текст
Аннотация
Построена теоретическая модель взаимодействия фотонного кристалла из полупроводниковых углеродных нанотрубок и трехмерного предельно короткого лазерного импульса, в присутствии внешнего магнитного поля. На основании численного моделирования показаны картины временной эволюции плотности тока в среде углеродных нанотрубок с многоуровневой примесью. Установлены зависимости формы плотности тока от значений внешнего магнитного поля и от интегралов перескока между примесными уровнями.
Полный текст
Введение
Интерес к периодическим структурам с фотонной запрещенной зоной, называемых фотонными кристаллами, появился еще в середине 1980-х годов, начиная с пионерских работ Е. Яблоновича [1] и С. Джона [2]. Рассматривается одномерный фотонный кристалл, приближенный к реальным условиям [3], что открывает возможности дальнейшего использования расчетов для выполнения экспериментальных исследований и в наукоемком производстве. Неидеальность фотонного кристалла может быть обусловлена наличием многоуровневой примеси в структуре углеродных нанотрубок (УНТ). Под многоуровневой примесью будем понимать примесь с несколькими энергетическими уровнями, которые лежат выше уровня Ферми [4]. Такие примеси способны оказывать существенное влияние на электронную структуру вещества и тем самым вызывать изменения свойств полупроводников [5, 6]. Отметим, что исследования динамики предельно коротких оптических импульсов в нелинейном периодическом массиве УНТ с примесью показаны в работе [7]. Под предельно короткими лазерными импульсами (ПКИ) понимаются солитоноподобные импульсы, содержащие менее 5 периодов колебаний электромагнитного поля [8—11] (например, в работе [11] показаны различные методы генерации ПКИ). Отметим, что для стандартных титан-сапфировых лазеров длительность импульса составляет 10—30 фс. Исследование эволюции плотности тока в фотонном кристалле на основе УНТ под действием ультракороткого лазерного импульса были показаны в работе [12]. Обозначенная актуальность исследований взаимодействия коротковолновых фемтосекундных импульсов с фотонными кристаллами и послужили стимулом для данной работы.
Основные уравнения
Геометрия задачи имеет следующий вид: направление распространения лазерного импульса совпадает с осью, вдоль которой имеется модуляция показателя преломления одномерного фотонного кристалла (ось oz), ток, возникающий в среде, электрическое поле импульса и внешнее магнитное поле направлены вдоль оси нанотрубок (┴ oz).
Отметим, что в данной задаче можно считать, что ток распределен равномерно и использовать приближение сплошной среды. Это справедливо, поскольку, размер области локализации импульса существенно превосходит размеры нанотрубок и расстояние между ними.
Матричная форма гамильтониана, с использованием структуры блочных матриц, рассматриваемой задачи в рамках нашей модели имеет вид [13]:
,
, ,
, , (1)
где – энергетический спектр УНТ, ti — величина уровня энергии примеси, — интегралы перескока между примесными уровнями и подрешетками УНТ. Далее, используя длинноволновое приближение, запишем эффективный Гамильтониан задачи [13]:
. (2)
Cобственные значения Гамильтониана (2):
, (3)
где коэффициенты зависят от интегралов перескока между примесными уровнями и подрешетками УНТ, — закон дисперсии π-электронов в зоне проводимости УНТ [14], который в присутствии внешнего магнитного поля, направленного параллельно оси нанотрубки, имеет вид:
(4)
— постоянная решетки углеродной нанотрубки, — магнитный поток через поперечное сечение трубки (Φ0 = ћc/e, где – скорость света, – заряд электрона), m — количество гексагонов по периметру нанотрубки, значение меняется от 1 до m. Более подробное объяснение математической модели, описывающей взаимодействие ПКИ с УНТ, в присутствии многоуровневой примеси, показано в работах [15, 16].
Для определения временной эволюции плотности тока в фотонном кристалле построим уравнение на вектор-потенциал трехмерного лазерного импульса:
(5)
здесь — периодический показатель преломления среды, т. е. фотонный кристалл, — скорость света. Вектор-потенциал имеет вид: , плотность электрического тока: . Выбор цилиндрической системы координат оправдан тем, что в задаче наблюдается цилиндрическая симметрия и производной по углу можно пренебречь, что детально показано в [17].
Выражение для плотности тока имеет вид:
(6)
где q — заряд, F — функция распределения, которая подчиняется кинетическому уравнению Больцмана и в нулевой момент времени совпадает с функцией распределения Ферми F0. Отметим, что в расчетах мы выбирали собственные значения эффективного Гамильтониана (2), соответствующие верхней зоне проводимости. Применив метод характеристик [18] для выражения (6), получим:
(7)
где ZB — первая зона Бриллюэна. Более детальный вывод для выражения плотности тока можно найти, например, в [19].
Начальные условия на вектор-потенциал выбирались в виде функции Гаусса, а показатель преломления фотонного кристалла моделировался в виде:
(8)
здесь — глубина модуляции показателя преломления, — период модуляции показателя преломления.
Результаты и их обсуждение
Численное моделирование временной эволюции плотности тока в среде фотонного кристалла на основе примесных УНТ в отсутствии и присутствии внешнего магнитного поля проводилось с помощью прямой конечно-разностной схемы типа «крест» [20], в которой выполняется условие Куранта. Точность решения превышает 0.01 %. При численном моделировании исследуемой системы, ее параметры выбирались следующим образом: = 13, T = 293 K [21], время релаксации в УНТ ≈ 10-11 c, длительность импульса ≈ 10-14 c, ширина импульса вдоль осей координат: — скорость входа ПКИ в среду фотонного кристалла. Параметры модуляции показателя преломления фотонного кристалла задавались следующим образом: глубина модуляции = 0.25, период модуляции = 2.5 мкм.
Картины динамики плотности тока в фотонном кристалле из УНТ, с учетом многоуровневой примеси, под действием лазерного импульса, показаны на рис. 1, отметим, что внешнее магнитное поле при этом отсутствует.
Рис. 1. Эволюция плотности тока в фотонном кристалле с примесными УНТ под действием лазерного импульса в фиксированные момент времени (а). Продольные срезы плотности тока (б).
Обратим внимание, что с течением времени, и прохождении предельно короткого лазерного импульса сквозь среду, ток приобретает кольцевую форму, что начинается с примерно 12 пс, и к 15 пс уже хорошо просматривается. Максимальная плотность тока концентрируется не только в месте расположения импульса, но в его модуляционной части. С течением времени максимальное значение плотности тока увеличивается до определенной величины, а затем перестает изменяться, выходя на плато, это происходит в силу периодичности закона дисперсии электронов.
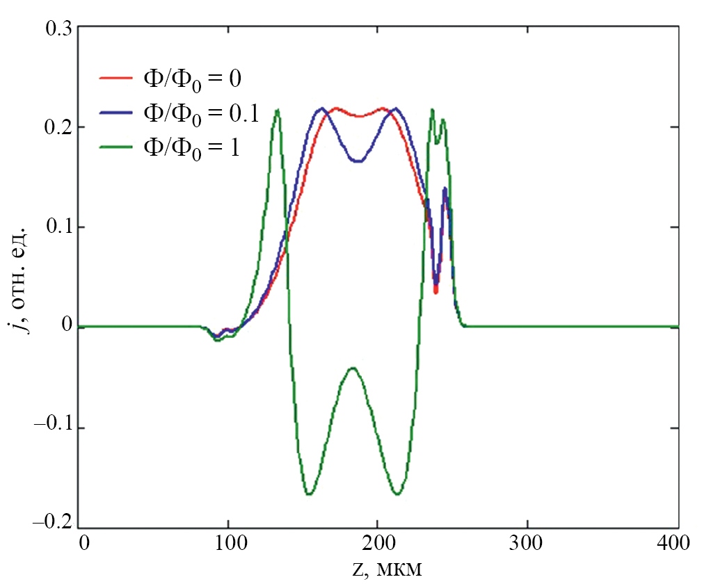
Далее рассмотрим временную эволюцию плотности тока в присутствии внешнего магнитного поля, параллельного оси УНТ (рис. 2). Наличие внешнего магнитного поля существенно меняет картины плотности тока. Так, кольцевая форма тока появляется и отчетливо видна на времени уже в 10 пс. С увеличением величины магнитного поля область максимального тока «раздвигается» в пространстве, при этом увеличивается и ее амплитуда, что более наглядно заметно на рис. 3. Такой эффект вызывает изменение спектра электронов в УНТ. Продольные срезы плотности тока при различных значениях величины внешнего магнитного поля в фиксированный момент времени 10 пс также показаны на рис. 3.
Рис. 2. Эволюция плотности тока в фотонном кристалле с примесными УНТ под действием лазерного импульса, при различных значениях внешнего магнитного поля: Φ/Φ0 = 0.1 (а), 1 (б).
Рис. 3. Продольные срезы плотности тока, в момент времени 10 пс, для различных значений внешнего магнитного поля.
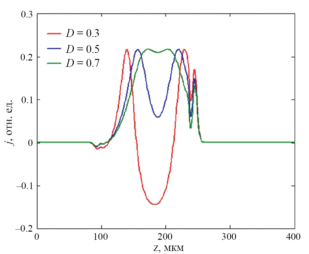
Далее, на рисунке 4 показаны зависимости продольных срезов плотности тока от величины интеграла перескока (параметр ), между примесными уровнями и уровнями УНТ. Параметр влияет на дисперсионное соотношение УНТ, и как следствие, на величину плотности тока. При его увеличении площадь, занимаемой плотности тока уменьшается, а также меняется ее форма, на наш взгляд это связано с тем, что возникает более сильная связь электронов, находящихся в зоне проводимости УНТ, с примесными уровнями.
Рис. 4. Продольные срезы плотности тока, в момент времени 10 пс, для различных значений параметра D.
Заключение
На основании результатов, полученных в рамках данного исследования, можно сделать следующий вывод. Величина внешнего магнитного поля, а также величина интеграла перескока между примесными уровнями и уровнями подрешеток УНТ оказывает существенное влияние на картину распределения плотности тока, такое изменение происходит за счет изменения закона дисперсии электронов в УНТ.
Исследование выполнено при финансовой поддержке Министерства науки и высшего образования Российской Федерации (договор № 075-15-2024-557 от 25.04.2024).
Об авторах
Ю. В. Двужилова
Федеральное государственное автономное образовательное учреждение высшего образования «Волгоградский государственный университет»
Email: dvuzhilov.ilya@volsu.ru
Россия, Волгоград
И. С. Двужилов
Федеральное государственное автономное образовательное учреждение высшего образования «Волгоградский государственный университет»
Автор, ответственный за переписку.
Email: dvuzhilov.ilya@volsu.ru
Россия, Волгоград
Ю. В. Кистенев
Федеральное государственное автономное образовательное учреждение высшего образования «Национальный исследовательский Томский государственный университет»
Email: dvuzhilov.ilya@volsu.ru
Россия, Томск
Список литературы
- Yablonovitch E. // Phys. Rev. Lett. 1987. V. 58. P. 2059.
- John S. // Phys. Rev. Lett. 1987. V. 58. P. 2486.
- Johri M., Ahmed Y.A., Bezboruah T. // Current Sci. 2007. V. 92. P. 1361.
- Hu E.T., Yue G.Q., Zhang R.J. et al. // Renew. Energy. 2015. V. 77. P. 442.
- Mantsevich V.N., Maslova N.S. // Письма в ЖЭТФ. 2010. V. 91. No. 3. P. 150.
- Mantsevich V.N., Maslova N.S. // Solid State Commun. 2010. V. 150. P. 2072.
- Dvuzhilova Yu.V., Dvuzhilov I.S., Konobeeva N.N. et al. // Roman. Rep. Phys. 2023. V. 75. P. 406.
- Fibich G., Ilan. B. // Opt. Letters. 2004. V. 29. No. 8. P. 887.
- Кившарь Ю.С., Агравал Г.П. Оптические солитоны. От световодов к фотонным кристаллам. М.: Физматлит, 2005. 648 с.
- Сазонов С., Халяпин В. Предельно короткие импульсы в анизотропных средах. London: LAMBERT Academic Publishing, 2011. 112 p.
- Архипов Р.М., Архипов М.В., Шимко А.А. и др. // Письма в ЖЭТФ. 2019. Т. 110. № 1. С. 9, Arkhipov R.M., Arkhipov M.V., Shimko A.A. et al. // JETP Lett. 2019. V. 110. No. 1. P. 15.
- Двужилова Ю.В., Двужилов И.С., Конобеева Н.Н. и др. // Изв. РАН. Сер. физ. 2023. Т. 87. № 12. С. 1754, Dvuzhilova Yu.V., Dvuzhilov I.S., Konobeeva N.N. et al. // Bull. Russ. Acad. Sci. Phys. 2023. V. 87. No. 12. P. 1833.
- Cortijo A., Guinea F., Vozmediano M.A.H. // J. Phys. A. Math. Theor. 2012. V. 45. Art. No. 383001.
- Dresselhaus M.S., Dresselhaus G., Eklund P.C. Science of fullerenes and carbon nanotubes. San Diego: Academic Press, 1996. 965 p.
- Zhukov A.V., Bouffanais R., Konobeeva N.N. et al. // Europhys. Lett. 2014. V. 106. P. 37005.
- Konobeeva N.N., Belonenko M.B. // Mod. Phys. Lett. B. 2017. V. 31. No. 2. Art. No. 1750005.
- Zhukov A.V., Bouffanais R., Fedorov E.G. et al. // J. Appl. Phys. 2013. V. 114. P. 143106.
- Волощенко Ю.И., Рыжов Ю.Н., Сотин В.Е. // ЖТФ. 1981. Т. 51. С. 902.
- Белоненко М.Б., Невзорова Ю.В., Двужилов И.С. // Опт. и спектроск. 2017. Т. 123. № 1. С. 116, Belonenko M.B., Nevzorova Yu.V., Dvuzhilov I.S. // Opt. Spectrosc. 2017. V. 123. No. 1. P. 111.
- Bakhvalov N.S. Numerical methods: analysis, algebra, ordinary differential equations. Moscow: Mir, 1997.
- Zhukov A.V., Bouffanais R., Malomed B.A. et al. // Phys. Rev. A. 2016. V. 94. Art. No. 053823.
Дополнительные файлы






