Abundance of Zoobenthos on the Nearshore Slope Near the Rocky Coast of the Island of Valaam (Lake Ladoga)
- Authors: Zuyev Y.A.1,2, Zueva N.V.2
-
Affiliations:
- St. Petersburg branch of Russian Federal Research Institute of Fisheries and Oceanography “VNIRO” (“GosNIORKH” named after L.S. Berg”)
- Russian State Hydrometeorological University
- Issue: Vol 17, No 2 (2024)
- Pages: 243-255
- Section: ЗООПЛАНКТОН, ЗООБЕНТОС, ЗООПЕРИФИТОН
- URL: https://ogarev-online.ru/0320-9652/article/view/262095
- DOI: https://doi.org/10.31857/S0320965224020034
- EDN: https://elibrary.ru/xtusbi
- ID: 262095
Cite item
Full Text
Abstract
The bottom communities of a nearshore zone of Valaam archipelago (Ladoga Lake) have been investigated. The stations were located in the littoral, sublittoral and profundal on the depth 1–25 m. The three regions with different characteristics of the coast shore and relief were researched. The sampler-syringe was used to collect benthos because it works the whole of grounds variety in the nearshore. The quantative characteristics of the bottom communities had been optimally described with the depth ranges. The wave activity has significantly affected only on the numbers of zoobenthos in the upper 10 m. The changes of numbers and biomass have been described more preciously by the openness of the bays in depth from 1 to 10 m. There were the biggest numbers and biomass of zoobenthos in littoral of the close bay. In the semi-close bay and on the open coast the maximum abundance of benthic invertebrates shifted in sublittoral (depth >8 m), where waves less affected on the benthic communities. The types of ground had affected significantly only on taxonomical composition. In general, preferential effect on the quantity characteristics of benthos on the rocky slope zone have features of shore (openness and depth patterns). These data can be used for the analyses of next influences on the nearshore benthic community and for the analyses and modelling the commercial resources and their forage base.
Keywords
Full Text
ВВЕДЕНИЕ
Видовое разнообразие зообентоса на прибрежных мелководьях озер наибольшее. В крупных озерах на литорали может присутствовать 85% всего видового состава донных беспозвоночных (Стальмакова, 1968; Vadeboncoeur, McIntyre, 2011). Здесь происходит формирование значительной части биоразнообразия и обилия зообентоса озера (White, Irvine, 2003; Tolonen, 2004; Vadeboncoeur, McIntyre, 2011).
Бентосные сообщества литорали озер часто исследуют на глубину “заброда” – ~1 м (Koszałka, 2012). Такие данные важны для описания разнообразия гидробионтов озера. Однако они не дают полного представления о границах распространения беспозвоночных, их количественных характеристиках и особенностях распределения на подводном склоне (Распопов и др., 1990, 1998; Schindler, Scheurell, 2002; Schmieder, 2004). Характеристики зообентоса литорали крайне важны для понимания движения потоков органических веществ, оценки кормовой базы рыб-бентофагов и в целом моделирования экосистемы озера. Понимание пространственных изменений донных сообществ на всю глубину подводного склона в различных условиях позволят значительно лучше представить процессы, происходящие в крупных озерах.
Большинство исследований литорали Ладожского озера ограничивалось зообентосом пологой части подводного свала с мягкими грунтами, где использовали дночерпатели, или верхним метром литорали, где исследователь может работать, стоя в воде (Барбашова, Слепухина, 2002; Барков, 2006; Barbasheva et al., 2021 и др.). Однако литораль озера простирается до ~8 м (Распопов, 1998). Подводные склоны северной части озера уходят на глубину несколько десятков метров (Бабин и др., 2013) и включают зоны сублиторали (8–16 м) и профундали (>16 м). Сообщества сублиторали и профундали будут значительно отличаться от расположенных в открытой части озера, поскольку находятся под значительным влиянием литорали.
Для исследования поверхности грунта на подводном продолжении скалистых берегов озера нет простых методов (Naumenko et al., 2022). Из-за значительной гетерогенности пространства и ограниченности методов исследования подводная часть прибрежного склона (литораль, сублитораль и часть профундали) Ладожского озера мало изучена.
Цель работы — проанализировать изменение таксономического состава и количественных характеристик бентоса на прибрежном склоне Ладожского озера у о. Валаам.
Как для экосистемного моделирования, исследований с использованием удаленных методов (подводных фото-, видеосистем), так и для прагматических рыбохозяйственных оценок обилие донных сообществ прибрежных мелководных зон будет иметь одинаково большое значение. Полученные данные дадут представление об обильном и разнообразном зообентосе Ладожского озера на прибрежном свале. Появится основание для ориентировочной оценки обилия беспозвоночных на склонах без выполнения всего трудоемкого и дорогостоящего комплекса исследований и для крупномасштабного моделирования процессов, происходящих в бентали озера.
МАТЕРИАЛ И МЕТОДЫ ИССЛЕДОВАНИЯ
Характеристика исследуемого участка. В июле 2017 г. и июле 2018 г. исследовали участки побережья Валаамского архипелага, расположенного в северной части Ладожского озера. Урез воды у островов сложен твердыми грунтами: скалами и валунами (рис. 1) и только на закрытых участках встречаются песчаные пляжи и заросли макрофитов.
Рис. 1. Схема рельефа и грунтов Малой Никоновской бухты (а), залива Крестовый (б) и расположение разрезов. 1 – суша, 2 – скала, 3 – обломки скал, 4 – валуны, 5 – песок, 6 – ил, 7 – песчаный ил, 8 – растительный детрит, 9 – изобаты, 10 – разрез со станциями и номерами разрезов.
В заливе Крестовый исследовали полузакрытую бухту с глубинами до 10 м и открытое побережье до глубин 25 м (рис. 1). Также исследована Малая Никоновская бухта — глубокая (до 27 м) закрытая часть акватории Малого Никоновского залива. Сетку станций составляли с учетом изменения рельефа и грунтов (Доп. материалы рис. S2), подробное описание дано в (Зуев, 2023). Исследованный диапазон глубин прибрежного свала разделялся на лимнические зоны: литораль (0.9–8 м), сублитораль (8–16 м) и верхняя часть профундали (16–25 м).
Акватории существенно различались по степени воздействия волнения. Влияние волнения оценивали на каждой станции по картографическим материалам. Для этого измеряли угол, с которого волна может заходить на исследуемую акваторию.
Стратегия отбора проб. Использовали метод трансект Голикова–Скарлато (Голиков, Скарлато, 1965), адаптированный под условия Ладожского озера и воспроизведенный в других исследованиях (Дудакова, 2016). Зообентос собирали с помощью поршневого пробоотборника (Зуев, Зуева, 2013) в двух повторностях на каждой станции (Доп. материалы рис. S1). Полевые исследования сопровождали подводной фото- и видеофиксацией. Фотосъемку проводили камерой Ricon Caplio в боксе с внешними вспышками Sea& Sea YS-90. Видео снимали на камеры GoPro 3+ и 5 Black edition. В качестве подсветки использовали видеосвет GreenForse и iTorch до 7000 люменов. Постоянное наличие в кадре размеченного троса позволяло уточнить описания дна и оценить присутствие на разных глубинах подвижных ракообразных — мизид и крупных амфипод.
Отобранные пробы промывали через газ с диаметром ячеи 0.4 мм и фиксировали формалином до конечной концентрации в пробе 4%. Беспозвоночных определяли до максимально возможного таксономического ранга (Кутикова, Старобогатов, 1977; Цалолихин и др., 2016 и др.). Для идентификации олигохет и личинок комаров-хирономид готовили глицериновые препараты (Чекановская, 1962; Панкратова, 1977; Семерной, 2004; Timm, 2009). Экземпляры, определенные до более высокого таксономического ранга (род, семейство, класс), также использовали для статистического анализа (Cranston, 1990).
Анализ данных. Тепловая карта и тренды изменения обилия с глубиной построены при помощи пакета ggplot2 в среде RStudio (Wickham, 2016). Иерархическую кластеризацию выполняли с помощью функции hclust (Müllner, 2013). Для трансформации матрицы численности и биомассы для тепловой карты и MDS (многомерное шкалирование) использовали корень четвертой степени (Clarke, Warwick, 2001). При построении учитывали виды, встреченные более чем на одной станции и достигавшие >1% обилия на станции.
Для выявления влияния факторов на количественные характеристики зообентоса в качестве альтернативы ANOVA применяли ранговый аналог дисперсионного анализа — метод Краскела–Уоллиса. Внутригрупповые различия численности и биомассы анализировали парным критерием Вилкоксона. При исследовании различия в сообществах в зависимости от факторов использовали PERMANOVA. Вклад отдельных видов в различие оценивали с помощью процедуры SIMPER. Процедуры реализовывали в статистических пакетах Primer v.6 и Past v.4.08 (Clarke, 1993; Hammer et al., 2001).
РЕЗУЛЬТАТЫ ИССЛЕДОВАНИЯ
Средняя численность и биомасса бентоса на прибрежном склоне трех заливов до глубины 25 м достигали 3190 ± 468 экз./м2 и 5.21 ± 0.79 г/м2, соответственно (табл. 1). Наибольшей численностью характеризовалась сублитораль полузакрытой бухты, наибольшей биомассой — литораль закрытой бухты. Станции сублиторали и профундали характеризовались сравнительно низким обилием зообентоса (табл. 1). Выявлено 30 таксонов олигохет, 48 – хирономид, 24 – ручейников, 27 – двустворчатых и брюхоногих моллюсков, 8 – ракообразных. В числе прочих отмечены личинки поденок, веснянок, мокрецов, двукрылых, гидры, водные клещи и пиявки. Всего идентифицировано 159 таксонов.
Таблица 1. Численность (над чертой) и биомасса (под чертой) зообентоса различных участков побережья о. Валаам Ладожского озера
Участок | Мал. Никоновская бухта | Бухта зал. Крестовый | Побережье зал. Крестовый |
Тип побережья | Закрытый | Полузакрытый | Открытый |
Литораль, 1–8 м | 4586 ± 1087 10.98 ± 2.91 | 4542 ± 997 5.09 ± 1.03 | 1639 ± 629 2.66 ± 1.40 |
Сублитораль, 8.1–16 м | 1405 ± 152 2.29 ± 0.61 | 5287 ± 3311* 8.19 ± 4.11* | 1623 ± 708 4.32 ± 3.42 |
Профундаль, 16.1–25 м | 349 ± 230 0.45 ± 0.35 | 1784 ± 477** 2.73 ± 1.53** | 1095 ± 273 3.31 ± 1.30 |
Среднее | 2756 ± 677 6.22 ± 1.76 | 4550 ± 900 5.46 ± 0.99 | 1463 ± 306 3.31 ± 1.30 |
Общее среднее | 3190 ± 468 5.21 ± 0.79 | ||
*Сублитораль с учетом открытой части.
**Профундаль на разрезе 19 общая с открытой частью (Доп. мат. рис. S2).
На основании тепловой карты выделены две группы литоральных станций (Доп. материалы рис. S2) в условиях полузакрытой и закрытой бухт. Эти станции характеризуются высокими значениями численности и биомассы бентоса (табл. 1). Среди таксонов выделяется ядро — группа таксонов, образующих наиболее высокие численность и биомассу на литорали. Это олигохеты Lamprodrilus isoporus, Spirosperma ferox; брюхоногие моллюски Valvatidae sp.; гидры Hydra indet.; ракообразные Asellus aquaticus, Gmelinoides fasciatus, Pallaseopsis quadrispinosa; личинки комаров- хирономид Ablabesmyia gr. lentiginosa, Tanytarsus gr. gregarious, Stempellina bausei, Orthocladius saxicola, Pentapedilum exectum, Orthocladinae sр. и личинки ручейников Agraylea multipunctata. В биомассу существенный вклад также вносят личинки ручейника Polycentropus flavomaculatus. Всего в анализе рассмотрено 92 таксона.
В третью группу (Доп. материалы рис. S2) входят станции, расположенные в сублиторали и профундали, а также на литорали открытого побережья. Выделяются подгруппы, находящиеся в одном районе и характеризующиеся сходными условиями. Кластеризация, проведенная на основании матрицы биомассы, лучше структурирована по лимническим зонам (Доп. материалы рис. S2). Достоверных различий между этими подгруппами не обнаружено.
Изменение таксономического состава и обилия макрозообентоса с глубиной. С глубиной происходит быстрое снижение количества таксонов. На станциях, расположенных в верхних 4 м прибрежного склона, количество таксонов (за единичным исключением) превышает 10 и достигает 15–30 таксонов. На станциях глубже 20 м количество таксонов всегда <8.
Достоверные различия для численности и биомассы зообентоса показаны для различных диапазонов глубин и подтверждены попарным тестом Вилкоксона между диапазонами глубин в литорали (0.9–4, 4–8 м) и сублиторали (8–12 м) и нижним диапазоном глубин профундали (19–25 м) (табл. 2). PERMANOVA также показывает достоверные различия между зообентосом в этих диапазонах глубин по численности и биомассе (табл. 2). Наибольший вклад в различие (>10%: Simper) по численности вносят ракообразные Gmelinoides fasciatus и Pallaseopsis quadrispinosa. По биомассе наибольший вклад также вносит Gmelinoides fasciatus, а на мелководных станциях литорали (0.9–4 м) личинки комаров Ablabesmyia gr. lentiginosa. Обилие и состав бентоса в лимнических зонах различается между литоралью и профундалью (Краскел–Уоллис и PERMANOVA: табл. 2). Наибольший вклад в различия по численности и биомассе вносят ракообразные.
Различия между заливами. Численность зообентоса достоверно различается для заливов (табл. 2). Показаны отличия бухты Крестового залива от бухты Малой Никоновской и открытого побережья, различия между Малой Никоновской бухтой и открытым побережьем не выявлены. По биомассе разница для акваторий недостоверна. По составу сообществ (PERMANOVA), по матрицам численности и биомассы зообентос различается для всех акваторий (табл. 2).
Таблица 2. Результаты теста Краскела–Уоллиса и парного теста Вилкоксона с коррекцией Бонферрони на достоверность отличий для численности и биомассы зообентоса в различных условиях
Фактор | Тест Краскела– Уоллиса | Тест Вилкоксона | PERMANOVA | Simper | |||||||||
χ2(df) | p- value | pairs | p-value | F | p- value | pair | p- value | value | Вклад в различие | ||||
Taxa 1 | % | Taxa 2 | % | ||||||||||
Численность, экз./м2 | |||||||||||||
Диапазон глубин | 26.33 (5) | <0.001*** | 1–4≠19–25 | 0.005** | 2.27 | 0.0001 | 1–4≠19–25 | 0.0041 | 96.9 | Gmel | 14.5 | Ablab | 11.1 |
4–8≠12–16 | 0.012* | 4–8≠12–16 | 0.0011 | 83.8 | Palla | 9.1 | Gmel | 8.5 | |||||
4–8≠19–25 | <0.001*** | 4–8≠19-25 | 0.0001 | 96.7 | Palla | 10.6 | Gmel | 9.0 | |||||
8–12≠19–25 | 0.032* | 8–12≠19–25 | 0.0046 | 95.9 | Gmel | 13.6 | Palla | 13.3 | |||||
Акватории | 14.43 (2) | <0.001*** | Kr≠Mn | 0.002** | 4.30 | 0.0001 | Kr≠Mn | 0.0001 | 88.5 | Gmel | 14.5 | Ablab | 10.4 |
Kr≠Oc | 0.010** | Kr≠Oc | 0.0001 | 88.1 | Ablab | 11.5 | Gmel | 9.6 | |||||
Oc≠Mn | n.s. | Oc≠Mn | 0.0002 | 87.6 | Gmel | 13.6 | Palla | 9.5 | |||||
Грунты | 18.85 (5) | 0.002** | скалы≠галька | n.s. | 2.04 | 0.0001 | скалы≠галька | 0.0110 | 85.3 | Gmel | 13.9 | Ablab | 11.5 |
скалы≠песок | n.s. | скалы≠песок | 0.0270 | 83.4 | Gmel | 19.9 | Palla | 9.3 | |||||
скалы≠ил | n.s. | скалы≠ил | 0.0110 | 92.8 | Gmel | 13.0 | Palla | 6.3 | |||||
валуны≠песок | n.s. | валуны≠песок | 0.0002 | 85.2 | Gmel | 15.5 | Palla | 8.3 | |||||
валуны≠ил | 0.009** | валуны≠ил | 0.0006 | 94.1 | Ablab | 9.4 | Palla | 6.1 | |||||
галька≠песок | n.s. | галька≠песок | 0.0001 | 83.6 | Gmel | 17.3 | Ablab | 8.9 | |||||
галька≠ил | n.s. | галька≠ил | 0.0003 | 93.5 | Ablab | 16.2 | Palla | 8.7 | |||||
песок≠ил | n.s. | песок≠ил | 0.0002 | 91.5 | Gmel | 18.8 | Palla | 12.3 | |||||
Зоны | 20.17 (2) | <0.001*** | литораль≠профун | 0.007** | 2.73 | 0.0001 | литораль≠профун | 0.0001 | 92.9 | Gmel | 11.0 | Ablab | 8.7 |
литораль≠сублит | n.s. | литораль≠сублит | 0.0003 | 85.2 | Gmel | 13.5 | Ablab | 7.8 | |||||
сублит≠профун | n.s. | сублит≠профун | n.s. | 86.5 | Palla | 12.9 | Gmel | 8.5 | |||||
Численность, экз./м2 для глубин <10 м | |||||||||||||
Влияние волнения | 9.15 (2) | 0.010* | <45°≠90–180° | 0.024* | 1.70 | 0.0011 | <45°≠90–180° | 0.0043 | 88.2 | Gmel | 12.6 | Ablab | 7.9 |
45–90°≠90–180° | 0.036* | 45–90°≠90–180° | 0.0055 | 87.2 | Gmel | 10.4 | Stemp | 7.7 | |||||
Акватории | 7.94 (2) | 0.019* | Kr≠Mn | n.s. | 3.88 | 0.0011 | Kr≠Mn | 0.0001 | 84.3 | Gmel | 15.4 | Ablab | 7.1 |
Kr≠Oc | 0.026* | Kr≠Oc | 0.0017 | 86.1 | Ablab | 9.2 | Gmel | 8.3 | |||||
Oc≠Mn | 0.042* | Oc≠Mn | 0.0001 | 88.8 | Gmel | 19.5 | Palla | 7.3 | |||||
Биомасса, г/м2 | |||||||||||||
Диапазон глубин | 17.43 (5) | 0.004** | 1–4≠19–25 | 0.040* | 1.96 | 0.0001 | 1–4≠19–25 | 0.0101 | 97.1 | Ablab | 16.8 | Valva | 6.4 |
4–8≠12–16 | 0.050. | 4–8≠12–16 | 0.0043 | 86.6 | Gmel | 14.2 | Asell | 7.9 | |||||
4–8≠19–25 | 0.002** | 4–8≠19–25 | 0.0110 | 96.5 | Gmel | 16.3 | Asell | 10.8 | |||||
8–12≠19–25 | 0.042* | 8–12≠19–25 | 0.0549. | 95.2 | Gmel | 18.8 | Palla | 17.3 | |||||
Акватории | 3.56 (2) | n.s. | – | – | 2.99 | 0.0001 | Kr≠Mn | 0.0001 | 92.4 | Gmel | 15.3 | Ablab | 11.8 |
Kr≠Oc | 0.0005 | 89.3 | Gmel | 15.8 | Palla | 12.1 | |||||||
Oc≠Mn | 0.0004 | 91.8 | Palla | 11.4 | Bathy | 9.6 | |||||||
Грунты | 12.88 (5) | 0.045* | – | n.s. | 2.07 | 0.0001 | rock≠pebbles | n.s. | 90.0 | Ablab | 15.7 | Palla | 12.6 |
скалы≠песок | 0.0067 | 89.5 | Gmel | 24.0 | Palla | 11.6 | |||||||
скалы≠ил | 0.0176 | 94.5 | Ablab | 10.5 | Lampr | 8.7 | |||||||
скалы≠валуны | 0.0315 | 90.2 | Ablab | 12.6 | Asell | 7.5 | |||||||
валуны≠песок | 0.0001 | 89.9 | Gmel | 22.9 | Palla | 10.7 | |||||||
валуны≠ил | 0.0007 | 94.8 | Polyc | 10.1 | Valva | 8.9 | |||||||
галька≠песок | 0.0093 | 87.1 | Gmel | 27.5 | Palla | 15.9 | |||||||
галька≠ил | 0.0009 | 94.4 | Palla | 16.6 | Ablab | 13.5 | |||||||
песок≠ил | 0.0016 | 92.2 | Gmel | 28.2 | Palla | 15.9 | |||||||
галька≠валуны | n.s. | 85.9 | Bathy | 14.7 | Palla | 12.8 | |||||||
Зоны | 9.95 (2) | 0.007** | литораль≠профунд | 0.006** | 2.41 | 0.0001 | литораль≠профун | 0.0002 | 94.7 | Ablab | 11.0 | Palla | 10.7 |
литораль≠сублит | n.s. | литораль≠сублит | 0.0004 | 89.5 | Gmel | 10.4 | Palla | 10.1 | |||||
сублит≠профун | n.s. | сублит≠профун | n.s. | 88.6 | Palla | 16.0 | Bathy | 12.3 | |||||
Биомасса, г/м2 для глубин <10 м | |||||||||||||
Влияние волнения | 5.89 (2) | 0.053. | <45°≠90–180° | 0.058. | 1.07 | n.s. | <45°≠90–180° | n.s. | 90.5 | Gmel | 11.4 | Ablab | 10.1 |
45–90°≠90–180° | n.s. | 45–90°≠90–180° | n.s. | 88.4 | Gmel | 15.0 | Palla | 9.3 | |||||
<45°≠45–90° | n.s. | <45°≠45–90° | n.s. | 85.3 | Gmel | 16.3 | Palla | 7.7 | |||||
Акватории | 6.63 (2) | 0.036* | Kr≠Mn | n.s. | 2.27 | 0.0001 | Kr≠Mn | 0.0014 | 89.7 | Gmel | 14.8 | Ablab | 12.7 |
Kr≠Oc | n.s. | Kr≠Oc | n.s. | 87.8 | Gmel | 15.0 | Palla | 9.4 | |||||
Oc≠Mn | 0.043* | Oc≠Mn | 0.0008 | 92.8 | Ablab | 9.4 | Limne | 8.1 | |||||
Примечание. χ2 – значение статистики Краскела–Уоллиса; df — степени свободы. Уровень значимости: ***P-value <0.001; **P-value <0.01; *P-value <0.05. P-value ~0.05; n.s. — незначим. Диапазоны глубин: 1–4 м; 4–8 м; 8–12 м; 12–16 м; 16–19 м; 19–25 м. Заливы: Kr — бухта залива Крестовый; Mn — Малой Никоновской бухты; Oc — открытое побережье залива Крестовый. Грунты: скалы; валуны; галька; песок; песок с валунами; ил. Лимнические зоны: литораль — 1.0–8.0 м; сублитораль (сублит) – 8.1–16.0 м; профундаль (профун) – 16.1–25.0 м. Влияние волнение (угол с которого на станцию может заходить волна): закрытое побережье – <45°; полуоткрытое — 45–90°; открытое — 90–180°. Taксон: Gmel — Gmelinoides fasciatus; Palla — Pallaseopsis quadrispinosa; Ablab — Ablabesmyia gr. lentiginosa; Stemp — Stempellina bausei; Asell — Asellus aquaticus; Valva — Valvatidae sp.; Bathy — Bathyomphalus contortus; Lampr — Lamprodrilus isoporus; Limne — Limnephilus sp.; Polyc — Polycentropus flavomaculatus.
Влияние грунта. Критерий Краскела–Уоллиса показал достоверные различия между значениями численности и биомассы зообентоса на различных грунтах, за счет достоверных различий только по численности и только для сообществ на валунах и илу (табл. 2). Для биомассы попарный тест не выявил достоверных различий между любыми грунтами (табл. 2). При этом PERMANOVA показывает достоверные различия в сообществах по матрицам численности и биомассы почти для всех грунтов.
Влияние волнения. Наибольшее влияние волнение оказывает на обилие донных сообществ в диапазоне 10 м (0.9–10 м) (табл. 2). Численность бентоса на самых открытых для волнения (90–180º) станциях в этом диапазоне глубин достоверно ниже, чем на остальных. Для биомассы отличия находятся на грани достоверности. По составу сообщества (по матрице численности) станции открытого побережья достоверно отличаются от таковых закрытых и полузакрытых побережий, по биомассе отличия не зарегистрированы (табл. 2). По численности и по биомассе >10% различий между группами станций приходятся на Gmelinoides fasciatus и от 7 до 10% — на личинок хирономид Ablabesmyia sр. и Stempellina sр.
Для диапазона глубины 0.9–10 м достоверные различия по значениям численности и биомассы показывают различные участки (табл. 2). По численности открытое побережье достоверно отличается от других акваторий, по биомассе — только открытое побережье от закрытой бухты.
ОБСУЖДЕНИЕ РЕЗУЛЬТАТОВ
Изменения таксономического состава с увеличением глубины. Быстрое снижение количества таксонов с увеличением глубины происходит в первую очередь за счет амфибиотических насекомых. Подобные тенденции описаны в ряде специальных исследований (Кондратьева и др., 2014; Зуев и др., 2021; Лапука, 2021), однако они следуют из общего снижения обилия с глубиной. Основываясь на полученных нами данных, можно сделать выводы за счет каких групп происходит это снижение. Первыми с глубин ≥4 м исчезают личинки ручейников, поденок, веснянок и личинки хирономид родов Ablabesmyia, Eukiefferiella, Pentapedilum, Stempellina. Обилие брюхоногих и двустворчатых моллюсков снижается на протяжении верхних 16 м. Как и для других озер (Семерной, 2004; Крылова, 2013; Попченко В.И., Попченко Т.В., 2013), среди олигохет наблюдаются различия в распределении семейств с глубиной, а также в зависимости от типа грунта. Черви семейств Tubificidae и Lumbriculidae могут образовывать скопления на различных глубинах. У представителей сем. Naididae, встречающихся также достаточно широко, наиболее обильные роды Nais и Stylaria образуют массовые скопления в верхней части прибрежного склона (до 4 м). Олигохеты Lamprodrilus isoporus и Spirosperma ferox формируют значительную долю численности и биомассы на прибрежном склоне.
Ракообразные — наиболее обильный компонент прибрежного склона. Каждый вид имеет свои особенности распределения по глубине (Kravtsova et al., 2009; O’Malley et al., 2018; Барышев и др., 2021; Зуев, 2023). Только байкальский вселенец Gmelinoides fasciatus распространился в Ладожском озере на несколько бóльшие глубины, чем на байкальской литорали (Механикова, 2017). В закрытых бухтах на глубинах ≤4 м и в полузакрытых на глубинах ≤9 м он достигает значительной доли по численности и биомассе (Berezina et al., 2009). Другой байкальский вселенец Microropus possolskii, получивший широкое распространение в литорали северо-восточной части о. Валаам (Зуев, неопубликованные данные), на исследованных акваториях не был отмечен. Вне зависимости от открытости побережья, на глубинах ≤6 м высокий вклад в обилие также вносит аборигенная изопода Asellus aquaticus. Наибольшим обилием среди амфипод глубже 4.5 м, как и для открытой части озера, характеризуется Pallaseopsis quadrispinosa (Стальмакова, 1968; Суслопарова и др., 2011). Вид распространен во всем диапазоне литорали, сублиторали и профундали до максимальных исследованных глубин (25 м). Другой реликтовый вид Monoporeia affinis единично отмечали на глубинах с 4.5 м, ниже 15 м его встречали регулярно.
Что влияет на зообентос прибрежного склона? Субстрат часто оказывает существенное влияние на состав и обилие донных сообществ в водоемах (Barton, Griffiths, 1984; Barton, 1988; Kravtsova et al., 2004; Namayandeh, Quinlan, 2011). Согласно стратегии отбора проб, каждую пробу зообентоса отбирали не случайно, а по плану в полосе определенного грунта. При таком подходе влияние грунта на сообщества должно было быть наибольшим, однако найти связь численности и биомассы бентосных организмов на прибрежном склоне с типом грунта не удалось (табл. 2).
Достоверное различие по численности между обитателями валунов и ила закономерно связано с расположением грунтов: валуны — самый распространенный грунт на литорали, ил встречается только в очень бедной части профундали. Безусловно, отдельные виды и даже сообщества различаются на разных грунтах (PERMANOVA, табл. 2), однако различия в количественных характеристиках будут, в первую очередь, связаны с диапазоном глубин. В значительной степени разница определяется наличием на твердых грунтах литорали и сублиторали обильных видов: амфипод Gmelinoides и личинок насекомых (табл. 2). Вне литорали и сублиторали твердые грунты встречаются довольно редко. Однако на этих станциях также значительно снижается обилие всех литоральных групп, поэтому наибольшее влияние оказывает комплекс факторов, связанный с диапазоном глубин.
Во всех исследованных районах ниже 16 м продолжается снижение количественных характеристик. Таксономический состав, численность и биомасса зообентоса приближаются к значениям, характерным для открытой части озера (рис. 2). Снижение обилия с глубиной характерно для любых водоемов и отмечается для масштабных исследований, включающих всю бентическую систему озера целиком (Стальмакова, 1968; Лаврентьева и др., 2009; Суслопарова и др., 2011, 2014; Burlakova et al., 2018). Для некоторых типов грунта характерны виды, предпочитающие именно их. Но в целом, для таксономического состава и, тем более, для обилия бентоса на прибрежном склоне комплекс факторов, изменяющийся с глубиной, имеет бóльшее значение.
Gmelinoides fasciatus — наиболее обильный литоральный вид. За счет большого количества молоди этой амфиподы формируются сообщества литорали закрытых от волнения участков, которые достоверно отличаются от всех прочих (рис. 2, табл. 2). В формировании сообщества литорали также участвуют и другие виды беспозвоночных (личинки хирономид и ручейников), однако вклад последних редко превышает 10%. Напротив, виды, признанные обитателями профундальной зоны: Lamprodrilus isoporus, Pallaseopsis quadrispinosa, Monoporeia affinis и др. (Стальмакова, 1968; Суслопарова и др., 2011, 2014; Курашов и др., 2018), оказались вполне обычными на средних и нижних горизонтах литоральной зоны.
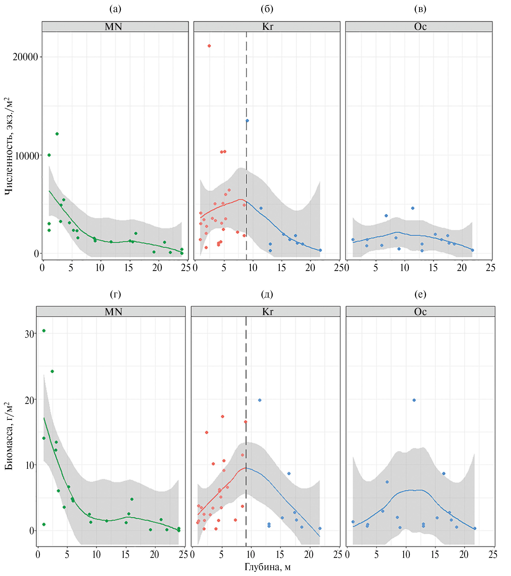
Рис. 2. Тенденция изменения с глубиной численности (а–в) и биомассы (г–е) зообентоса в закрытой бухте Малая Никоновская (а, г), полузакрытой бухте зал. Крестовый (б, д) и на открытом побережье (в, е). Вертикальная пунктирная линия — граница глубины, затененная область — 95%-ный доверительный интервал показателя.
Не только в богатых литоральных биоценозах, но и ниже по склону большой вклад в обилие вносят ракообразные. Однако на сравнительно бедных и занимающих большую площадь озера пространствах профундали, вклад амфипод и мизид Mysis relicta может иметь особенное значение. C глубины 15 м и ниже, на всех исследованных участках дополнительную биомассу бентоса создают M. relicta и отдельные крупные экземпляры Pаllaseopsis quadrispinosa. На ровных участках дна эти виды успешно избегают большинства орудий сбора и фиксируются только на фото- и видеоматериалах. В таких бедных сообществах недоучитываемая доля подвижных ракообразных особенно велика (O’Malley et al., 2018; Зуев, 2023).
Возможная причина отсутствия различия в количественных характеристиках отличающихся между собой грунтов — используемая методика с применением поршневого пробоотборника (Доп. мат. рис. S1). Она одинаково хорошо работает и позволяет отбирать пробы бентоса на любом типе грунта. Также происходит более точная привязка бентосного сообщества к характеристикам дна, в отличие от случаев, когда грунт определяют по материалу, который при отборе проб смог попасть в дночерпатель. Эффективность ковшей и объем отобранного ими материала напрямую зависит от характеристик дна (Romano et al., 2017). Поэтому эффективность дночерпателей падает при работе на любых типах грунта, за исключением мягких мелкодисперсных. Это может объяснять существенные различия в обилии зообентоса между мягкими и твердыми субстратами в сходных условиях в некоторых исследованиях (Стальмакова, 1968).
Работа поршневого пробоотборника основывается на резком движении воды, увлекающем бентосные организмы в сетку. Часть бентосных организмов (поденки сем. Heptageniidae, брюхоногие моллюски и другие) закрепляются и должны успешно сопротивляться такому движению. Сравнение результатов работы пробоотборника с тотальным сбором камней в мешки из газа показало (Зуев, Зуева, 2013), что большее число таксономических групп и наиболее обильные из них личинки насекомых, ракообразные, двустворчатые и брюхоногие моллюски отбираются пробоотборником лучше. Единственная группа, которая отбиралась хуже — довольно немногочисленные в условиях каменистой литорали олигохеты сем. Naididae, которые запутываются в нитчатых обрастаниях и не вытягиваются из них. Однако вклад этой группы в численность и, особенно, биомассу зообентоса незначителен.
Тенденции изменения обилия на различных участках побережья. Большое влияние на распределение таксонов и обилия зообентоса в озерах оказывает ветровое волнение, на что указывают многие авторы (Barton, Hynes, 1978; Barton, 1981; Распопов и др., 1990, 1998; Quinn et al., 1996; Shteinman et al., 1999; Barton, 2004).
Равномерное снижение обилия зообентоса c глубиной наблюдается только в закрытой от волнения Малой Никоновской бухте (рис. 2а, 2г, Доп. мат. табл. S1). Эта тенденция обычна для обилия при исследованиях во всем диапазоне глубин озер (Стальмакова, 1968; Суслопарова и др., 2011, 2014; Калинкина и др., 2016). Такая картина объясняется тем, что происходит постепенное снижение обилия литоральных видов и замена фауны ракообразных на более бедную фауну сублиторали и профундали. В условиях полузакрытой бухты или открытого побережья максимумы обилия отмечали в верхней части сублиторали (рис. 2).
В условиях небольшой полузакрытой бухты залива Крестового характерны невысокие значения обилия на приповерхностных горизонтах (рис. 2б, 2д, Доп. мат. табл. S2). Это связано с тем, что урез воды для всех исследованных акваторий сложен твердыми грунтами. Несмотря на закрытость акватории от волн с большинства направлений, поверхность воды бухты редко бывает совсем спокойной из-за отраженных от скалистых берегов волн. Такая же картина выявлена для участков открытого побережья, которые при данном направлении ветра лишь частично открыты для волнения, но тем не менее характеризуются низким обилием бентоса за счет волновых течений и воздействия отраженных волн (Распопов и др., 1990). Поэтому в поверхностном 10-метровом слое обилие беспозвоночных сильнее связано с характеристикой акватории, включающей сложную систему отраженных волн и волновых течений, а не с открытостью для волнения определенной точки побережья (табл. 2).
С глубиной численность и биомасса зообентоса постепенно увеличиваются. Пологая центральная часть бухты (глубина 5–9 м) – зона аккумуляции органических веществ. Для большинства фаунистических групп, характерных для литорали, обилие на этих горизонтах начинает сокращаться или они встречаются единично (личинки поденок, веснянок, мокрецов и ручейников). В условиях бухты группы, которые могут обитать в этом диапазоне глубин (олигохеты, моллюски, ракообразные), образуют значительные скопления.
Обилие беспозвоночных на прибрежном свале находится под существенным влиянием рыб-бентофагов (Лобанова, Шустов, 2017; Лобанова и др., 2017; Березина и др., 2021 и др.). На прибрежном свале из-за сложного рельефа и разнообразного грунта для беспозвоночных существует большое количество укрытий. По результатам нашего исследования, плотность макробентоса в пределах литорали максимальна на самых открытых участках прибрежного свала — на пологих участках с седиментацией наносов (песка и наилка), которые значительно доступнее для питания рыб-бентофагов, чем, например, участки, сложенные валунами. Это показывает, что влияние рыб-бентофагов на исследованных участках литорали не имеет определяющего влияния на донные сообщества.
На открытом побережье большинство видов старается избегать зоны воздействия волн (Shteinman et al., 1999), поэтому обилие макрозообентоса в верхних 4 м склона очень низкое и постепенно увеличивается с глубиной (рис. 2, Доп. мат. табл. S3).
Закрытые от прямого воздействия волн затишные места на литорали и в верхней сублиторали становятся участками скопления молоди Gmelinoides fasciatus. За счет многочисленности этого вида, достоверно отличается численность зообентоса верхней литорали, закрытой от сильного волнения. Биомассу определяют более крупные организмы, которые легче перемещаются и способны быстро реагировать на изменение погодных условий. Поэтому открытость берега оказывает меньше влияния на значения биомассы (табл. 2).
Для сравнения, в Онежском озере зона трансформации литоральных сообществ в характерные для открытой части озера сильнее “растянута” по глубине и изменяется более равномерно (Распопов и др., 1990, Рябинкин, Полякова, 2008). Подобные диапазоны глубин также выделяются на прибрежном свале оз. Байкал: до 2 м — верхняя часть литорали со специфической фауной ракообразных; до 5 м глубины сохраняется высокое видовое богатство, изменчивость количественных характеристик бентоса становится меньше; диапазон 5–15 м также характеризуется снижением числа литоральных видов (Kravtsova et al., 2004, 2009; Байкал…, 2008).
На основании данных о рельефе прибрежного свала и открытости побережья можно приблизительно оценить обилие бентоса на прибрежных мелководьях. Зообентос верхнего метра литорали в большей степени зависит от микроусловий среды и поэтому может отличаться исключительной изменчивостью (Барбашова, Курашов, 2011). Значения обилия остальной части прибрежного склона более стабильны и поддаются количественной оценке на уровне лимнических зон: литорали, сублиторали и профундали.
По видовому составу сообщества склона могут существенно различаться. Однако по имеющимся данным можно выделить общие особенности. Так, литораль в значительной части представлена G. fasciatus и личинками насекомых. С глубиной доля вселенца падает и растет таковая за счет аборигенных видов ракообразных (Доп. материалы рис. S2).
В полуоткрытом заливе максимумы обилия отмечены в сублиторали, вклад вселенца здесь также велик, хотя доля аборигенных видов растет. На открытом побережье обилие также увеличивается к сублиторали, его значительная часть представлена аборигенными ракообразными и моллюсками.
Различия в грунтах не приводят к достоверному изменению обилия, однако таковые выявлены по составу донных сообществ. Соответственно, для количественной оценки запасов бентоса и/или кормовой базы рыб-бентофагов в прибрежье на основании карт с составом грунта на прибрежных склонах можно пренебречь.
ЗАКЛЮЧЕНИЕ
Получены данные об изменении таксономического состава и количественных характеристик бентоса на прибрежном склоне в северной части Ладожского озера. Население различных грунтов достоверно различается только по качественным, но не по количественным характеристикам. На прибрежном склоне комплекс факторов, связанный с глубиной, имеет большее влияние на обилие бентоса. С глубиной достоверно различаются по обилию бентоса наиболее богатые (1–8 м, литораль), (8–16 м, сублитораль) и наиболее бедные (16–25 м, профундаль) диапазоны глубин. Открытость участка для волнения на глубинах от 0.9 до 10 м оказывает непосредственное влияние только на численность зообентоса. Это связано с тем, что среди скальных берегов большое значение имеют отраженные волны. Поэтому на глубинах 0.9–10 м по численности и биомассе зообентоса достоверно обособляются прибрежные акватории, относящиеся к закрытым и полузакрытым бухтам и открытому для волнового воздействия побережью. Достоверно выделяются литоральные сообщества. Однако в состав этих сообществ на прибрежном свале существенный вклад вносят олигохеты и ракообразные, характерные для глубоководной части озера. Предложенная методика исследований показала себя успешной в комплексных условиях прибрежного склона различных бухт Ладожского озера. Понимание общих тенденций изменения обилия зообентоса в зависимости от таких легко читаемых с карты показателей как форма береговой линии и изменение глубины служит базой для масштабного моделирования и анализа обилия донных сообществ и трансформации потоков органического вещества в крупнейших озерах.
БЛАГОДАРНОСТИ
Авторы сердечно благодарят А.В. Коровина (Российский государственный гидрометеорологический университет, водолазов Р.Ю. Оскардова, С.В. Голдина, А.Е. Лапенкова, О.М. Владимирову, А.П. Яснова, Д.С. Оленева, А.В. Тимошину, Н.Н. Попова за высокое качество проведенных работ. За консультации при определении брюхоногих моллюсков выражаем благодарность И.О. Нехаеву (СПбГУ), двустворчатых — А.А. Фролову (ММБИ РАН). Авторы признательны А.Б. Степановой, Е.Ю. Воякиной и А.В. Бабину за предоставление возможности выполнения работ на базе учебно-научной станции Российского государственного гидрометеорологического университета на о. Валаам.
ФИНАНСИРОВАНИЕ
Работа выполнена частично за счет гранта Русского Географического Общества № 3/2015-Р “Экосистемы Валаамского архипелага (Ладожское озеро) на рубеже XX и XXI веков: черты уникальности и современное состояние”; и частично за счет гранта г. Санкт-Петербург в сфере научной и научно-технической деятельности в 2015 г. “Зообентос прибрежной зоны северной части Ладожского озера”.
ДОПОЛНИТЕЛЬНЫЙ МАТЕРИАЛ
Дополнительные материалы размещены в электронном виде по DOI статьи: 10.31857/S032096 5224020034
About the authors
Yu. A. Zuyev
St. Petersburg branch of Russian Federal Research Institute of Fisheries and Oceanography “VNIRO” (“GosNIORKH” named after L.S. Berg”); Russian State Hydrometeorological University
Author for correspondence.
Email: yzuyev@ya.ru
Russian Federation, St. Petersburg; St. Petersburg
N. V. Zueva
Russian State Hydrometeorological University
Email: yzuyev@ya.ru
Russian Federation, St. Petersburg
References
- Бабин А.В., Воякина К.Ю., Зуева Н.В. и др. 2013. Прибрежная зона Ладожского озера // Влияние изменений климата и опасных природных явлений на природопользование европейского Севера. СПб.: РГГМУ. С. 44. Байкал: природа и люди // Энциклопедический справочник. 2008. Улан-Удэ: ЭКОС.
- Барбашова М.А., Курашов Е.А. 2011. Макрофауна литоральной зоны Ладожского озера // Литоральная зона Ладожского озера. СПб.: Наука. С. 219.
- Барбашова М.А., Слепухина Т.Д. 2002. Макрозообентос литоральной зоны заливов шхерного района озера // Ладожское озеро — прошлое, настоящее, будущее. СПб.: Наука. С. 259.
- Березина Н.А., Литвинчук Л.Ф., Максимов А.А. 2021. Связь пищевого спектра рыб с составом зоопланктона и зообентоса в субарктическом озере // Биология внутр. вод. № 4. С. 406. https://doi.org/.org/10.31857/S0320965221040069
- Барков Д.В. 2006. Экология и биология байкальского вселенца Gmelinoides fasciatus (Stebbing, 1899) и его роль в экосистеме Ладожского озера: Автореф. дис. … канд. биол. наук. СПб. 26 с.
- Барышев И.А., Сидорова А.И., Георгиев А.П., Калинкина Н.М. 2021. Биомасса популяции, продукция за вегетационный период и биоресурсное значение инвазивного Gmelinoides fasciatus (Сrustacea: Amphipoda) в Онежском озере // Биология внутр. вод. № 4. С. 433. https://doi.org/10.31857/S0320965221040057
- Голиков А.Н., Скарлато О.А. 1965. Гидробиологические исследования в заливе Посьет с применением водолазной техники // Исследования фауны морей СССР. № 3 (9). С. 5.
- Дудакова Д.С. 2016. Метод полигонного исследования распределения мейобентоса в литорали Ладожского озера (на примере северного шхерного района) // Биология внутр. вод. № 6. С. 104. https://doi.org/.org/10.7868/S0320965216020054
- Зуев Ю.А., Зуева Н.В. 2013. Опыт исследования макрозообентоса каменистой литорали Ладожского озера // Уч. зап. Российского гос. гидромет. ун-та. № 30. С. 134.
- Зуев Ю.А. Шацкий А.В., Тамулёнис А.Ю. 2021. Промысловые запасы мотыля (Chironomus: Diptera) ряда озер Ленинградской области // Тр. Карельск. науч. центра Российской академии наук. № 9. С. 92. https://doi.org/.org/10.17076/lim1376
- Зуев Ю.А. 2023. Особенности распределения массовых видов ракообразных на прибрежном склоне Ладожского озера // Биология внутр. вод. № 2. С. 210. https://doi.org/.org/ 10.31857/S0320965223020298
- Калинкина Н.М., Сидорова А.И., Полякова Т.Н. и др. 2016. Снижение численности глубоководного макрозообентоса Онежского озера в условиях многофакторного воздействия // Принципы экологии. № 2. С. 43. https://doi.org/.org/10.15393/j1.art.2016.5182
- Кондратьева Т.А., Назарова Л.Б., Лоскутова О.А., Батурина М.А. 2014. Предварительные данные по фауне хирономид (Chironomidae, Diptera, Insecta) Харбейских озер // Журн. Сибир. федерального ун-та. Биология. Т. 7. № 4. С. 357.
- Крылова Е.Н. 2013. Малощетинковые черви различных участков Телецкого озера // Мир науки, культуры, образования. Т. 6(43). С. 556.
- Курашов Е.А., Барбашова М.А., Дудакова Д.С. и др. 2018. Экосистема Ладожского озера: современное состояние и тенденции ее изменения в конце XX — начале XXI в. // Биосфера. № 2(10). С. 65. https://doi.org/.org/10.24855/BIOSFERA.V10I2.439
- Кутикова Л.А., Старобогатов Я.И. 1977. Определитель пресноводных беспозвоночных европейской части СССР (планктон и бентос). Л.: Гидрометеоиздат. С. 512.
- Лаврентьева Г.М., Мицкевич О.И., Огородникова В.А., Терешенкова Т.В. 2009. Сравнительная оценка сообществ планктона и бентоса Онеги и Ладоги в многолетнем аспекте: (90-е гг. ХХ в. и первое десятилетие ХХI в.) // Рыбохозяйственное исследование больших озер Северо-Запада европейской части России: Cб. науч. трудов. СПб.: Изд-во ДЕАН. Вып. 334. С. 228.
- Лапука И.И. 2021. Пространственное распределение личинок хирономид в озере Северный Волос в летний период в зависимости от температуры и концентрации кислорода // Молодежь в науке — 2021: Тез. докл. XVIII Междунар. науч. конф. молодых ученых. Минск, 27–30 сентября 2021 г. Часть 1. Минск: Издат. дом Белорусская наука. С. 220.
- Лобанова А.С., Шустов Ю.А. 2017. Особенности питания рыб литоральной зоны Онежского озера // Уч. зап. Петрозаводск. гос. ун-та. Т. 2. № 163. С. 52.
- Лобанова А.С., Сидорова А.И., Георгиев А.П. и др. 2017. Роль инвазионного вида Gmelinoides fasciatus (Stebbing) в питании речного окуня Perca fluviatilis // Рос. журн. биол. инвазий. Т. 10. № 2. С. 81. https://doi.org/.org/10.1134/S2075111717030092
- Механикова И.В. 2017. Амфиподы (Crustacea, Amphipoda) каменистой литорали Южного Байкала в районе мыса Березовый (2003, 2013 гг.) // Бюл. Москов. об-ва испыт. природы. Отдел биол. Т. 122. № 3. С. 28.
- Панкратова В.Я. 1977. Семейство хирономиды, звонцы Chironomidae // Определитель пресноводных беспозвоночных европейской части СССР. Л.: Гидрометеоиздат. С. 371.
- Попченко В.И., Попченко Т.В. 2013. Пространственное размещение малощетинковых червей в водных экосистемах // Изв. Самар. науч. центра Российской академии наук. Т. 15. № 3–7. С. 2246.
- Распопов И.М., Воронцов Ф.Ф., Слепухина Т.Д. и др. 1990. Роль волнения в формировании биоценозов бентоса больших озер. Л.: Наука. С. 114.
- Распопов И.М., Андроникова И.Н., Слепухина Т.Д. и др. 1998. Прибрежно-водные экотоны больших озер. СПб.: РТП ИК “Синтез”. С. 54.
- Рябинкин А.В., Полякова Т.Н. 2008. Макрозообентос озера и его роль в питании рыб // Биоресурсы Онежского озера. Петрозаводск: Карельск. науч. центр РАН. С. 67.
- Семерной В.П. 2004. Олигохеты озера Байкал. Новосибирск: Наука. С. 528.
- Стальмакова Г.А. 1968. Зообентос Ладожского озера // Биологические ресурсы (зоология) Ладожского озера. Л.: Наука. С. 4.
- Суслопарова О.Н., Мицкевич О.И., Огородникова В.А., Терешенкова Т.В. 2011. Сезонные и межгодовые изменения основных компонентов экосистемы (фито-, зоопланктон, макрозообентос) Южной Ладоги по результатам исследований в 2009–2010 гг. // Исследование экосистем крупных рыбопромысловых водоемов Северо-Запада России: Сб. науч. тр. Вып. 341. СПб.: Нестор-История. С. 201.
- Суслопарова О.Н., Терешенкова Т.В., Огородникова В.А. и др. 2014. Изменения летних гидробиоценозов южной Ладоги по материалам многолетних исследований ГосНИОРХ // Рыбохозяйственные исследования на водных объектах Европейской части России: Сб. науч. работ, посвященный 100-летию ГосНИОРХ. СПб.: изд. ФГБНУ ГосНИОРХ. С. 238.
- Чекановская О.В. 1962. Водные малощетинковые черви фауны СССР. М.: Изд-во АН СССР. С. 412.
- Цалолихин С.Я., Пржиборо А.А., Кияшко П.В. и др. 2016. Определитель зоопланктона и зообентоса пресных вод европейской России. М.: Тов-во науч. изд. КМК. Т. 2.
- Barton D.R., Griffiths M. 1984. Benthic macroinvertebrates of the nearshore zone of eastern Lake Huron, Georgin Bay and North Channal // J. Great Lakes Res. V. 12. P. 270.
- Barton D.R. 1988. Distribution of some common benthic invertebrates in nearshore Lake Erie, with emphasis on depth and type of substratum // J. Great Lakes Res. V. 14. P. 34.
- Barton D.R., Hynes H.B.N. 1978. Macrobenthos of the Exposed Canadian Shores of the St. Lawrence Great Lakes // J. Great Lakes. Res. V. 4(1). P. 27. https://doi.org/.org/10.1016/S0380-1330(78)72162-3
- Barton D.R. 2004. Differences in Wave-Zone Benthic Invertebrate Communities in Lake Huron and Georgian Bay, 1974-2003 // J. Great Lakes. Res. V. 30(4). P. 508. https://doi.org/.org/10.1016/S0380-1330(04)70366-4
- Barton D.R. 1981. Effects of Hydrodynamics on the Distribution of Lake Benthos // Perspectives in Running Water Ecology. P. 251. Boston: Springer. https://doi.org/.org/10.1007/978-1-4684-1122-5_11
- Berezina N.A., Zhakova L.V., Zaporozhets N.V., Panov V.E. 2009. Key role of the amphipod Gmelinoides fasciatus in reed beds of Lake Ladoga // Boreal Environ. Res. V. 14. P. 404.
- Barbashova M.A., Trifonova M.S., Kurashov E.A. 2021. Features of the Spatial Distribution of Invasive Amphipod Species in the Littoral of Lake Ladoga // Rus. J. Biol. Invasions. V. 12. P. 136. https://doi.org/.org/10.1134/S207511172102003X
- Burlakova L.E., Barbiero R.P., Karatayev A.Y. et al. 2018. The benthic community of the Laurentian Great Lakes: Analysis of spatial gradients and temporal trends from 1998 to 2014 // J. Great Lakes Res. V. 44(4). P. 600. https://doi.org/.org/https://doi.org/10.1016/j.jglr.2018.04.008
- Clarke K.R. 1993. Non-parametric multivariate analyses of changes in community structure // Austral. Ecol. V. 18. P. 117.
- Clarke K.R., Warwick R.M. 2001. Change in marine communities: an approach to statistical analysis and interpretation. Plymouth: Plymouth Mar. Lab.
- Cranston P.S. 1990. Biomonitoring and invertebrate taxonomy // Environ. Monit. Assess. V. 14. P. 265. https://doi.org/.org/10.1007/BF00677921
- Hammer Ø., Harper D.A.T., Ryan P.D. 2001. PAST: Paleontological statistics software package for education and data analysis // Palaeontologia Electronica. V. 4(1). P. 9. https://palaeo-electronica.org/2001_1/past/issue1_01.htm
- Koszalka J. 2012. Effect of Environmental Factors on Communities of Bottom Fauna in Littoral Zones of Ten Lakes in the Wel River Catchment // Pol. J. Environ. Stud. V. 21(5). P. 1273.
- Kravtsova L.S., Kamaltynov R.M., Karabanov E.B. et al. 2004. Macrozoobenthic communities of underwater landscapes in the shallow-water zone of southern Lake Baikal // Hydrobiologia. V. 522. P. 193. https://doi.org/.org/10.1023/B:HYDR.00000 29979.68265.3e
- Kravtsova L.S., Timoshkin O.A., Rozhkova N.A. et al. 2009. Seasonal variations of macrozoobenthos as a basis for predicting ecological processes in the coastal zone of Lake Baikal // Guides and keys to identification of fauna and flora of Lake Baikal. Novosibirsk: Nauka. P. 827.
- Müllner D. 2013. fastcluster: Fast Hierarchical, Agglomerative Clustering Routines for R and Python // J. Statist. Software. V. 53(9). P. 1. https://doi.org/.org/10.18637/jss.v053.i09
- Namayandeh A., Quinlan R. 2011. Benthic Macroinvertebrate Communities in Arctic Lakes and Ponds of Central Nunavut, Canada // Arctic, Antarctic and Alpine Res. V. 43(3). P. 417. https://doi.org/10.1657/1938-4246-43.3.417
- Naumenko M.A., Guzivaty V.V., Dudakova D.S. et al. 2022. Bottom Morphostructure of the Valaam Archipelago in Lake Ladoga: First Video Images and Quantitative Assessments // Dokl. Earth Sci. V. 507. Р. 959. https://doi.org/.org/10.1134/S1028334X2260061X
- O’Malley B.P., Dillon R.A., Paddock R.W. et al. 2018. An underwater video system to assess abundance and behavior of epibenthic Mysis // Limnol., Oceanogr: Methods. V. 16(12). P. 868. https://doi.org/10.1002/lom3.10289
- Quinn J. M., Hickey C. W., Linklater W. 1996. Hydraulic influences on periphyton and benthic macroinvertebrates: Simulating the effects of upstream bed roughness // Freshwater Biol. V. 35. P. 301. https://doi.org/.org/10.1046/j.1365-2427.1996.d01-466.x
- Romano E., Magno M.C., Bergamin L. 2017. Grain size data analysis of marine sediments, from sampling to measuring and classifying, A critical review. International Conference on Metrology for the Sea. Naples, Italy, October 11–13, 2017. P. 174.
- Schindler D.E., Scheurell M. 2002. Habitat coupling in lake ecosystems // Oikos. V. 98(2). P. 177. https://doi.org/.org/10.1034/j.1600-0706.2002.980201.x
- Schmieder K. 2004. European lake shores in danger — concepts for a sustainable development // Limnologica. V. 34(1–2). P. 3. https://doi.org/.org/10.1016/S0075-9511(04)80016-1
- Shteinman B., Kamenir Y., Gophen M. 1999. Effect of hydrodynamic factors on benthic communities in Lake Kinneret // Developments in Hydrobiology. V. 143. Dordrecht: Springer.
- Timm T. 2009. A guide to the freshwater Oligochaeta and Polychaeta of Northern and Central Europe // Lauterbornia. V. 66. P. 1.
- Tolonen K. 2004. Patterns in diversity and assemblages of lake littoral macroinvertebrates in relation to abiotic and biotic factors. Joensuu: University of Joensuu. P. 108.
- Vadeboncoeur Y., McIntyre P.B., Vander Zanden M.J. 2011. Borders of Biodiversity: Life at the Edge of the World’s Large Lakes // BioScience. V. 61(7). P. 526. https://doi.org/.org/10.1525/bio.2011.61.7.7
- Wickham H. 2016. ggplot2: Elegant Graphics for Data Analysis. N.Y.: Springer. https://ggplot2.tidyverse.org.
- White J., Irvine K. 2003. The use of littoral mesohabitats and their macroinvertebrate assemblages in the ecological assessment of lakes // Aquatic Conservation: Mar. Freshwater Ecosystems. V. 13(4). P. 331. https://doi.org/.org/10.1002/aqc.586
Supplementary files




