Оценка температурной погрешности при проектировании систем управления обогревом теплиц элементами с открытой спиралью
- Авторы: Хвостов А.А.1,2, Слюсарев М.И.3, Журавлев А.А.3, Битюков В.К.2, Хаустов И.А.2, Романов Р.А.2
-
Учреждения:
- ФГБОУ ВО «Воронежский государственный технический университет»
- ФГБОУ ВО «Воронежский государственный университет инженерных технологий»
- ВУНЦ ВВС «Военно-воздушная академия имени профессора Н. Е. Жуковского и Ю. А. Гагарина»
- Выпуск: Том 30, № 2 (2024)
- Страницы: 219-233
- Раздел: Автоматика. Информатика. Управление. Приборы
- URL: https://ogarev-online.ru/0136-5835/article/view/278042
- DOI: https://doi.org/10.17277/vestnik.2024.02.pp.219-233
- ID: 278042
Цитировать
Полный текст
Аннотация
Представлена методика оценки погрешности расчета температуры проводника в ходе его нагрева при прохождении через него электрического тока с учетом температурной зависимости сопротивления проводника. На основе тепловых балансовых соотношений получены зависимости для оценки динамики погрешностей расчета температуры открытой спирали нагревательного элемента в процессе нагрева. Математическая модель нагрева дополнена зависимостью сопротивления проводника от температуры, что позволило оценить погрешность расчета в установившемся режиме и в динамике. Вычислительные эксперименты показали снижение абсолютной и относительной погрешностей расчетов при увеличении диаметра проводника и скорости его обдува воздухом.
Ключевые слова
Полный текст
Введение
Агропромышленный комплекс относится к числу приоритетных отраслей народного хозяйства. В 2012 году Правительством РФ принята Государственная программа развития сельского хозяйства и регулирования рынков сельскохозяйственной продукции, сырья и продовольствия на 2013 – 2020 годы (от 14 июля 2012 № 717) [1]. Одним из направлений данной программы является подпрограмма «Развитие подотрасли растениеводства, переработки и реализации растениеводства», предусматривающая проведение мероприятия «Развитие производства продукции растениеводства в защищенном грунте». Данное мероприятие должно быть направлено на разработку новых ресурсосберегающих технологий выращивания тепличных овощных культур, а также на разработку новых и усовершенствование существующих конструкций теплиц, технологического оборудования и систем обеспечения микроклимата теплиц и грибоводческих комплексов для повышения урожайности и качества овощей [1, 2].
Теплицы, являясь наиболее практичным видом культивационного сооружения, гарантируют получение стабильно высоких урожаев в силу их малой зависимости от погодных условий и возможности создания оптимального искусственного микроклимата, управления питанием растений в период вегетации культур [2, 3].
Фактором, сдерживающим развитие тепличных хозяйств, являются значительные затраты на создание оптимального микроклимата в теплицах, составляющие свыше 40 % в себестоимости продукции, выращенной в условиях тепличного хозяйства. Кроме этого, замедляющим фактором является продолжительный период низких температур на территории РФ, а также рост цен на энергоресурсы.
В этой связи актуальным направлением является разработка современных энергосберегающих технологий и устройств их реализации, обеспечивающих создание оптимального микроклимата в теплицах, к числу основных показателей которого относят температуру воздуха и грунта, их влажность, освещенность, движение воздуха и его состав. Все эти параметры равнозначны, незаменимы и взаимосвязано воздействуют на возделываемую агрокультуру. Оптимальный уровень микроклимата в теплице обеспечивает наилучшие условия для роста и развития сельскохозяйственных культур [3]. Наиболее важным параметром микроклимата в теплице является температура воздуха и грунта.
Теплица, как объект автоматического управления температурным режимом, характеризуется нестационарностью и распределенностью параметров и воздействием возмущений в виде изменения степени загрязнения ограждений, нарастания объема листостебельной массы и пр. В то же время агротехнические нормы предписывают высокую точность поддержания температуры (1 °С) воздуха и почвы, а также ее адаптацию к изменяющимся фазам развития сельхозкультуры и параметрам внешней среды (смена времени суток и года, изменение солнечной активности и пр.).
Наиболее распространенные отопительные системы с горячей водой, а также системы обогрева на базе угольных и газовых печей не всегда могут быть реализованы в географически удаленных зонах, характеризующихся отсутствием газораспределительных сетей и развитой автотранспортной инфраструктуры для доставки углеводородного сырья, в которых электричество является единственным доступным стабильным источником энергии.
В этой связи более перспективным является использование электротехнических систем подогрева воздуха и грунта, выполненных на базе электронагревательных элементов в виде открытой или закрытой спирали [4]. Сравнительный анализ традиционных систем обогрева теплиц с электротехническими системами показал перспективность и эффективность последних [5].
Существующие расчеты геометрии и режима работы нагревательных элементов, как правило, осуществляются без учета влияния температуры проводника на его сопротивление с использованием значения номинального сопротивления при некоторой «рабочей» температуре [6]. В ряде случаев осуществляется оценка работы проектируемой системы в различных температурных режимах с использованием табличных значений сопротивлений или расчетов сопротивлений по зависимостям, связывающим их с температурой [7, 8]. Действительно, при обогреве больших объемов воздух, использовании конвективного отвода тепла от проводника или в случае незначительных отклонений температуры включения от рабочей влиянием температуры можно пренебречь. Однако в случае нагрева сравнительно небольших объемов (когда может осуществляться локальный резкий нагрев проводника), низкой интенсивности конвекции около проводника, существенной зависимости сопротивления проводника от температуры и т.д. влияние температуры проводника на его сопротивление будет существенным и приведет к росту погрешности расчетов. В этом случае при расчетах и проектировании нагревательных элементов, а также при оценке их динамических характеристик необходимо использовать модель нагрева, учитывающую зависимость сопротивления проводника от температуры.
Методика
Рассмотрим открытую спираль в виде однородного проводника, по которому протекает электрический ток [6, 9]. Количество теплоты, которое выделяется в проводнике за счет прохождения электрического тока, расходуется на нагрев проводника и отведение с поверхности конвекцией (излучением при этом пренебрегаем)
, (1)
где I – сила тока, проходящего по проводнику, А; R – сопротивление проводника, Ом; G – масса проводника, кг; с – удельная теплоемкость материала проводника, Дж/(кг×К); α – коэффициент теплоотдачи, Вт/(м2×К); F – площадь поверхности теплообмена проводника, м2; T – температура проводника, °С; T0 – начальная температура проводника (равна температуре воздуха, окружающего проводник), °С; t – время, с.
Разделим правую и левую части (1) на dt и запишем относительно неизвестного (T – T0)
. (2)
Полученное дифференциальное уравнение описывает нагрев проводника при постоянном сопротивлении без учета температурной поправки. Введем дополнительно зависимость сопротивления от температуры [6]
, (3)
где R0 – сопротивление проводника при температуре T0, Ом; – температурный коэффициент сопротивления, K–1.
Тогда перепишем уравнение (2) в следующем виде:
. (4)
Решение (4) будет следующим [9]:
. (5)
При (5) сводится к зависимости с постоянным сопротивлением
. (6)
В установившемся режиме оценим температуру проводника как для (5)
, (7)
и для (6)
. (8)
Для оценки средней погрешности расчета температуры спирали без учета температурной зависимости сопротивления проводника от температуры рассчитаем среднюю температуру спирали за время нагрева τ без учета температурной поправки [10]
, (9)
и с ее учетом
(10)
Соответствующие значения в установившемся режиме оценим как для (9)
, (11)
что соответствует (8), и для (12)
, (12)
что соответствует (7).
Полученные формулы (5) – (12) позволяют вывести зависимости для оценок абсолютной погрешности за время нагрева τ
; (13)
средней абсолютной погрешности за время нагрева τ
; (14)
а также абсолютной и относительной погрешности в установившемся режиме:
; (15)
. (16)
По формулам (13) – (16) можно оценить возможную погрешность при расчете, проектировании или оценке статических и динамических характеристик систем управления нагревательными элементами с открытой спиралью.
Коэффициент теплоотдачи α, входящий в уравнения динамики нагрева (5) и (6), может быть определен по критерию Нуссельта Nu
, (17)
где dсп – диаметр спирали, м; λсп – коэффициент теплопроводности материала спирали, Вт/(м×K).
Критерий Нуссельта в свою очередь связан с критериями Рейнольдса Re, Грасгофа Gr и Прандтля Pr [11, 12]:
, (18)
где – скорость движения воздуха, м/с; – плотность воздуха, кг/м3; – динамическая вязкость воздуха, Па×с;
, (19)
где – коэффициент температурного расширения воздуха, K–1; – температурный напор между поверхностью спирали и воздухом, °С;
, (20)
где – удельная теплоемкость воздуха, Дж/(кг×м3); – коэффициент теплопроводности воздуха, Вт/(м·K).
Теплообмен между нагретой спиралью и окружающим ее воздухом может осуществляться в условиях как естественной, так и вынужденной конвекции.
При естественной конвекции перемещение отдельных объемов воздуха происходит исключительно вследствие различия температур в его разных местах и вызванного этим различия плотностей. В этом случае критерием Рейнольдса допустимо пренебречь и критерий Нуссельта Nu связан только с критериями Грасгофа Gr и Прандтля Pr.
По данным академика М. А. Михеева [12], в условиях естественной конвекции возле тонких нагретых проволок возникает пленочный или переходной от пленочного к ламинарному режимы течения теплоносителя.
Для таких случаев критерий Нуссельта может быть вычислен как
(21)
В случае вынужденной конвекции интенсивность принудительного движения теплоносителя преобладает над интенсивностью его свободного движения. В этой связи критерий Нуссельта зависит от критерия Рейнольдса. Критерием Грасгофа допустимо пренебречь.
В условиях вынужденной конвекции при поперечном обтекании воздушного потока поверхности цилиндра или трубы критерий Нуссельта может быть вычислен как [12]:
(22)
Располагая значением критерия Нуссельта, из формулы (17) можно определить значение коэффициента теплоотдачи для данных условий
. (23)
Экспериментальная часть
Проведем серию вычислительных экспериментов на примере конвективного теплообмена между воздухом и нагретой открытой спирали при протекании по ней электрического тока [9, 10].
Исследуем зависимости (13) – (16) на предмет чувствительности ошибки расчетов без учета температуры к изменению параметров, входящих в (13) – (16) и которые могут варьироваться в процессе проектирования или расчета нагревательного элемента.
Как видно из (13) – (16), влияние на погрешность расчетов оказывают параметры I, F, G, C, α, α*, R0. Поскольку величины I, F, G, C взаимосвязаны функционально и определяются в большей степени геометрией проводника, их можно охарактеризовать диаметром проводника, через изменение которого произойдет изменение перечисленных выше параметров (13) – (16). Коэффициент теплоотдачи a определяется в основном расходом воздуха при обдуве и площадью поверхности теплообмена, α α*, R0 – типом материала. Таким образом, целесообразно провести исследование влияния диаметра проводника dсп, расхода воздуха (нагреваемой среды) V и типа материала (α*, R0).
В качестве объекта моделирования принята электрическая спираль, изготовленная из никель-хромового сплава нихром Х20Н80, теплофизические характеристики которого представлены ниже.
Удельное электрическое сопротивление r, Ом/(мм2×м)....... | 1,1 |
Плотность rсп, кг/м3.................................................................................. | 8300 |
Удельная теплоемкость cсп, Дж/(кг×K)............................................ | 440 |
Температурный коэффициент сопротивления α*, K–1............ | 0,0002 |
Приведем теплофизические свойства воздуха (при температуре 20 °С).
Коэффициент теплопроводности lв, Вт/(м×K)........................ | 0,0305 |
Плотность rв, кг/м3............................................................................. | 1,5 |
Динамическая вязкость mв, Па×с.............................................. | 0,000021 |
Коэффициент температурного расширения bв, K–1......... | 0,00343 |
Удельная теплоемкость cв, Дж/(кг×м3)................................... | 1009 |
Эксперимент № 1. Оценка влияния температурной зависимости сопротивления на погрешность вычисления температуры спирали.
Диаметр спирали 0,8 мм. Электрическая мощность, выделяемая в спирали при прохождении тока, 1000 Вт (при напряжении U = 220 В). Начальная температура спирали и температура окружающего воздуха принята T0 = 20 °С. Скорость движения воздуха м/с.
По известным соотношениям [6] вычислены параметры нагревательного элемента: сила тока I, электрическое сопротивление R0 (при T0 = 20 °С), длина спирали L, масса G и площадь поверхности теплообмена F.
Сила тока I, А................................................................. | 4,545 |
Электрическое сопротивление R0, Ом............. | 48,4 |
Площадь поверхности теплообмена F, м....... | 0,055 |
Масса проводника G, кг........................................... | 0,092 |
Длина L, м........................................................................ | 22,1 |
Критерии Рейнольдса Re, Прандтля Pr и Нуссельта рассчитаны по формулам (18), (19) и (20) соответственно. Значение коэффициента теплоотдачи a вычислено по формуле (26). Температура в установившемся режиме с учетом и без учета температурной зависимости сопротивления рассчитаны по формулам (7) и (8) соответственно. Абсолютная и относительная погрешности – по формулам (15) и (16). Приведем ниже результаты вычислительного эксперимента № 1.
Критерии: Рейнольдса Re................................................................................. |
56,87 |
Прандтля Pr...................................................................................... | 0,7 |
Нуссельта Nu................................................................................... | 3,43 |
Коэффициент теплоотдачи a, Вт/(м2×K)............................ | 130,88 |
Температура в установившемся режиме, °С: – с учетом температурной зависимости сопротивления ....... |
161,48 |
– без учета температурной зависимости сопротивления ...... | 157,58 |
Погрешность: – абсолютная , °С................................................................................. |
3,97 |
– относительная , %............................................................................. | 2,5 |
На рис. 1, 2 представлены результаты моделирования процесса нагрева открытой спирали.
Расчетная погрешность расчета температуры нагрева без учета температурной поправки в установившемся режиме – 3,97 °С, что составило относительно предельного значения (161,48 °С) 2,5 %.
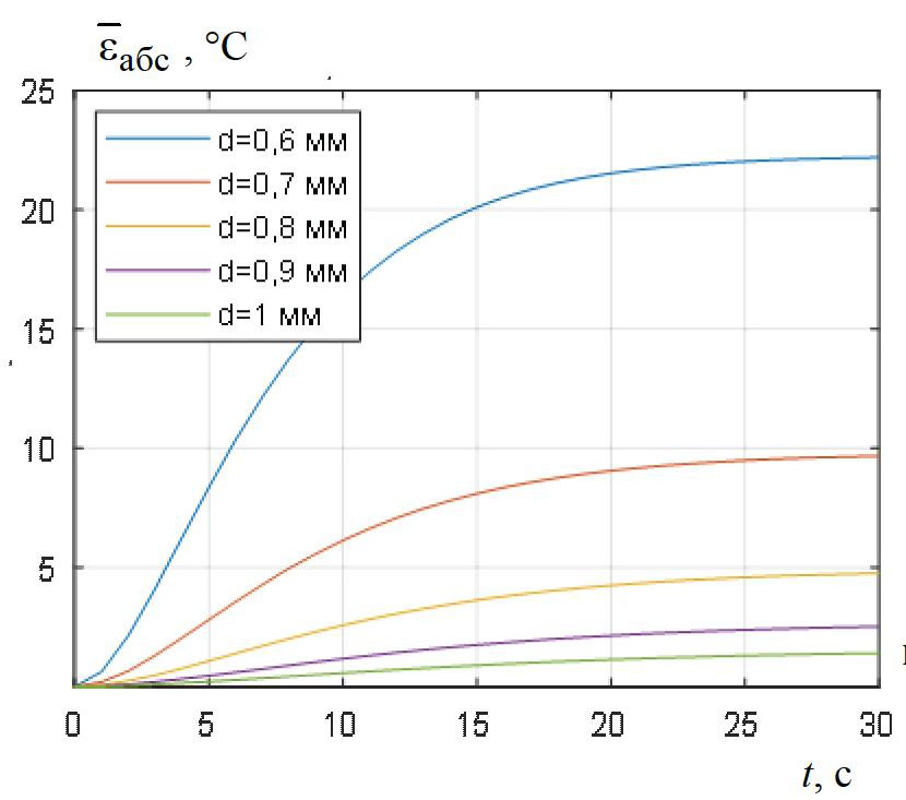
Эксперимент № 2. Оценка влияния диаметра нагревательного элемента на погрешность вычисления температуры спирали.
Электрическая мощность, выделяемая в спирали при прохождении тока, 1000 Вт (при напряжении U = 220 В). Начальная температура спирали и температура окружающего воздуха принята T0 = 20 °С. Скорость движения воздуха м/с. Диаметр спирали dсп варьировали в диапазоне от 0,6 до 1,0 мм с шагом 0,1 мм.
Рис. 1. Изменение температуры спирали при ее нагреве с температурной поправкой (1) и без нее (2)
Рис. 2. Изменение абсолютной погрешности расчета температуры спирали при ее нагреве
По известным соотношениям [6] для заданного диаметра нагревательного элемента вычислены те же параметры, что и в эксперименте № 1, а также площадь поперечного сечения S (табл. 1).
Таблица 1
Параметры нагревательного элемента
Параметр | Диаметр нагревательного | ||||
0,6 | 0,7 | 0,8 | 0,9 | 1,0 | |
Сила тока I, А | 4,54 | ||||
Электрическое сопротивление R0, Ом | 48,4 | ||||
Площадь поперечного сечения S, мм2 | 0,283 | 0,385 | 0,502 | 0,636 | 0,785 |
Длина L, м | 12,43 | 16,92 | 22,11 | 27,98 | 34,54 |
Масса G, кг | 0,029 | 0,054 | 0,092 | 0,147 | 0,225 |
Площадь поверхности теплообмена F, м2 | 0,023 | 0,037 | 0,055 | 0,079 | 0,108 |
Критерии Рейнольдса Re, Прандтля Pr и Нуссельта Nu рассчитаны по формулам (21), (23) и (25) соответственно. Значение коэффициента теплоотдачи a вычислено по формуле (23). Температура в установившемся режиме с учетом и без учета температурной зависимости сопротивления рассчитаны по формулам (7) и (8) соответственно. Абсолютная и относительная погрешности – по формулам (15) и (16). Результаты вычислительного эксперимента № 2 представлены в табл. 2 и на рис. 3, 4.
Эксперимент № 3. Оценка влияния скорости воздуха на погрешность вычисления температуры спирали.
Таблица 2
Результаты вычислительного эксперимента № 2
Название параметра | Диаметр нагревательного | ||||
0,6 | 0,7 | 0,8 | 0,9 | 1,0 | |
Критерии: Рейнольдса Re | 42,65 | 49,76 | 56,87 | 63,98 | 71,09 |
Прандтля Pr | 0,7 | ||||
Нуссельта Nu | 2,97 | 3,21 | 3,43 | 3,64 | 3,84 |
Коэффициент теплоотдачи a, Вт/(м2×K) | 151,14 | 139,92 | 130,89 | 123,4 | 117,07 |
Температура в установившемся режиме, °С:
|
329,90 |
222,92 |
162,54 |
125,56 |
100,37 |
| 307,62 | 213,12 | 157,63 | 122,56 | 98,78 |
Погрешности:
|
22,3 |
9,8 |
4,9 |
2,7 |
1,6 |
| 7,2 | 4,6 | 3,1 | 2,2 | 1,6 |
Рис. 3. Влияние диаметра спирали на изменение абсолютной погрешности расчета температуры спирали при ее нагреве
Рис. 4. Влияние диаметра спирали на абсолютную (1) и относительную (2) погрешности расчета температуры спирали при ее нагреве
Электрическая мощность, выделяемая в спирали при прохождении тока 1000 Вт (при напряжении U = 220 В). Начальная температура спирали и температура окружающего воздуха приняты T0 = 20 °С. Диаметр спирали 0,8 мм. Скорость движения воздуха варьировали в интервале от 0,5 до 2,5 м/с с шагом 0,5 м/с.
Параметры нагревательного элемента для данных условий соответствуют параметрам вычислительного эксперимента № 1 (см. с. 225).
Критерии Рейнольдса Re, Прандтля Pr и Нуссельта рассчитаны по формулам (21), (23) и (25) соответственно. Значение коэффициента теплоотдачи a вычислено по формуле (26). Температура в установившемся режиме с учетом и без учета температурной зависимости сопротивления рассчитаны по формулам (7) и (8) соответственно. Абсолютная и относительная погрешности – по формулам (15) и (16). Результаты вычислительного эксперимента № 3 представлены в табл. 3 и рис. 5, 6.
Таблица 3
Результаты вычислительного эксперимента № 3
Название параметра | Скорость движения воздуха , м/с | ||||
0,5 | 1,0 | 1,5 | 2,0 | 2,5 | |
Критерии: Рейнольдса Re |
28,43 |
56,87 |
85,31 |
113,74 |
142,18 |
Прандтля Pr | 0,7 | ||||
Нуссельта Nu | 2,43 | 3,43 | 4,20 | 4,86 | 5,43 |
Коэффициент теплоотдачи a, Вт/(м2×K) | 92,55 | 130,88 | 160,30 | 185,10 | 206,95 |
Температура в установившемся режиме, °С:
|
222,32 |
161,48 |
134,92 |
119,22 |
108,56 |
| 214,58 | 157,58 | 132,34 | 117,29 | 107,02 |
Погрешности:
|
8 |
3,97 |
2,6 |
1,97 |
1,6 |
| 4,1 | 2,9 | 2,3 | 2 | 1,8 |
Рис. 5. Влияние скорости воздуха на изменение абсолютной погрешности расчета температуры спирали при ее нагреве
Рис. 6. Влияние скорости воздуха на абсолютную (1) и относительную (2) погрешности расчета температуры спирали при ее нагреве
Результаты и их обсуждение
Как видно из представленных на рис. 1, 2 данных и по результатам вычислительного эксперимента № 1 (см. с. 225), в процессе нагрева погрешность расчетов без учета температурной зависимости сопротивления проводника для заданных условий нагрева начинает увеличиваться, принимая по истечении некоторого времени постоянное значение.
По данным таблицы 2 и рис. 3, 4 можно сказать, что с увеличением диаметра спирали относительная и абсолютная ошибки расчетов в установившемся режиме снижаются, то есть при расчете температурного режима тонких спиралей следует учитывать температурный коэффициент сопротивления и для оценки динамики нагрева использовать формулу (5). Расчет по формуле без учета температурной поправки приведет к существенным погрешностям. Для относительно толстых спиралей (определяется также материалом спирали) зависимость сопротивления от температуры можно не учитывать.
Результаты, представленные в табл. 3 и рис. 5, 6, показывают, что с увеличением скорости воздуха погрешность расчета в установившемся режиме снижается. Таким образом, в условиях активного конвективного теплообмена с окружающей средой температурной поправкой можно пренебречь, однако в условиях низкой интенсивности теплообмена погрешности расчетов без учета температурной поправки могут привести к существенным погрешностям.
Заключение
Полученные аналитические зависимости и результаты моделирования показали, что введение температурной поправки в ряде случаев позволяет существенно снизить погрешность расчетов. Прогноз возможных погрешностей по зависимостям (13) – (16) позволяет оценить целесообразность введения поправки для конкретных расчетных задач. Представленные зависимости позволяют учитывать влияние режима обдува, типа материала и геометрию спирали на погрешность расчетов. Это позволит оценить необходимость температурной поправки в случаях, когда критично время нагрева, а также для оценки динамических свойств объекта управления при синтезе систем управления нагревательными элементами.
Об авторах
Анатолий Анатольевич Хвостов
ФГБОУ ВО «Воронежский государственный технический университет»; ФГБОУ ВО «Воронежский государственный университет инженерных технологий»
Автор, ответственный за переписку.
Email: romanov_ra@list.ru
доктор технических наук, профессор кафедры прикладной математики и механики, профессор кафедры информационных и управляющих систем
Россия, Воронеж; ВоронежМихаил Иванович Слюсарев
ВУНЦ ВВС «Военно-воздушная академия имени профессора Н. Е. Жуковского и Ю. А. Гагарина»
Email: romanov_ra@list.ru
доктор технических наук, доцент, профессор кафедры криогенных машин, установок и электрогазовой техники
Россия, ВоронежАлексей Александрович Журавлев
ВУНЦ ВВС «Военно-воздушная академия имени профессора Н. Е. Жуковского и Ю. А. Гагарина»
Email: romanov_ra@list.ru
кандидат технических наук, доцент кафедры математики, кафедра криогенных машин, установок и электрогазовой техники
Россия, ВоронежВиталий Ксенофонтович Битюков
ФГБОУ ВО «Воронежский государственный университет инженерных технологий»
Email: romanov_ra@list.ru
доктор технических наук, профессор кафедры информационных и управляющих систем
Россия, ВоронежИгорь Анатольевич Хаустов
ФГБОУ ВО «Воронежский государственный университет инженерных технологий»
Email: romanov_ra@list.ru
доктор технических наук, профессор, заведующий кафедрой информационных и управляющих систем
Россия, ВоронежРоман Александрович Романов
ФГБОУ ВО «Воронежский государственный университет инженерных технологий»
Email: romanov_ra@list.ru
старший преподаватель кафедры информационных и управляющих систем
Россия, ВоронежСписок литературы
- О государственной программе развития сельского хозяйства и регулирования рынков сельскохозяйственной продукции, сырья и продовольствия на 2013 – 2020 годы : Постановление от 14 июля 2012 г. № 717. – Текст: электронный. – 127 с. – URL: https://rosstat.gov.ru/storage/mediabank/post717-2012.pdf (дата обращения: 10.02.2024).
- Гиш, Р. А. Модернизация и совершенствование управления параметрами микроклимата – основа теплиц V поколения / Р. А. Гиш, Е. Н. Карпенко // Политематический сетевой электронный научный журнал Кубанского государственного аграрного университета. – 2016. – № 123. – С. 1929 – 1951. doi: 10.21515/1990-4665-123-129
- Mukazhanov, Y. Substantiation of Parameters of Microclimate in Greenhouses / Y. Mukazhanov, Z. Zhiyembayev, A. Shaltabayev, Y. Telebayev, C. Alimbayev // 17th International Multidisciplinary Scientific GeoConference SGEM 2017, SGEM2017 Conference Proceedings (Albena, Bulgaria, 29 June – 5 July, 2017), – 2017. – Vol. 17, Is. 62. – P. 765 – 770. doi: 10.5593/sgem2017/62/S27.097
- Шелехов, И. Ю. Оценка эффективности использования различных методов обогрева теплиц / И. Ю. Шелехов, А. Ю. Сидельникова // Известия вузов. Инвестиции. Строительство. Недвижимость. – 2013. – № 1(4). – С. 138 – 142.
- Соболев, А. В. Эффективность регулирования микроклимата в теплицах с помощью электричества / А. В. Соболев // Вестник КрасГАУ. – 2014. – № 2(89). – С. 154 – 156.
- Струпинский, М. Л. Проектирование и эксплуатация систем электрического обогрева в нефтегазововой отрасли / М. Л. Струпинский, Н. Н. Хренков, А. Б. Кувалдин. – М. : Инфра-Инженерия, 2015. – 328 с.
- Results of Simulation and Physical Modeling of the Computerized Monitoring and Control System for Greenhouse Microclimate Parameters / I. S. Laktionov, O. V. Vovna, A. A. Zori, V. A. Lebedev // International Journal on Smart Sensing and Intelligent Systems. – 2018. – Vol. 11, No. 1. – P. 1178 – 5608. doi: 10.21307/ijssis-2018-017
- Vladykin, I. Mathematical Model of Temperature Field in a Greenhouse / I. Vladykin, V. Loginov, O. Kochurova // Yale Review of Education and Science. –2015. – Vol. VI, No. 1(16). – P. 157 – 164.
- Моделирование нагрева однородного электрического проводника протекающим током / А. А. Хвостов, А. А. Журавлев, Д. И. Целюк, Е. А. Журавлев // Техника и безопасность объектов уголовно-исполнительной системы : сб. материалов Междунар. науч.-практ. межведомственной конф. – Воронеж, 2016. – С. 328 – 329.
- Оценка температурной погрешности при моделировании нестационарного теплового режима нагрева открытой спирали нагревательного элемента / А. И. Сумин, А. А. Хвостов, А. А. Журавлев, В. В. Синюков // Вестник Воронежского института ФСИН России. – 2018. – № 1. – С. 108 – 117.
- Остриков, А. Н. Процессы и аппараты пищевых производств : учеб. пособие / под ред. А. Н. Острикова. – СПб. : ГИОРД, 2012. – 616 с.
- Болгарский, А. В. Термодинамика и теплопередача : учеб. для вузов / А. В. Болгарский, Г. А. Мухачев, В. К. Щукин. – Изд. 2-е, переб. и доп. – М. : Высшая школа, 1975. – 495 с.
Дополнительные файлы








