Использование базы знаний при построении цифрового двойника процесса взаимодействия молекулярных систем
- Авторы: Смирнова Ю.А.1, Марьенков А.Н.1, Тарабановская Е.С.1
-
Учреждения:
- ФГБОУ ВО «Астраханский государственный университет им. В. Н. Татищева»
- Выпуск: Том 30, № 2 (2024)
- Страницы: 256-266
- Раздел: Автоматика. Информатика. Управление. Приборы
- URL: https://ogarev-online.ru/0136-5835/article/view/278045
- DOI: https://doi.org/10.17277/vestnik.2024.02.pp.256-266
- ID: 278045
Цитировать
Полный текст
Аннотация
Проведен анализ проблемы подбора параметров при построении цифрового двойника процесса взаимодействия молекулярных систем. Цифровой двойник процесса взаимодействия молекулярных систем позволяет проводить компьютерное моделирование, в результате которого может быть получена сложная молекулярная система. Предложена новая методика анализа и обработки информации квантово-химических расчетов. Рассмотрены особенности, которые используются в процессе моделирования синтеза сложной молекулярной системы. Обоснована необходимость автоматизации процесса подбора параметров моделирования молекулярных взаимодействий. Дано описание продукционных правил и параметров процесса моделирования взаимодействия между двумя молекулярными системами, составленных на основе предыдущих экспериментов. Представлена схема базы знаний на основе продукционных правил для автоматизированной и информационной поддержки принятия решений при подборе геометрических параметров при взаимодействии молекулярных систем. Использование новой методики и формализованного описания знаний увеличило скорость подбора параметров при построении цифрового двойника процесса взаимодействия молекулярных систем и позволило значительно снизить время, затрачиваемое на моделирование.
Полный текст
Введение
В различных отраслях промышленности (фармацевтической, химической, нефтяной и др.) возникает задача моделирования процесса взаимодействия в сложных молекулярных системах (СМС) [1 – 3]. При этом взаимодействие между молекулярными системами (МС) обычно происходит за счет образования водородной связи. Атомы, между которыми образовалась связь, называются активными центрами (АЦ), которые определяют формирование структуры СМС. Моделирование процесса образования АЦ способствует более глубокому пониманию механизмов взаимодействий между молекулами, позволяет вести целенаправленный подбор ингибиторов, осуществлять поиск антидотов, выявлять новые свойства веществ и т.п.
Любое моделирование взаимодействия молекулярных систем предусматривает несколько этапов, на каждом из которых обрабатываются большие массивы разнородной и часто плохо структурированной информации.
На данный момент нет программных комплексов, позволяющих выполнять все этапы моделирования процесса образования сложной молекулярной структуры (взаимодействия молекулярных систем) и проводить поиск активных центров.
В качестве нового решения предлагается методика моделирования взаимодействия двух молекулярных систем, в которой используется подход на основе построения цифрового двойника процесса взаимодействия сложных молекулярных систем, основанный на комплексном учете физических и геометрических особенностей взаимодействия отдельных атомов между собой. Это позволяет выявить молекулярные комплексы, реализация которых потенциально (физически) возможна. При этом предлагается сохранять полученные результаты правил взаимодействия в специализированную базу знаний, представленную в виде продукционных правил. Полученная база знаний может быть использована для дальнейшего ретроспективного поиска, что, в свою очередь, позволяет сократить время расчетов при исследовании других молекулярных структур.
Методика моделирования взаимодействия двух молекулярных систем
Разработанная методика моделирования взаимодействия двух молекулярных систем разбита на несколько этапов.
Этап 1. Составление формализованного компьютерного представления взаимодействующих молекул.
Наиболее распространенным способом записи модели молекулы в виде формализованного компьютерного представления является Z-матрица. [4] Общая структура матрицы предоставлена в формуле (1). Поскольку существующие программные комплексы формируют Z-матрицы в различных, не совместимых между собой форматах, необходимо осуществлять их трансформирование к единому виду. Для этого предлагается использовать методику, подробное описание которой приведено в [5, 6].
, (1)
где Ai – элемент системы (имя химического элемента); i – порядковый номер элемента системы; R – межатомное расстояние; α – валентный угол, образуемый между элементами системы; φ – двугранный угол, образованный плоскостями.
Каждому атому присваивается порядковый номер в данной n-атомной системе.
Этап 2. Составление описания взаимодействия двух молекулярных систем в виде формализованного компьютерного представления.
При составлении моделирования взаимодействия двух молекулярных систем необходимо описать СМС в виде формализованного компьютерного представления. Для этого необходимо:
- – представить обе МС в виде формализованного компьютерного представления (матрицы Z1, Z2);
- – составить множество SПАЦ потенциальных активных центров (ПАЦ) – множество атомов, благодаря которым может образовываться взаимодействие между двумя молекулами (так называемая водородная связь).
Теоретически образовывать водородную связь могут семь атомов: F, O, N, Cl, Br, I, S, с одной стороны, и атом Н – с другой [7]. Представим данную закономерность в виде
, (2)
где ; – элементы МС 1 и 2.
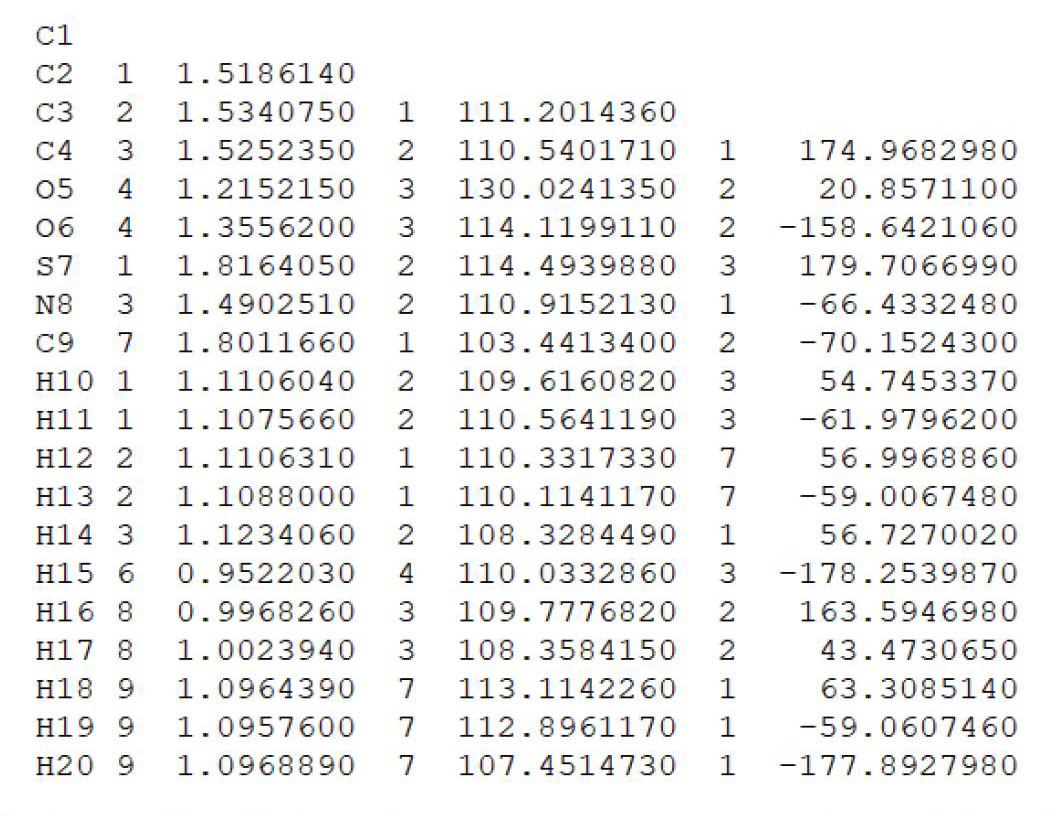
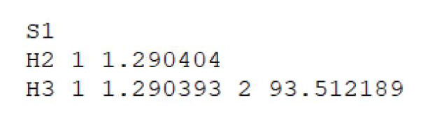
Рассмотрим две МС: Z1 – метионин (Риc. 1); Z2 – сероводород (рис. 2).
Риc. 1. Формализованное компьютерное представление молекулы «метионин»
Рис. 2. Формализованное компьютерное представление молекулы «сероводород»
На основе данных МС формируется список ПАЦ взаимодействия «метионин – сероводород»
(3)
Этап 3. Подбор параметров описания сложной молекулярной системы.
Рис. 3. Трансформация молекулярного графа сероводорода
- Трансформировать структуры МС Z2 [8]. Чтобы установить соединение между конкретными элементами двух МС, необходимо МС Z2 трансформировать так, чтобы в первой строке матрицы стоял элемент, с которым устанавливается связь. Поскольку все элементы системы связаны с другими элементами, то для более эффективной и быстрой работы с элементами предлагается представить данную связанную последовательность в виде молекулярного графа. Под трансформацией молекулярного графа будем считать его перестроение, начиная с новой вершины. На основе трансформированного графа формируется новое формализованное описание МС относительно нужного элемента.
На рисунке 3 представлена трансформация молекулярного графа молекулы сероводорода.
- Объединить две молекулярные системы относительно каждого ПАЦ
, (4)
где
. (5)
Приведем общую структуру СМС
(6)
- Подобрать параметры присоединения. Один из главных этапов в процессе составления СМС – описание геометрических параметров устойчивого состояния. Приведем общую структуру СМС с параметрами
, (7)
где – две Z-матрицы (системы); – пара элементов; – ПАЦ МС ; , – элемент, связанный с в МС ; – расстояние водородной связи; – валентный угол; – плоскостной угол.
Рассмотрим каждый критерий более подробно:
1) .
С помощью ван-дер-ваальсовых радиусов рассчитаем расстояние, на которое физически могут сблизиться атомы:
(8)
2)
; (9)
3)
. (10)
Таким образом, описание геометрических параметров устойчивого состояния СМС, а именно подбор параметров, может быть представлен следующей формулой:
. (11)
Для составления СМС необходимо перебирать все возможные варианты определения критериев (параметров). Например, если рассматривать взаимодействие между атомами фтора и водорода, то расстояние водородной связи между этими элементами от 1,2 до 2,56 согласно (8).
Тогда необходимо для параметра рассмотреть значение связи 1,2, а для параметра подставлять последовательно значения согласно (9):
1 вариант – – 1,2; – 45;
2 вариант – – 1,2; – 55;
………… ………… ………… ………….
11 вариант – – 1,2; – 280.
Таким образом, получается 11 вариантов (комбинаций). Каждую комбинацию необходимо проверить на модель существования, используя стороннюю программу квантово-химических расчетов. Если квантово-химический расчет не прошел, то такая реализация потенциально (физически) невозможна. Поэтому необходимо увеличить на 0,01 и повторить перебор углов.
Тогда число комбинаций возможного взаимодействия между фтором и водородом составит 319. Поскольку для построения цифрового двойника процесса взаимодействия МС необходимо перебрать большое число параметров, влияющих на условия формирования СМС, вычислительная сложность алгоритма при прямом переборе возрастает настолько, что процесс построения цифрового двойника может занимать от нескольких часов до нескольких дней. Ускорить построение цифрового двойника процесса взаимодействия МС можно за счет использования ранее полученной информации о подобранных параметрах. Если в случае моделирования новой молекулярной структуры в качестве основной Z1 рассматривается система, для которой уже проведен подбор параметров, то можно использовать имеющуюся информацию прошлых экспериментов, за счет чего сокращается время подбора новых параметров.
Для этого разработана система поддержки принятия решений на основе базы продукционных правил (БПП) [9], где хранятся правила, описывающие условия, при которых возможно формирование СМС из числа ранее рассмотренных МС. Общая схема использования БПП для информационной поддержки принятия решений при подборе параметров моделирования СМС представлена на рис. 4.
Рис. 4. Общая схема использования БПП для информационной поддержки принятия решений при подборе параметров моделирования сложной молекулярной системы
Приведем алгоритм использования БПП для информационной поддержки принятия решений при подборе параметров моделирования СМС:
Шаг 1. Пользователь посылает на вход приложения название двух МС (Z1, Z2).
Шаг 2. Приложение подает запрос в базу данных (БД). База данных, согласно запросу, возвращает две описанные структуры каждой МС в отдельных кортежах.
Шаг 3. Приложение принимает кортежи и передает запрос в БПП: если молекулярная система Z1 проходила расчет взаимодействия и элемент являлся активным центром, то из БПП берутся показатели предыдущих расчетов
(12)
где – расстояние водородной связи; – потенциально активный центр основной молекулярной системы; – валентный угол; – плоскостной угол; – элементы, связанные с ; – валентный угол между вторым атомом МС присоединения и атомом основной МС; – плоскостной угол между вторым атомом МС присоединения и атомами основной МС; – плоскостной угол между третьим атомом МС присоединения и атомами основной МС; k – коэффициент правила.
При этом, если подходящее правило обнаружено и таких правил несколько, то выбирается то, которое имеет наиболее высокий коэффициент (коэффициент выставляется на основе частоты успешного использования данного правила). База продукционных правил возвращает правило.
Шаг 4. На основе правила составляется сложная молекулярная система.
Шаг 5. Происходит расчет устойчивой структуры с использование сторонней квантово-химической программы. Проверяется образование СМС.
Шаг 6. Выгружается устойчивая структура СМС.
Шаг 7. Для использованного правила увеличивается его коэффициент.
Шаг 8. Коэффициент добавляется в БПП.
Если подходящее правило в БПП не найдено, то алгоритм продолжает подбирать параметры прямым перебором и, в случае успеха, добавляет в БПП найденные параметры в качестве нового правила.
Рассмотрим пример заполнение БПП параметрами моделирования процесса взаимодействия на примере взаимодействия метионина с лецитином:
- – лецитин-система, состоящая из 46 элементов (атомов);
- – метионин-система, состоящая из 20 элементов (атомов).
При полном переборе без использования предлагаемой методики необходимо было бы проверять 920 предполагаемых соединений. С использованием методики, согласно (1), исключаются 725 и остается проверить 195 предполагаемых соединений. После составления всех возможных объединений (взаимодействий) получено: 126 сложных молекулярных систем; 22 активных центра; 22 новых правила для БПП. Так как ни одно правило из БПП не подошло для расчета из-за того, что молекулярная система «лецитин» не была рассчитана ранее, то для подбора геометрических параметров используется прямой перебор, а найденные параметры добавляются в качестве нового правила. Моделирование проводилось 18 ч.
Проверка работы правил
Для построения цифрового двойника процесса взаимодействия молекулярных систем использованы МС лецитина и сероводорода:
- – лецитин-система, состоящая из 46 элементов (атомов);
- – сероводород-система, состоящая из трех элементов (атомов).
При полном переборе без использования методики необходимо проверить 138 предполагаемых соединений. С использованием методики, согласно (1), исключаются 96 предполагаемых соединений и остается проверить 42. После составления всех возможных объединений (взаимодействий) получено: 30 сложных молекулярных систем; 30 активных центров; 10 новых правил для БПП. В ходе моделирования применено 20 правил. Моделирование проводилось 5 ч.
Заключение
Таким образом, в работе представлена новая методика построения цифрового двойника процесса взаимодействия молекулярных систем, в основе которой используется цифровой двойник процесса взаимодействия молекулярных систем с применением продукционных правил. Практическая значимость полученных результатов заключается в эффективном практическом применении разработанного на основе предложенной методики программного обеспечения. Проведенный эксперимент по моделированию СМС с применением предложенной методики, использующей продукционные правила, и методики на основе прямого перебора показал, что новая методика позволила значительно сократить время на моделирование СМС, поскольку при проведении второго эксперимента использовались результаты, полученные ранее из первого эксперимента. Данную методику и разработанный на ее основе программный комплекс можно использовать как один из этапов при поиске активных центров межмолекулярных взаимодействий.
Исследование выполнено при поддержке Программы развития Астраханского государственного университета (Приоритет-2030).
Об авторах
Юлия Александровна Смирнова
ФГБОУ ВО «Астраханский государственный университет им. В. Н. Татищева»
Автор, ответственный за переписку.
Email: 2013qwer22@gmail.com
старший преподаватель кафедры информационных технологий
Россия, АстраханьАлександр Николаевич Марьенков
ФГБОУ ВО «Астраханский государственный университет им. В. Н. Татищева»
Email: 2013qwer22@gmail.com
кандидат технических наук, доцент, заведующий кафедрой информационных технологий
Россия, АстраханьЕкатерина Сергеевна Тарабановская
ФГБОУ ВО «Астраханский государственный университет им. В. Н. Татищева»
Email: 2013qwer22@gmail.com
студент, кафедра информационных технологий
Россия, АстраханьСписок литературы
- Золотарева, Н. В. Основы квантовой механики в вопросах и задачах. Модельные примеры квантовой химии : учеб.-метод. пособие / Н. В. Золотарева. – Астрахань : Изд-во Сорокина Р. В., 2020. – 58 с.
- Климов, В. В. Основы квантово-химического анализа : метод. указания к лабораторным работам. Часть 1 / В. В. Климов, Т. П. Алейникова, В. А. Козловцев. – Волгоград : Изд-во Волгоград. гос. тех. ун-та, 2017. – 32 с.
- Золотарева, Н. В. Численные методы анализа в химии для студентов, обучающихся по химическим направлениям и педагогическим направлениям с двумя профилями подготовки очной и очно-заочной форм обучения : учеб. пособие / Н. В. Золотарева. – Астрахань : Изд-во Сорокина Р. В., 2020. – 78 с.
- Аликберова, Л. Ю. Основы строения вещества : метод. пособие. – Текст: электронный / Л. Ю. Аликберова, Е. В. Савинкина, М. Н. Давыдова. – М. : МИТХТ им. М. В. Ломоносова, 2004. – 1 электрон. опт. диск (CD-ROM).
- Смирнова, Ю. А. Разработка алгоритма и метода трансформации записи атомно-молекулярных систем / Ю. А. Смирнова, Л. И. Головацкая // Прикаспийский журнал: управление и высокие технологии. – 2022. – № 2(58). – С. 61 – 67.
- Свидетельство о государственной регистрации программы для ЭВМ 2022614450 Российская Федерация. ПРОГРАММА ДЛЯ ЭВМ «TFinG» / Ю. А. Смирнова, Л. И. Головацкая ; заявитель ФГБОУ ВО «Волжский государственный университет водного транспорта». – № 2022613564 ; заявл. 15.03.2022 ; опубл. 22.03.2022. – 1 с.
- Тараскин, Д. В. Структура программного обеспечения для выявления потенциальных активных центров между двумя молекулами / Д. В. Тараскин, Л. И. Жарких // Вестник Технологического университета. – 2019. – Т. 22, № 12. – С. 117 – 121.
- Смирнова, Ю. А. Особенности программной реализации методики трансформации молекулярных систем / Ю. А. Смирнова, А. Н. Марьенков // Моделирование, оптимизация и информационные технологии. – 2023. – Т. 11, № 4(43). – 13 с. doi: 10.26102/2310-6018/2023.43.4.023
- Свидетельство о государственной регистрации программы для ЭВМ 2023669622 Российская Федерация. Система поддержки принятия решений геометрических параметров для составления сложных молекулярных систем / Ю. А. Смирнова, А. Н. Марьенков, Е. С. Тарабановская. – № 2023668546 ; заявл. 06.09.2023 ; опубл. 18.09.2023. – 1 с.
Дополнительные файлы






