Photoluminescent Lanthanide(III) Complexes Based on 2-[((4-Chlorophenyl)amino)methylene]-5,5-dimethylcyclohexane-1,3-dione
- Authors: Smirnova K.S.1, Sanzhenakova E.A.1, Eltsov I.V.2, Pozdnyakov I.P.3, Russkikh A.A.4, Dotsenko V.V.4, Lider E.V.1
-
Affiliations:
- Nikolaev Institute of Inorganic Chemistry, Siberian Branch, Russian Academy of Sciences
- Novosibirsk National Research State University
- Voevodsky Institute of Chemical Kinetics and Consumption, Siberian Branch, Russian Academy of Sciences
- Kuban State University
- Issue: Vol 50, No 5 (2024)
- Pages: 296-309
- Section: Articles
- URL: https://ogarev-online.ru/0132-344X/article/view/265269
- DOI: https://doi.org/10.31857/S0132344X24050026
- EDN: https://elibrary.ru/NKMRCQ
- ID: 265269
Cite item
Full Text
Abstract
Five coordination compounds of the general formula [LnL2(NO3)3]n (Ln3+ = Eu (I), Sm (II), Tb(III), Dy (IV), and Gd (V)) are synthesized from 2-[((4-chlorophenyl)amino)methylene]-5,5-dimethylcyclohexane-1,3-dione (L). The crystal structures of the ligand and complex III are determined by X-ray diffraction (XRD) of single crystals (CIF files CCDC nos. 2298715 (L) and 2298716 (III)). Complex III is polymeric due to the bidentate-bridging coordination of the ligand by the oxygen atoms of the cyclohexanedione fragment, and the coordination number of the central atom is ten. According to the phase XRD data, all synthesized polycrystalline compounds are isostructural to the single crystals of complex III. The photoluminescence properties of the ligand and coordination compounds in the polycrystalline state are studied. The energy transfer from the ligand to lanthanide(III) ion is shown to proceed via the “antenna” mechanism in the case of the europium(III), samarium(III), and terbium(III) compounds. Among the series of the complexes, the highest quantum yield is observed for compound I (21.9%), and the sensibilization efficiency of the europium(III) complex is 43.5%.
Full Text
Координационная химия редкоземельных элементов (РЗЭ) является активно развивающимся направлением в химии [1–10]. Данные соединения привлекают внимание своими люминесцентными свойствами: для каждого элемента характерен свой диапазон излучения, а суммарно люминесценция комплексов лантанидов(III) проявляется от ближней ультрафиолетовой до инфракрасной области электромагнитного излучения. В основном люминесценция координационных соединений РЗЭ происходит по “антенному” механизму, в основе которого лежит процесс передачи энергии с лиганда на ион лантанида(III) [11]. В качестве лигандов выступают различные кислород-, азот-, фосфор- и серосодержащие органические соединения, при этом список возможных лигандов для получения комплексных соединений РЗЭ с высокими люминесцентными характеристиками продолжает расширяться. Одним из таких примеров “новых” малоизученных лигандов являются енаминоны – соединения с неароматическим звеном R2N–C(H)=C(H)–C(H)=O, где карбонильный и енаминовый R2N–C(H)=СH2 фрагменты формируют сопряженную систему, допускающую образование внутримолекулярной водородной связи. Данные соединения являются универсальными прекурсорами для органического синтеза [12–21], а также привлекают внимание своими свойствами, такими как биологическая активность [22–27] и флуоресценция [28, 29].
В представленной работе в качестве лиганда использовался 2-[((4-хлорфенил)амино)метилен]-5,5-диметил-циклогексан-1,3-дион (L). Ранее уже были получены и структурно охарактеризованы комплексы лантанидов(III) на основе 2-[(фениламино)метилен]-5,5-диметил-циклогексан-1,3-диона и его пара- и мета-метоксизамещенных производных [30–32]. Установлено, что лиганд без заместителей в бензольном кольце проявляет как монодентатный, так и бидентатно-мостиковый способ координации, что приводит к формированию комплексов цепочечно-полимерного строения [30]. При этом комплексы РЗЭ с метоксизамещенными производными являются полимерными слоистыми соединениями за счет мостиковой координации лигандов. Наибольший квантовый выход среди этих лигандов достигается для пара-метоксипроизводного (41%), а среди комплексов – для соединения европия(III) с незамещенным производным (15%).
Синтез лиганда L ранее был описан в литературе в ряде работ. Например, реакцией 4-хлорфенилизонитрила с димедоном в присутствии ди(трет-бутил)пероксида в дихлорэтане при 80°С соединение L было синтезировано с выходом 84% [33]. С выходом 65% енаминодикетон может быть получен реакцией 5,5-диметил-2-(этоксиметилен)циклогексан-1,3-диона с 4-хлоранилином при кипячении в 1,4-диоксане [34]. Помимо этого, лиганд может быть выделен с высокими выходами при кратковременном нагревании (120–130°С) смеси триэтилортоформиата, 4-хлоранилина и димедона [35–39] (схема 1). Подобные 2-(анилинометилен)-1,3-дикетоны сами по себе представляют интерес как гербициды [37], потенциальные противотуберкулезные агенты [36], функциональные строительные блоки для тонкого органического синтеза [40–46] и перспективные лиганды для получения координационных соединений переходных металлов [30–32, 47–49].
Схема 1. Возможные способы синтеза 2-[((4-хлорфенил)амино)метилен]-5,5-диметил-циклогексан-1,3-диона
Настоящая статья посвящена дизайну, синтезу и характеризации координационных соединений ряда лантанидов(III) с 2-[((4-хлорфенил)амино)метилен]-5,5-диметил-циклогексан-1,3-дионом, а также детальному исследованию фотолюминесцентных свойств полученных комплексов.
ЭКСПЕРИМЕНТАЛЬНАЯ ЧАСТЬ
Для синтеза координационных соединений использовали коммерчески доступные реактивы без дополнительной очистки: нитраты лантанидов(III) (99,9%; Sigma-Aldrich), пропанол-2 квалификации “х.ч.” и хлористый метилен квалификации “х.ч.”.
Синтез 2-[((4-хлорфенил)амино)метилен]-5,5-диметил-циклогексан-1,3-диона (L). Смесь 1.00 г (7.1 ммоль) димедона, 0,90 г (7.1 ммоль) 4-хлоранилина и 1.5 мл (9.0 ммоль) свежеперегнанного триэтилортоформиата нагревали в виале объемом 20 мл при интенсивном перемешивании до полной гомогенизации реакционной массы и начала кипения. Через 1–2 мин наблюдали кристаллизацию реакционной массы. Смесь охлаждали, осадок отфильтровывали и перекристаллизовывали из н-бутанола. Кристаллы в виде бесцветных игл отделяли, промывали бутанолом и петролейным эфиром, высушивали при 75°С. Выход после перекристаллизации 1.47 г (74%). Чистота органического лиганда подтверждена спектроскопией ЯМР (схема 2).
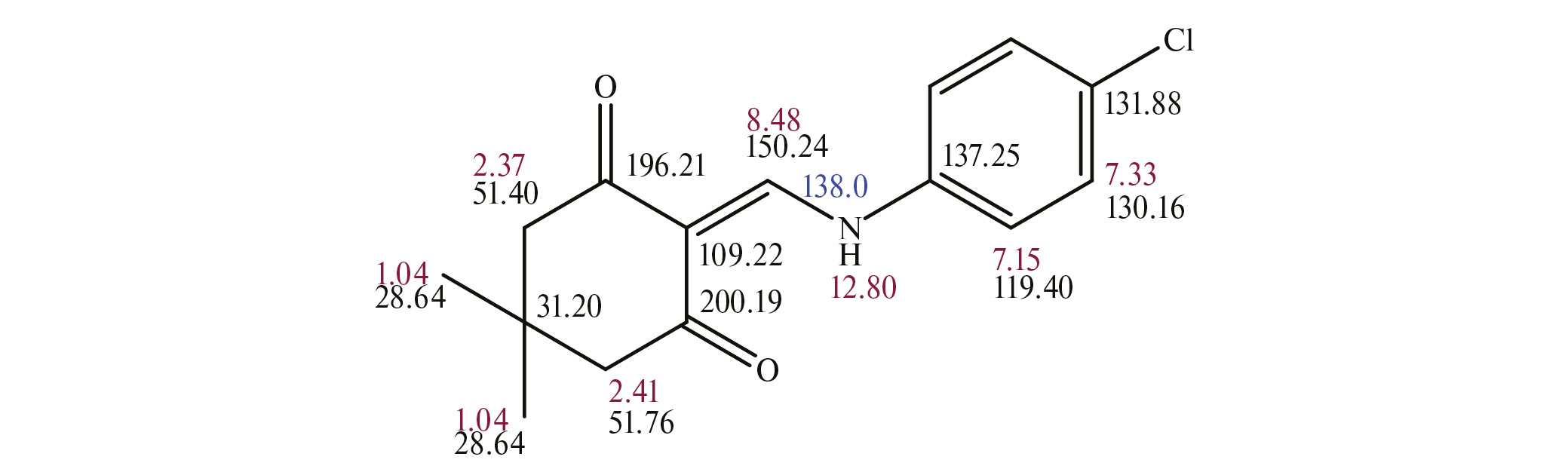
Схема 2. Структурная формула 2-[((4-хлорфенил)амино)метилен]-5,5-диметил-циклогексан-1,3-диона (L) и соотнесение полос лиганда по данным спектроскопии ЯМР
ЯМР 1H (500 МГц, CDCl3; δ, м.д.): 1,04 (s., 6H, CH3), 2.37 (s., 2H, 4-CH2), 2.41 (s., 2H, 6-CH2), 7.15 (d., 2H, J = 8.8 Гц, 2ʹ-CH), 7.33 (d., 2H, 3ʹ-CH), 8.48 (d., 1H, J = 13.5 Гц, 2-CH), 12.8 (br., d., 1H, NH). ЯМР 13C (126 МГц, CDCl3; δ, м.д.): 28.64 (CH3), 31.20 (5-C), 51.40 (4-C), 51.76 (6-C), 109.22 (1-C), 119.40 (2ʹ-C), 130.16 (3ʹ-C), 131.88 (4ʹ-C), 137.25 (1ʹ-C), 150.24 (2-C), 196.21 (3-C; 2JCH = 6 Гц, 3Jцис-CH, = 3 Гц), 200.19 (7-C; 2JCH = = 3Jтранс-CH, = 6.4 Гц). ЯМР 15N (51 МГц, HCONH2; δ, м.д.): 138.0 (1JNH = 90 Гц).
ИК-спектр (ν, см–1): 3236–3161 ν(NH); 2957, 2924, 2868, 2853 ν(CH2, CH3); 1477–1431, 1408, 1377, 1211, 1188–1124, 1030, 974, 831 δ(CH2, CH3); 1653, 1616, 1593, 1576 ν(C=O); 1558, 1317–1246, 1188–1124, 1078, 864 Rколец.
Синтез [EuL2(NO3)3]n (I). Навеску лиганда (1.0 ммоль, 0.27 г) добавляли при перемешивании к раствору Eu(NO3)3 ⋅ 6H2O (1.0 ммоль, 0.44 г) в изопропиловом спирте (5.0 мл). После растворения лиганда L в течение получаса наблюдалось образование белого осадка комплекса. Полученный осадок отфильтровывали через стеклянный фильтр, промывали изопропиловым спиртом и высушивали на воздухе. Выход I–0.39 г (87%).
ИК-спектр (ν, см–1): 3237–3159 ν(NH); 2957, 2926, 2872–2856 ν(CH2, CH3); 1485, 1464, 1454, 1–1537, 1317, 1298, 1271, 1157, 1136, 1124, 862 Rколец, 1498, 1337, 816 ν(NO3–).
Найдено, %: C 40.0; Н 3.9; N 7.8.
Для C30H32N5O13Cl2Eu
вычислено, %: C 40.3; Н 3.6; N 7.8.
Синтез [SmL2(NO3)3]n (II) выполняли по методике, аналогичной для I, с использованием гексагидрата нитрата самария(III) вместо европия(III). Мольное соотношение реагентов в синтезе составляло 1 : 1, загрузка уменьшена в 2 раза по сравнению с синтезом комплекса I (0.50 ммоль). Полученный осадок промывали хлористым метиленом. Выход II–0.17 г (77%).
ИК-спектр (ν, см–1): 3238–3167 ν(NH); 2957, 2926, 2878–2856 ν(CH2, CH3); 1485, 1466, 1454, 1437, 1412, 1385, 1371, 1217, 1178, 976, 831 δ(CH2, CH3); 1661, 1609–1533 ν(C=O); 1609–1533, 1315, 1296, 1271, 1159, 1136, 1124, 860 Rколец, 1499, 1338, 816 ν(NO3–).
Найдено, %: C 39.6; Н 3.4; N 7.8.
Для C30H32N5O13Cl2Sm
вычислено, %: C 40.4; Н 3.6; N 7.8.
Синтез [TbL2(NO3)3]n (III) выполняли по методике, аналогичной для I, с использованием пентагидрата нитрата тербия(III) вместо гексагидрата нитрата европия(III). Маточный раствор оставляли для кристаллизации при температуре –4°C, через 2 недели образовались бесцветные монокристаллы. Выход III–0.15 г (82%).
ИК-спектр (ν, см–1): 3240–3179 ν(NH); 2959, 2924, 2870–2845 ν(CH2, CH3); 1485, 1466, 1454, 1437, 1412, 1385, 1371, 1217, 1178, 976, 831 δ(CH2, CH3); 1663, 1607–1535 ν(C=O); 1607–1535, 1317, 1298, 1271, 1157, 1136, 1124, 862 Rколец, 1499, 1338, 814 ν(NO3–).
Найдено, %: C 39.9; Н 3.5; N 7.7.
Для C30H32N5O13Cl2Tb
вычислено, %: C 40.0; Н 3.6; N 7.8.
Синтез [DyL2(NO3)3]n (IV). Лиганд L (0.5 ммоль, 0.14 г), растворенный в 1,0 мл хлористого метилена, добавляли при перемешивании к изопропанольному раствору (3.0 мл) Dy(NO3)3 ⋅ 5H2O (1.0 ммоль, 0.44 г). После длительного перемешивания наблюдалось образование белого осадка, который отфильтровывали через стеклянный фильтр, промывали изопропиловым спиртом и высушивали на воздухе. Выход IV–0.14 г (62%).
ИК-спектр (ν, см–1): 3252–3173 ν(NH); 2961, 2936, 2883–2860 ν(CH2, CH3); 1483, 1464, 1454, 1437, 1410, 1389, 1369, 1217, 1178, 976, 829 δ(CH2, CH3); 1663, 1607–1535 ν(C=O); 1607–1535, 1317, 1304, 1271, 1157, 1134, 860 Rколец, 1499, 1338, 814 ν(NO3–).
Найдено, %: C 39.8; Н 3.4; N 7.9.
Для C30H32N5O13Cl2Dy
вычислено, %: C 39.9; Н 3.6; N 7.7.
Синтез [GdL2(NO3)3]n (V). Растворенный в 2.5 мл хлористого метилена лиганд (0.5 ммоль, 0.14 г) добавляли при перемешивании к изопропанольному раствору (2.0 мл) Gd(NO3)3⋅6H2O (0.5 ммоль, 0.22 г). После длительного перемешивания наблюдалось образование белого осадка, который отфильтровывали через стеклянный фильтр, промывали изопропиловым спиртом и высушивали на воздухе. Выход V 0.17 г (77%).
ИК-спектр (ν, см–1): 3237–3159 ν(NH); 2957, 2926, 2872–2856 ν(CH2, CH3); 1485, 1464, 1454, 1–1537, 1317, 1298, 1271, 1157, 1136, 1124, 862 Rколец, 1498, 1337, 816 ν(NO3–).
Найдено, %: C 39.8; Н 3.4; N 7.9.
Для C30H32N5O13Cl2Gd
вычислено, %: C 40.1; Н 3.6; N 7.8.
Элементный (C, H, N) анализ выполнен в Аналитической лаборатории Института неорганической химии им. А.В. Николаева СО РАН на анализаторе ario MICRO cube. ИК-спектры образцов, приготовленных в виде суспензий в вазелиновом и фторированном масле, записывали на Фурье-спектрометре Scimitar FTS 2000 в области 4000–400 см–1. Рентгенофазовый анализ выполнен на дифрактометре Bruker D8 Advance (CuKα-излучение, λ = 1.54056 Å, Ni-фильтр, диапазон измерений 2θ от 5° до 40°, накопление 1 с в точке).
Спектры ЯМР регистрировали для лиганда (28 мг), растворенного в 0,6 мл CDCl3, при комнатной температуре на FT-спектрометре Bruker Avance III 500 с рабочими частотами 499.93; 125.71 и 50.66 МГц для ядер 1H, 13C и 15N соответственно.
Спектры диффузного отражения поликристаллического лиганда и комплекса III регистрировали на спектрофотометре Shimadzu UV-3101PC в области 240–800 нм, ширина щели 5 нм. Точность калибровки оси длин волн равна ±0.3 нм для ультрафиолетового и видимого диапазонов, погрешности измерения, связанные с рассеянным светом, составляли 0.01%. Сульфид бария использовали в качестве эталона. Спектры диффузного отражения снимали для расчета оптического поглощения в относительных единицах с использованием классической функции Кубелки–Мунка.
РСА монокристаллов лиганда L проведен на дифрактометре Agilent Xcalibur с детектором AtlasS2 при 288 К, а комплекса III – на дифрактометре Bruker D8 Venture при 150 К. В ходе эксперимента использовали монохроматического графитовое MoKα-излучение (λ = 0.71073 Å). Поправки на поглощение сделаны с помощью программ CrysAlisPro [50] для Agilent Xcalibur и SADABS [51] – для Bruker D8 Venture. Структуры расшифрованы и уточнены с использованием пакета программ SHELXT [52] и SHELXL [53]referred to simply as ‘a CIFʹ в графическом интерфейсе OLEX2 [54]. Параметры атомного теплового смещения для неводородных атомов уточнены анизотропно. Положения атомов водорода рассчитаны геометрически и уточнены с помощью модели “наездника”. Кристаллографические данные и информация об уточненных структурах приведены в табл. 1.
Таблица 1. Кристаллографические данные, параметры эксперимента и уточнения структур L и III
Параметр | Значение | |
L | III | |
Брутто-формула | C15H16NO3Cl | C30H32N5O13Cl2Tb |
M | 277.74 | 900.42 |
Температура, K | 288 | 150 |
Сингония | Триклинная | Моноклинная |
Пространственнпя группа | P¯1 | C2/c |
a, Å | 5.7334(3) | 14.3756(6) |
b, Å | 11.0450(7) | 11.6235(4) |
c, Å | 11.3201(6) | 20.8054(8) |
α, град | 103.111(5) | 90 |
β, град | 98.752(4) | 92.691(2) |
γ, град | 97.149(5) | 90 |
V, Å3 | 680.56(7) | 3472.6(2) |
Z | 2 | 4 |
ρcalc, г/см3 | 1.355 | 1.722 |
μ, мм–1 | 0.278 | 2.262 |
Размер кристалла, мм3 | 0.12×٠.06×0.05 | 0.06×٠.05×٠.٠3 |
Диапазон сканирования по 2θ, град | 3.76–57.91 | 4.86–55.01 |
Диапазон индексов hkl | –7 ≤ h ≤ 7, –14 ≤ k ≤ 11, –13 ≤ l ≤ 14 | –18 ≤ h ≤ 18, –15 ≤ k ≤ 15, –26 ≤ l ≤ 26 |
Число отражений измеренных/независимых | 5582/2961 | 18112/3969 |
Rint, Rsigma | 0.0211, 0.0397 | 0.0712, 0.0623 |
Число ограничений /параметров | 0/174 | 0/234 |
Добротность по F2 | 1.068 | 1.057 |
R1, wR2 (I > 2σ (I)) | 0.0454, 0.0986 | 0.0384, 0.0791 |
R1, wR2 (для всех отражений) | 0.0712, 0.1199 | 0.0484, 0.0826 |
Остаточная электронная плотность (max/min), e Å–3 | 0.17/–0.23 | 1.63/–0.74 |
Полная кристаллографическая информация депонирована в Кембриджском банке структурных данных (CCDC № 2298715 (L) и 2298716 (III); http://www.ccdc.cam.ac.uk/data_request/cif).
Исследование фотолюминесцентных свойств проводили при комнатной температуре для поликристаллических образцов на спектрофлуориметре FLSP920 (Edinburg Instruments), который оснащен ксеноновой лампой и диодным лазером EPL-375. Для регистрации спектров излучения и возбуждения люминесценции использовали ксеноновую лампу, а в качестве источника возбуждения для регистрации кинетики флуоресценции лиганда – диодный лазер EPL-375 (Edinburg Instruments, λвозб = 375 нм, длительность импульса 70 пс). Абсолютные значения квантовых выходов измеряли с помощью интегрирующей сферы Quanta-φ на спектрометре Fluorolog 3 (Horiba Jobin Yvon) с охлаждаемым модулем регистрации фотонов PC177CE-010 и фотоумножителем R2658. Fluorolog 3 использовали для регистрации кинетики фосфоресценции комплексов лантанидов(III) и фосфоресценции комплекса гадолиния(III) с задержкой импульса 0.15 мс (λвозб = = 390 нм, 77 К).
РЕЗУЛЬТАТЫ И ИХ ОБСУЖДЕНИЕ
Для синтеза органического лиганда L использовалась модифицированная методика, представленная в работах Вольфбайса [38, 39]. По этой методике к димедону добавляли 4-хлоранилин и триэтилортоформиат с последующим кипячением полученного раствора при перемешивании. Координационные соединения РЗЭ на основе L получали в изопропиловом спирте при мольном соотношении 1 : 1 или 2 : 1. Навеску лиганда добавляли к нитрату лантанида(III), растворенного в изопропаноле. По данной методике, комплексы I–III были выделены в виде белых осадков. Добавление к нитрату лантанида(III) лиганда, растворенного в хлористом метилене, также приводит к образованию белого осадка аналогичного состава, который был выделен в ходе синтеза комплекса диспрозия(III) IV и гадолиния(III) V (схема 3). По данным элементного анализа, образуются координационные соединения с общей формулой [LnL2(NO3)3], при этом по рентгенофазовому анализу комплексы I–V являются изоморфными (рис. 1).
Схема 3. Схема синтеза комплексов I–V
Рис. 1. Рассчитанная по структуре монокристалла (оранжевая линия) и экспериментальные порошковые дифрактограммы комплексов [LnL2(NO3)3]n
При комплексообразовании депротонирование лиганда не происходит, в ИК-спектрах лиганда и комплексов колебания NH-связи проявляются в виде широкой полосы в диапазоне 3240–3150 см–1. Интенсивность полосы колебаний связи C=O при ~1661 см–1 в спектрах комплексов увеличивается, при этом полосы при 1616, 1593, 1576 см–1, наблюдающиеся в спектре лиганда для связи C=O, проявляются в виде уширенной полосы в спектрах комплексов. Эти изменения для колебаний карбонильной группы указывают на участие этой группы в координации к ионам металла. Валентные колебания групп C–H проявляются в диапазоне 2960–2850 см–1, деформационные – при 1480–830 см–1, а валентно-деформационные колебания фенильной группы наблюдаются при 1560–860 см–1.
По данным рентгеноструктурного анализа, L кристаллизуется в центросимметричной пространственной группе P¯1 (триклинная сингония). Наблюдается внутримолекулярная водородная связь N–H···O с расстоянием между атомом водорода и кислорода 1.96 Å, которая сохраняется при комплексообразовании. Бензольное и циклогексановое кольца располагаются в одной плоскости, торсионный угол C(H)–C–N–C(H) (φт), проходящий через два атома углерода фенильной группы и атомы азота и углерода енаминонового фрагмента равен 4.04° (рис. 2). Присутствие атома хлора в системе приводит к образованию нековалентных взаимодействий Cl···Cl между соседними молекулами с расстоянием между атомами 3.42 Å.
Рис. 2. Структура лиганда и торсионный угол C(H)–C–N–C(H) (φт) в L
Среди всей серии комплексов лантанидов(III) монокристаллы, подходящие для рентгеноструктурного анализа, получены только для соединения тербия(III). Комплекс кристаллизуется в пространственной группе C2/c с моноклинной сингонией. Координационная сфера иона тербия(III) состоит из десяти атомов кислорода (рис. 3). В координации к центральному атому участвуют атомы кислорода фрагмента циклогександиона, лиганд демонстрирует бидентатно-мостиковый способ координации. Такая координация приводит к образованию полимерной слоистой структуры, которая располагается параллельно кристаллографической плоскости ab (см. рис. 3). По данным анализа SHAPE, координационный полиэдр близок к двухшапочной квадратной антипризме с параметром S(D4d) = 2.73. Как отмечалось выше, в некоординированном лиганде фенильная группа и енаминоновый фрагмент лежат в одной плоскости, при комплексообразовании наблюдается значительный поворот фенильной группы и торсионный угол увеличивается до 33.07°. Длины связи Tb–O(L) равны 2.44 и 2.34 Å, а Tb–O(NO3) находятся в диапазоне 2.46–2.58 Å.
Рис. 3. Координационный узел комплекса [TbL2(NO3)3]n (III) (a) и полимерная слоистая структура (б). Атомы водорода не показаны
Комплекс III изоструктурен представленным ранее комплексным соединениям лантанидов(III) с 2-[((4-метокси)амино)метилен]-5,5-диметил-циклогексан-1,3-дионом (Lʹ) [32]. Полимерные соединения идентичного состава [Ln(Lʹ)2(NO3)3]n также кристаллизуются в моноклинной сингонии с пространственной группой C2/c, а торсионные углы лиганда увеличиваются при комплексообразовании и находятся в диапазоне 27.4°–28.4°. Длины связей Ln–O хорошо согласуются между двумя сериями соединений, что отчетливо видно при наложении структур друг на друга (рис. 4).
Рис. 4. Наложение кристаллических структур комплексов [TbL2(NO3)3]n (III, фиолетовый цвет) и [Tb(Lʹ)2(NO3)3]n (КБСД, бирюзовый цвет)
Люминесценция лиганда L проявляется в синей области видимого диапазона электромагнитного излучения, при этом спектр эмиссии представлен в виде уширенной полосы (рис. 5). Квантовый выход люминесценции L составляет 22% при λвозб = 370 нм. Кинетическая кривая затухания фотолюминесценции описывается биэкспоненциальной функцией, при этом времена жизни возбужденного состояния составляют 0.6 (52%) и 1.7 нс (48%) (рис. 6). Наличие и положение заместителя в бензольном кольце влияет на параметры фотолюминесценции органических соединений, что подтверждается работами с 2-[(фениламино)метилен]-5,5-диметил-циклогексан-1,3-дионом [30], 2-[((4-метокси)амино)метилен]-5,5-диметил-циклогексан-1,3-дионом [32] и с 2-[((3-метокси)амино)метилен]-5,5-диметил-циклогексан-1,3-дионом [31]. Например, квантовый выход и времена жизни возбужденных состояний значительно больше у соединений с заместителями в пара-положении бензольного кольца по сравнению с незамещенным производным β-енаминдиона. Напротив, для лиганда с метоксигруппой в мета-положении бензольного кольца наблюдается значительное уменьшение как интенсивности излучения, так и квантового выхода. Таким образом, квантовый выход увеличивается в следующем ряду (для краткости обозначены только заместители и их положение в бензольном кольце):
мета-OCH3 < незамещенный < пара-Cl(L) < < пара-OCH3.
Рис. 5. Спектры диффузного отражения (пунктирные линии), возбуждения люминесценции и эмиссии для лиганда и комплексов I–II. Регистрация спектров излучения при λвозб = 370 нм, а спектров возбуждения люминесценции при λизл = 460 нм для L, λизл = 613 нм для комплекса европия(III), λизл = 594 нм для комплекса самария(III) и λизл = 545 нм для комплекса тербия(III)
Рис. 6. Кинетические кривые люминесценции лиганда и комплексов: кинетическая кривая L обозначена красным цветом при λвозб = 375 нм и λизл = 470 нм, биэкспоненциальная аппроксимация – синим со временами жизни 0.6 нс (52%) и 1.7 нс (48%), функция отклика прибора – черным (а); кинетическая кривая комплекса европия(III) обозначена синим цветом при λвозб = 370 нм и λизл = 615 нм, аппроксимация – красным с характерным временем 1.17 мс (б); кинетическая кривая комплекса самария(III) обозначена синим цветом при λвозб = 370 нм и λизл = 595 нм, аппроксимация – красным с характерным временем 0.034 мс (в)
При комплексообразовании спектры возбуждения люминесценции аналогичны спектру лиганда и хорошо согласуются со спектрами диффузного отражения (рис. 5). В спектре эмиссии комплекса европия(III) I наблюдаются только узкие полосы переходов 5D0 → 7FJ (J = 1, 2 и 4), в отличие от спектров излучения комплексов самария(III) II и тербия(III) III. Для соединения II наблюдается малоинтенсивная полоса флуоресценции лиганда, а также узкие полосы, соответствующие переходам 4G5/2 → 6HJ (J = 5/2–11/2). Спектр эмиссии комплекса III хорошо согласуется со спектром лиганда, при этом проявляются несколько полос с низкой интенсивностью, которые относятся к переходам 5D4 → 7FJ, где J = 6–3 (рис. 5). Квантовый выход комплекса европия(III) равен 21.9% (λвозб = 375 нм), а комплекса самария(III) – меньше 1%. Время жизни возбужденного состояния соединения I равно 1.17 мс, а для комплекса II – 0.034 мс (рис. 6).
Спектр эмиссии комплекса диспрозия(III) IV похож на спектр люминесценции лиганда. Исследование фосфоресценции комплекса гадолиния(III) V при 77 К и разложение полученного спектра на гауссовы функции показало, что энергия триплетного уровня лиганда составляет 20 325 см–1 (рис. 7). Таким образом, “антенный” механизм для комплекса диспрозия(III) не проявляется, поскольку излучательный уровень иона Dy(III) находится выше, чем триплетный уровень лиганда.
Рис. 7. Спектр фосфоресценции комплекса V при 77 К и разложение спектра на гауссовы составляющие
Преобразование полученных спектров эмиссии в цветовые координаты (CIE) позволяет увидеть итоговый цвет излучения лиганда и комплексов (рис. 8). Кроме того, с помощью цветовых координат можно определить чистоту цвета излучения (насыщенность). Этот параметр демонстрирует, насколько близко исследуемый цвет находится к монохроматическому и вычисляется по формуле:
Рис. 8. Цветовое пространство CIE1931, отражающее цвет излучения лиганда и комплексов I и II
,
где x и y являются координатами CIE исходного спектра, xб и yб – координаты CIE белого цвета, а xд и yд – координаты CIE доминирующей длины волны (красный, зеленый или синий). В качестве доминирующей длины волны для лиганда выбрано значение 450 нм (синий цвет), для комплексов европия(III) и самария(III) – 615 нм (красный цвет). Для лиганда данный параметр достигает значения 84.79%, а для соединений I и II – 92.01 и 18.68%. Таким образом, для характеризации цветового стимула необходимы значения координаты цветности CIE и чистоты цвета, а по данным ГОСТ Р 52870–2007 “Средства отображения информации коллективного пользования. Требования к визуальному отображению информации и способы измерения” чистота цвета основных цветных излучений должна быть больше 90%.
Процент поглощенных фотонов, приводящих к передаче энергии на ион РЗЭ, отражается в параметре эффективности сенсибилизации (η), который определяется как отношение общего квантового выхода () к внутреннему (). Параметр непосредственно можно измерить при изучении фотолюминесцентных свойств соединений, а рассчитывается, исходя из значений измеренного времени жизни возбужденного состояния (τнабл) и излучательного времени жизни (τизл): . В случае с ионом европия(III) расчет τизл сводится к достаточно простой расчетной формуле, поскольку для этого иона характерен переход магнитного диполя 5D0 → 7F1, интенсивность которого практически не зависит от координационного окружения. В результате для расчета τизл нужны интегральные значения всего спектра излучения (Iобщ) и полосы перехода 5D0 → 7F1 (IМД):
,
параметр AМД,0 отражает вероятность спонтанного излучения для 5D0 → 7F1 в вакууме, а n – показатель преломления среды. По данным литературы известно, что AМД,0 соответствует 14,65 с–1 [55–59]. Исходя из измеренных τнабл и , значение для комплекса I составляет 50%, а η – 43.5%. Параметр эффективности сенсибилизации для соединения I является наибольшим среди представленных ранее комплексов европия(III) [30–32].
Таким образом, в работе получены пять полимерных комплексов лантанидов(III) на основе 2-[((4-хлорфенил)амино)метилен]-5,5-диметил-циклогексан-1,3-диона с общей формулой [LnL2(NO3)3]n. Строение новых соединений установлено с помощью рентгеноструктурного анализа, проведенного для монокристаллов комплекса тербия(III) III. Органический лиганд проявляет бидентатно-мостиковый способ координации, что приводит к формированию полимерных слоистых соединений, нитрат-ионы координируются хелатно. Рентгенофазовый анализ подтвердил изоструктурность полученных поликристаллических соединений и монокристаллов комплекса III. Органический лиганд демонстрирует флуоресценцию в синей области электромагнитного излучения с наносекундными временами жизни возбужденных состояний. При комплексообразовании перенос энергии с лиганда на ион лантанида(III) происходит для соединения европия(III) I, самария(III) II и тербия(III) III. Наибольший квантовый выход наблюдается для комплекса I (21.9%), а эффективность сенсибилизации составляет 43.5%.
Авторы заявляют, что у них нет конфликта интересов.
БЛАГОДАРНОСТИ
Авторы выражают благодарность А.П. Зубаревой и Н.Н. Комардиной за данные элементного анализа, В.Н. Юдину – за предоставление данных, измеренных в рентгенодифракционном ЦКП ИНХ СО РАН, М.О. Матвеевой – за выполнение рентгенофазового анализа, А.А. Шаповаловой – за регистрацию ИК-спектров, А.А. Рядуну – за регистрацию квантовых выходов и длительных времен жизни возбужденных состояний, А.С. Березину – за регистрацию спектра фосфоресценции. Авторы благодарят Министерство науки и высшего образования Российской Федерации (проекты № 121031700321-3 и FWGF-2021-0005).
ФИНАНСИРОВАНИЕ
Работа выполнена при финансовой поддержке Российского научного фонда (соглашение № 23-23-10028 от 20.04.2023) и Правительства Новосибирской области РФ (соглашение № р-65 от 03.04.2023), проект № 23-23-10028.
About the authors
K. S. Smirnova
Nikolaev Institute of Inorganic Chemistry, Siberian Branch, Russian Academy of Sciences
Email: lisalider@gmail.com
Russian Federation, Novosibirsk
E. A. Sanzhenakova
Nikolaev Institute of Inorganic Chemistry, Siberian Branch, Russian Academy of Sciences
Email: lisalider@gmail.com
Russian Federation, Novosibirsk
I. V. Eltsov
Novosibirsk National Research State University
Email: lisalider@gmail.com
Russian Federation, Novosibirsk
I. P. Pozdnyakov
Voevodsky Institute of Chemical Kinetics and Consumption, Siberian Branch, Russian Academy of Sciences
Email: lisalider@gmail.com
Russian Federation, Novosibirsk
A. A. Russkikh
Kuban State University
Email: lisalider@gmail.com
Russian Federation, Krasnodar
V. V. Dotsenko
Kuban State University
Email: lisalider@gmail.com
Russian Federation, Krasnodar
E. V. Lider
Nikolaev Institute of Inorganic Chemistry, Siberian Branch, Russian Academy of Sciences
Author for correspondence.
Email: lisalider@gmail.com
Russian Federation, Novosibirsk
References
- Bunzli, J.C.G., Chem. Rev., 2010, vol. 110, no. 5, p. 2729.
- Aspinall, H.C., Chem. Rev., 2002, vol. 102, no. 6, p. 1807.
- Hasegawa, Y., Kitagawa, Y., and Nakanishi, T., NPG Asia Mater., 2018, vol. 10, no. 4, p. 52.
- Bao, G., Wen, S., Lin, G., et al., Coord. Chem. Rev., 2021, vol. 429, p. 213642.
- Wei, C., Ma, L., Wei, H.B., et al., Sci. China Technol. Sci., 2018, vol. 61, no. 9, p. 1265.
- Armelao, L., and Quici, S., Coord. Chem. Rev., 2010, vol. 254, nos. 5–6, p. 48705.
- Bryleva, Y.A., Komarov, V.Y., Glinskaya, L.A., et al., New J. Chem., 2023, vol. 47, no. 21, p. 10446.
- Bryleva, Y.A., Artemʹev, A.V., Glinskaya, L.A., et al., J. Struct. Chem., 2021, vol. 62, no. 2, p. 265.
- Bryleva, Y.A., Artemʹev, A.V., Glinskaya, L.A., et al., Inorg. Chim. Acta, 2021, vol. 516.
- Artemʹev, A.V., Gusarova, N.K., Malysheva, S.F., et al., Mendeleev Commun., 2012, vol. 22, no. 6, p. 294.
- Crosby, G.A., Whan, R.E., and Freeman, J.J., J. Phys. Chem., 1962, vol. 6, no. 12, p. 2493.
- Rao, V.S. and Sauve, G., Comprehensive Organic Functional Group Transformations, 1995, vol. 2, p. 737.
- Chiara, J.L., Comprehensive Organic Functional Group Transformations II, 2005, p. 709.
- Lue, P., and Greenhill, J.V., Adv. Heterocycl. Chem., 1996, vol. 67, p. 207.
- Aly, A.A., and Hassan, A.A., Adv. Heterocycl. Chem., 2014, vol. 112, p. 145.
- Ebenezer, W.J. and Wight, P., ChemInform, 1996, p. 20576.
- Liu, T., Wan, J.P., and Liu, Y., Chem. Commun., 2021, vol. 57, no. 72, p. 9112.
- Yu, T., Ji, F., Huang, D., et al., Org. Chem. Front., 2021, vol. 8, no. 20, p. 5716.
- Wan, J.P., Cao, S., and Liu, Y., Org. Lett., 2016, vol. 18, no. 23, p. 6034.
- Stanovnik, B., Eur. J. Org. Chem., 2019, vol. 2019, no. 31–32, p. 5120.
- Gao, Y., Liu, Y., and Wan, J.P., Org. Chem., 2019, vol. 84, no. 4, p. 2243.
- Edafiogho, I.O. and Kombian, S.B., J. Pharm. Sci., 2007, vol. 96, no. 10, p. 2509.
- Bimoussa, A., Oubella, A., Hachim, M.E., et al., J. Mol. Struct., 2021, vol. 1241, 130622.
- Masaret, G.S., ChemistrySelect, 2021, vol. 6, no. 5, p. 974.
- Eddington, N.D., Cox, D.S., Khurana, M., et al., Eur. J. Med. Chem., 2003, vol. 38, no. 1, p. 49.
- Anderson, A.J., Nicholson, J.M., Bakare, O., et al., Bioorg. Med. Chem., 2006, vol. 14, no. 4, p. 997.
- Amaye, I.J., Harper, T.L., and Jackson-Ayotunde, P., J. Fluorine Chem., 2021, vol. 251, p. 109886.
- Li, H., Shu, H., Wang, X., et al., Org. Mater., 2020, vol. 02, no. 1, p. 033.
- Li, H., Shu, H., Liu, Y., et al., Adv. Opt. Mater., 2019, vol. 7, no. 8, p. 1801719.
- Smirnova, K.S., Ivanova, E.A., Sukhikh, T.S., et al., Inorg. Chim. Acta, 2021, vol. 525, p. 120490.
- Smirnova, K.S., Ivanova, E.A., Eltsov, I.V., et al., Polyhedron, 2022, vol. 227, p. 116122.
- Smirnova, K.S., Ivanova, E.A., Pozdnyakov, I.P., et al., Inorganica Chim. Acta, 2022, vol. 542, p. 121107.
- Jiang, H., Li, Y., Sun, M., et al., Arkivoc. Arkat., 2020, vol. 2020, no. 6, p. 1.
- Mohareb, R.M., Manhi, F.M., Mahmoud, M.A.A., et al., Med. Chem. Res., 2020, vol. 29, no. 8, p. 1536.
- Van Tinh, D., Fischer, M., and Stadlbauer, W., J. Heterocycl. Chem., 1996, vol. 33, no. 3, p. 905.
- Rather, M.A., Lone, A.M., Teli, B., et al., Medchemcomm, 2017, vol. 8, no. 11, p. 2133.
- Wang, J.M., Asami, T., Che, F.S., et al., J. Agric. Food Chem., 1997, vol. 45, no. 7, p. 2728.
- Wolfbeis, O.S. and Erich Ziegler, E.Z., Z. Naturforsch., A: Phys. Sci., 1976, vol. 31, no. 11, p. 1519.
- Zacharias, G., Wolfbeis, O.S., and Junek, H., Monatsh. Chem., 1974, vol. 105, no. 6, p. 1283.
- Fossa, P., Menozzi, G., Dorigo, P., et al., Bioorg. Med. Chem., 2003, vol. 11, no. 22, p. 4749.
- Frolov, K.A., Dotsenko, V.V., and Krivokolysko, S.G., Chem. Heterocycl. Compd., 2013, vol. 49, no. 9, p. 1301.
- Komkov, A.V., Prezent, M.A., Ignatenko, A.V., et al., Russ. Chem. Bull., 2006, vol. 55, no. 11, p. 2085.
- Dotsenko, V.V., Krivokolysko, S.G., Chernega, A.N., et al., Russ. Chem. Bull., 2002, vol. 51, no. 8, p. 1556.
- Dotsenko, V.V. and Krivokolysko, S.G., Chem. Heterocycl. Compd., 2013, vol. 48, no. 10, p. 1568.
- Dotsenko, V.V., Frolov, K.A., Krivokolysko, S.G., et al., Chem. Heterocycl. Compd., 2013, vol. 49, no. 3, p. 440.
- Grannik, V.G., Shanazarov, A.K., Solovʹeva, N.P., et al., Chem. Heterocycl. Compd., 1987, vol. 23, no. 11, p. 1171.
- Qin, J.H. and Han, X.D., Z. Krist. New Cryst. Struct., 2012, vol. 227, no. 1, p. 7.
- Eremina, Y.A., Ermakova, E.A., Sukhikh, T.S., et al., J. Struct. Chem., 2021, vol. 62, no. 2, p. 309.
- Yang, L.W., Liu, S., Rettig, S.J., et al., Inorg. Chem., 1995, vol. 34, no. 19, p. 4921.
- CrysAlisPro 1.171.38.46, The Woodlands: Rigaku Oxford Diffraction, 2015.
- APEX2 (version 2.0), SAINT (version 8.18c) and SADABS (version 2.11), Madison: Bruker Advanced X-ray Solutions, 2000–2012.
- Sheldrick, G.M., Acta Crystallogr., Sect. A: Found. Adv., 2015, vol. 71, p. 3.
- Sheldrick, G.M., Acta Crystallogr, Sect. C: Struct. Chem., 2015, vol. 71, p. 3.
- Dolomanov, O.V., Bourhis, L.J., Gildea, R.J., et al., J. Appl. Crystallogr., 2009, vol. 42, no. 2, p. 339.
- Werts, M.H.V., Jukes, R.T.F., and Verhoeven, J.W., Phys. Chem. Chem. Phys., 2002, vol. 4, no. 9, p. 1542.
- Werts, M.H.V., Luminescent Lanthanide Complexes: Visible Light Sensitised Red and Near-Infrared Luminescence, Univ. of Amsterdam, 2000.
- Andres, J. and Chauvin, A.-S., Encycl. Inorg. Bioinorg. Chem., 2012, p. 1.
- Klink, S.I., Hebbink, G.A., Grave, L., et al., J. Phys. Chem. A, 2002, vol. 106, no. 15, p. 3681.
- Bunzli, J.-C.G. and Eliseeva, S.V., Lanthanide Luminescence, Hanninen, P. and Harma, H. (Eds), 2010, vol. 7, p. 1.
Supplementary files













