Оседлые и нерезиденты: суточная активность мелких млекопитающих в контрастных биотопах
- Авторы: Калинин А.А.1, Александров Д.Ю.1
-
Учреждения:
- Институт проблем экологии и эволюции им. А.Н. Северцова РАН
- Выпуск: № 5 (2023)
- Страницы: 365-374
- Раздел: Статьи
- URL: https://ogarev-online.ru/0367-0597/article/view/141812
- DOI: https://doi.org/10.31857/S0367059723050050
- EDN: https://elibrary.ru/HKZQIT
- ID: 141812
Цитировать
Полный текст
Аннотация
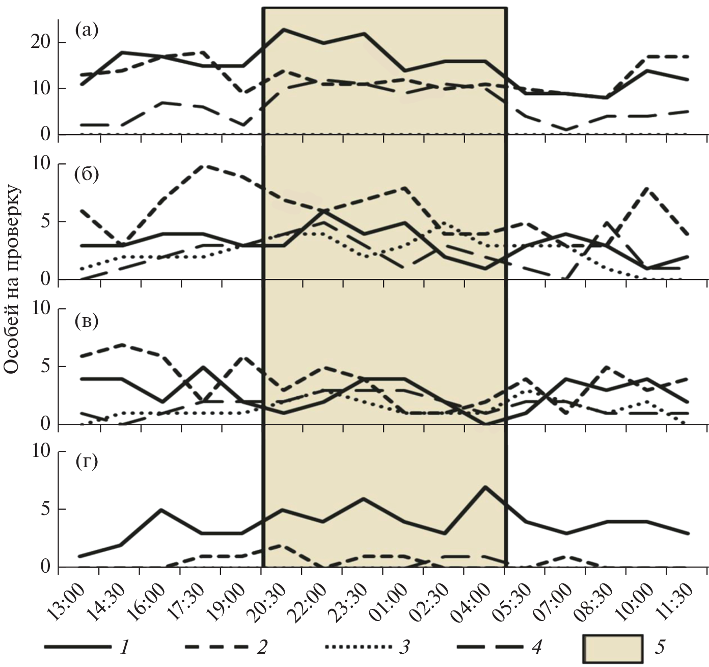
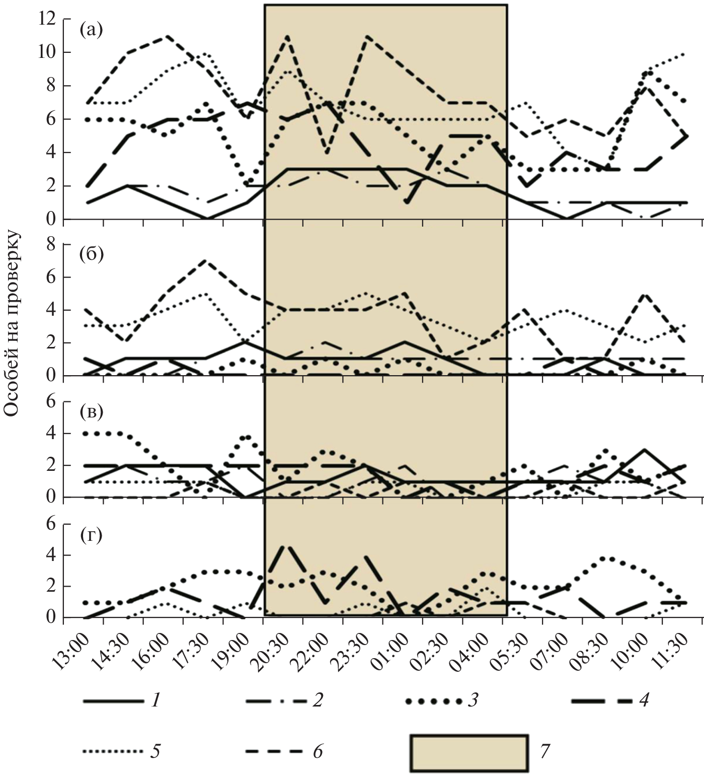
Методом мечения с повторным отловом проведено сравнение суточной активности четырех массовых видов мелких млекопитающих лесной зоны в трех сильно различающихся по своим защитным свойствам биотопах. Линии живоловок были установлены в темнохвойном лесу, на травянистом склоне и вдоль каменистого пляжа по урезу воды на р. Илыч. Оценивали активность оседлых и нерезидентных особей с частотой проверок через 1.5 ч. В лесу для всех видов отмечена полифазная активность без выраженных максимумов, на открытом склоне максимум активности оседлых зверьков приходился на ночь, а на берегу отмечены только нерезидентные зверьки. Нерезидентная активность во всех биотопах смещена на ночное время, при этом в открытых биотопах период активности короче и больше связан с темным временем суток.
Ключевые слова
Об авторах
А. А. Калинин
Институт проблем экологии и эволюции им. А.Н. Северцова РАН
Email: benguan@yandex.ru
Россия, 119071, Москва, ул. Вавилова, 34
Д. Ю. Александров
Институт проблем экологии и эволюции им. А.Н. Северцова РАН
Автор, ответственный за переписку.
Email: benguan@yandex.ru
Россия, 119071, Москва, ул. Вавилова, 34
Список литературы
- Ashby K.R. Patterns of daily activity in mammals // Mammal Rev. 1972. V. 1. № 7–8. P. 171–185. https://doi.org/10.1111/j.1365-2907.1972.tb00088.x
- Roll U., Dayan T., Kronfeld-Schor N. On the role of phylogeny in determining activity patterns of rodents // Evolutionary Ecology. 2006. V. 20. № 5. P. 479–490. http:// www.dx.doi.org/10.1007/s10682-006-0015-y
- Saarikko J., Hanski I. Timing of rest and sleep in foraging shrews // Animal Behaviour. 1990. V. 40. № 5. P. 861–869.https://doi.org/10.1016/S0003-3472(05)80987-X
- Halle S. Polyphasic activity patterns in small mammals // Folia Primatologica. 2006. V. 77. № 1–2. P. 15–26. https://doi.org/10.1159/000089693
- Щипанов Н.А., Калинин А.А., Олейниченко В.Ю. и др. К методике изучения использования пространства землеройками-бурозубками // Зоол. журн. 2000. Т. 79. Вып. 3. С. 362–371.
- Ивантер Э.В., Макаров А.М. Суточная активность и подвижность обыкновенной бурозубки (Sorex araneus L.) // Экология. 2002. № 4. С. 298–303. [Ivanter E.V., Makarov A.M. Daily activity and mobility of the common shrew (Sorex araneus L.) // Russ. J. of Ecology. 2002. V. 33. № 4. P. 280–285.] https://doi.org/10.1023/A:1016224522263
- Сергеев В.Е., Лучникова Е.М. Этолого-биоритмологические факторы организации сообществ землероек // Сиб. экол. журн. 2002. Т. 9. № 6. С. 785–790.
- Rychlik L. Overlap of temporal niches among four sympatric species of shrews // Acta Theriol. 2005. V. 50. № 2. P. 175–188.
- Tavernier R.J., Largen A.L., Bult-Ito A. Circadian organization of a subarctic rodent, the northern red-backed vole (Clethrionomys rutilus) // J. of Biological Rhythms. 2004. V. 19. № 3. P. 238–247. https://doi.org/10.1177/0748730404264200
- Gliwicz J., Dąbrowski M.J. Ecological factors affecting the diel activity of voles in a multi-species community // Annales Zoologici Fennici. 2008. V. 45. № 4. P. 242–247. https://doi.org/10.5735/086.045.0401
- Wasserberg G.P., Kotler B., Abramsky Z. The role of site, habitat, seasonality and competition in determining the nightly activity patterns of psammophilic gerbils in a centrifugally organized community // Oikos. 2006. V. 112. № 3. P. 573–579. https://doi.org/10.1111/j.0030-1299.2006.14302.x
- Pita R., Mira A., Beja P. Circadian activity rhythms in relation to season, sex and interspecific interactions in two Mediterranean voles // Animal Behaviour. 2011. V. 81. № 5. P. 1023–1030. https://doi.org/10.1016/j.anbehav.2011.02.007
- Shuai L.Y., Ren C.L., Cao C. et al. Shifts in activity patterns of Microtus gregalis: a role of competition or temperature? // J. of Mammalogy. 2014. V. 95. № 5. P. 960–967. https://doi.org/10.1644/13-MAMM-A-303
- Ziv Y., Abramsky Z., Kotler B.P. et al. Interference competition and temporal and habitat partitioning in two gerbil species // Oikos. 1993. V. 66. № 2. P. 237–246. https://doi.org/10.2307/3544810
- Тихонов И.А., Тихонова Г.Н., Осипова О.В. Влияние внутри- и межвидовой конкуренции на суточную активность обыкновенной (Microtus arvalis) и восточно-европейской (Microtus rossiaemeridionalis) полевок в условиях эксперимента // Экология. 2009. № 1. С. 60–65. [Tikhonov I.A., Tikhonova G.N., Osipova O.V. Influence of intra- and interspecific competition on daily activity of common (Microtus arvalis) and east European (Microtus rossiaemeridionalis) voles in experiments // Russ. J. of Ecology. 2009. V. 40. № 1. P. 55–60.] https://doi.org/10.1134/S1067413609010093
- Fenn M.G.P., Macdonald D.W. Use of middens by red foxes: risk reverses rhythms of rats // J. of Mammalogy. 1995. V. 76. № 1. P. 130–136. https://doi.org/10.2307/1382321
- Jacob J., Brown J.S. Microhabitat use, giving-up densities and temporal activity as short- and long-term anti-predator behaviors in common voles // Oikos. 2000. V. 91. № 1. P. 131–138. https://doi.org/10.1034/j.1600-0706.2000.910112.x
- Connolly B.M., Orrock J.L. Habitat-specific capture timing of deer mice (Peromyscus maniculatus) suggests that predators structure temporal activity of prey // Ethology. 2018. V. 124. № 2. P. 105–112. https://doi.org/10.1111/eth.12708
- Paise G., Vieira E.M. Daily activity of a neotropical rodent (Oxymycterus nasutus): seasonal changes and influence of environmental factors // J. of Mammalogy. 2006. V. 87. № 4. P. 733–739. https://doi.org/10.1644/05-MAMM-A-158R5.1
- Rotics S., Dayan T., Kronfeld-Schor N. Effect of artificial night lighting on temporally partitioned spiny mice // J. of Mammalogy. 2011. V. 92. № 1. P. 159–168. https://doi.org/10.1644/10-MAMM-A-112.1
- Hoffmann J., Palme R., Eccard J.A. Long-term dim light during nighttime changes activity patterns and space use in experimental small mammal populations // Environmental Pollution. 2018. V. 238. P. 844–851. https://doi.org/10.1016/j.envpol.2018.03.107
- Meijer J.H., Robbers Y. Wheel running in the wild. Proceedings of the Royal Society B: Biological Sciences, 2014. 281(1786):20140210. https://doi.org/10.1098/rspb.2014.0210
- Щипанов Н.А., Купцов А.В. Нерезидентность у мелких млекопитающих и ее роль в функционировании популяции // Успехи соврем. биол. 2004. Вып. 124. № 1. С. 28–43.
- Щипанов Н.А., Купцов А.В., Калинин А.А. и др. Конуса и живоловки ловят разных землероек-бурозубок (Insectivora, Soricidae) // Зоол. журн. 2003. Т. 82. Вып. 10. С. 1258–1265.
- Щипанов Н.А., Купцов А.В., Демидова Т.Б. и др. Нерезидентность и расселение у обыкновенных бурозубок (Sorex araneus, Insectivora) // Зоол. журн. 2008. Т. 87. Вып. 3. С. 331–343.
- Greenwood P.J. Mating systems, philopatry and dispersal in birds and mammals // Animal behaviour. 1980. V. 28. № 4. P. 1140–1162.https://doi.org/10.1016/S0003-3472(80)80103-5
- Matthysen E. Density-dependent dispersal in birds and mammals // Ecography. 2005. V. 28. № 3. P. 403–416.
- Григоркина Е.Б., Оленев Г.В. Дальние перемещения малой лесной мыши (Sylvaemus uralensis, Muridae): скорость и дистанция, выявленные при групповом мечении // Зоол. журн. 2022. Т. 101. Вып. 11. С. 1300–1304. https://doi.org/10.31857/S0044513422110046
- Калинин А.А. Преодоление водных преград мелкими млекопитающими лесной зоны (количественные характеристики) // Зоол. журн. 2022. Т. 101. Вып. 4. С. 461–470. [Kalinin A.A. The traversing of water barriers by small mammals of the forest zone: quantitative characteristics // Biol. Bull. 2022. V. 49. № 9. P. 1543–1551.] https://doi.org/10.31857/S0044513422020040
- Щипанов Н.А. К экологии малой белозубки (Crocidura suaveolens) // Зоол. журн. 1986. Т. 66. Вып. 7. С. 1051–1060.
- Щипанов Н.А., Литвинов Ю.Н., Шефтель Б.И. Экспресс-метод оценки локального биологического разнообразия сообщества мелких млекопитающих // Сиб. экол. журн. 2008. Т. 15. № 5. С. 783–791.
- Калинин А.А. Оседлая и нерезидентная составляющая численности массовых видов мелких млекопитающих по данным учета на линиях живоловок // Зоол. журн. 2012. Т. 91. Вып. 6. С. 759–768.
- Щипанов Н.А. Мечение на линиях живоловок для мониторинга мелких млекопитающих. Способы расчета популяционной плотности и индексов нерезидентности // Зоол. журн. 2020. Т. 99. Вып. 9. С. 1062–1076. https://doi.org/10.31857/S0044513420090159
- Олейниченко В.Ю., Калинин А.А., Купцов А.В. и др. Колебания активности мелких млекопитающих: погодные факторы или случайные процессы? // Бюл. МОИП. 2018. Т. 123. Вып. 6. С. 22–30.
- Hanski I., Peltonen A. Island colonization and peninsulas // Oikos. 1988. V. 51. P. 105–106. https://doi.org/10.2307/3565813
- Ралль Ю.М. Динамическая плотность грызунов и некоторые методы ее изучения // Бюл. МОИП. 1945. Т. 50. Вып. 5–6. С. 62–64.
- Калинин А.А. Плотность оседлого и нерезидентного населения мелких лесных млекопитающих // Зоол. журн. 2023. Т. 102. Вып. 1. С. 106–114.
Дополнительные файлы






