Analysis of the Influence of Quantum Effects on Optical Characteristics of Plasmonic Nanoparticles Based on the Discrete Sources Method
- Authors: Eremin Y.A.1, Lopushenko V.V.1
-
Affiliations:
- Faculty of Computational Mathematics and Cybernetics, Lomonosov Moscow State University
- Issue: Vol 63, No 11 (2023)
- Pages: 1911-1921
- Section: Mathematical physics
- URL: https://ogarev-online.ru/0044-4669/article/view/233023
- DOI: https://doi.org/10.31857/S004446692311011X
- EDN: https://elibrary.ru/KSAEFB
- ID: 233023
Cite item
Full Text
Abstract
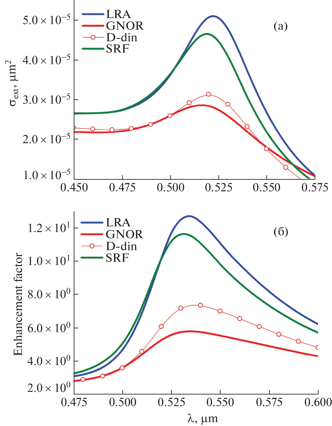
The discrete sources method is adapted to the study of surface quantum effects based on mesoscopic boundary conditions with Feibelman parameters. A comparative analysis of the influence of bulk nonlocal effects and surface effects on optical characteristics of gold and silver nanoparticles is carried out using the generalized nonlocal optical response model. It is established that allowance for the nonlocal effect in the noble metals always leads to a reduced amplitude of the surface plasmon resonance (SPR) and its blue shift, while the surface effect depends substantially on the geometry of the particles. To a large degree, the mesoscopic boundary conditions recover the SPR amplitude as compared with the bulk nonlocal effect. This difference is especially noticeable in the field enhancement factor on the surface of the particles. Additionally, substantial differences in the SPR behavior for gold and silver particles are found in the case of mesoscopic boundary conditions.
About the authors
Yu. A. Eremin
Faculty of Computational Mathematics and Cybernetics, Lomonosov Moscow State University
Email: eremin@cs.msu.ru
119991, Moscow, Russia
V. V. Lopushenko
Faculty of Computational Mathematics and Cybernetics, Lomonosov Moscow State University
Author for correspondence.
Email: lopushnk@cs.msu.ru
119991, Moscow, Russia
References
- Barnes W.L., Dereux A., Ebbesen T.W. Surface plasmon subwavelength optics // Nature. 2003. V. 424. P. 824.
- Chon J.W.M., Iniewski K. Nanoplasmonics. Advanced Device Applications. CRC Press. 2018.
- Shi H., Zhu X., Zhang S. et al. Plasmonic metal nanostructures with extremely small features: new effects, fabrication and applications // Nanoscale Adv. 2021. V. 3. P. 4349.
- David C., Garcìa de Abajo F.J. Surface Plasmon Dependence on the Electron Density Profile at Metal Surfaces // ACS Nano. 2014. V. 8. № 9. P. 9558.
- Zhu W., Esteban R., Borisov A.G. et al. Quantum mechanical effects in plasmonic structures with subnanometre gaps // Nat. Commun. 2016. V. 7. 11495.
- Ullrich C.A. Time-Dependent Density-Functional Theory: Concepts and Applications. OUP Oxford. 2011.
- Sinha-Roy R., Garcìa-Gonźlez P., Weissker H.-C. et al. Classical and ab initio plasmonics meet at sub-nanometric noble metal rods // ACS Photonics. 2017. V. 4. № 6. P. 1484.
- Toscano G., Straubel J., Kwiatkowski A. et al. Resonance shifts and spill-out effects in self-consistent hydrodynamic nanoplasmonics // Nat. Commun. 2015. V. 6. № 1. P. 7132.
- Mortensen N.A., Raza S., Wubs M. et al. A generalized non-local optical response theory for plasmonic nanostructures // Nat. Commun. 2014. V. 5. 3809.
- Kupresak M., Zheng X., Gae V., Moshchalkov V.V. Appropriate nonlocal hydro- dynamic models for the characterization of deep-nanometer scale plasmonic scatterers // Adv. Theory Simul. 2019. V. 3. 1900172.
- Feibelman P.J. Surface electromagnetic fields // Prog. Surf. Sci. 1982. V. 12. 287.
- Deng H.-Y. A theory of electrodynamic response for bounded metals: Surface capacitive effects // Ann. Phys. 2020. V. 418. 168204.
- Yang Y., Zhu D., Yan W. et al. A general theoretical and experimental framework for nanoscale electromagnetism // Nature (London). 2019. V. 576. 248.
- Gonçalves P.A.D., Christensen T., Rivera N. et al. Plasmon–emitter interactions at the nanoscale // Nat. Commun. 2020. V. 11. 366.
- Stamatopoulou P.E., Tserkezis C. Finite-size and quantum effects in plasmonics: manifestations and theoretical modelling [Invited] // Optical Materials Express. 2022. V. 12. № 5. P. 1869.
- Mortensen N.A. Mesoscopic electrodynamics at metal surfaces (Review) // Nanophotonics 2021. V. 10. № 10. P. 2563.
- Yang F., Ding K. Transformation optics approach to mesoscopic plasmonics // Phys. Rev. B. 2022. V. 105. L121410.
- Mortensen N.A., Gonçalves P.A.D., Shuklin F.A. et al. Surface-response functions obtained from equilibrium electron-density profiles // Nanophotonics. 2021. V. 10. № 14. P. 3647.
- Еремин Ю.А., Свешников А.Г. Математическая модель учета эффекта нелокальности плазмонных структур на основе метода дискретных источников // Ж. вычисл. матем. и матем. физ. 2018. Т. 58. № 4. С. 586.
- Еремин Ю.А., Свешников А.Г. Квазиклассические модели квантовой наноплазмоники на основе метода Дискретных источников (обзор) // Журн. вычисл. матем.и матем. физ. 2021. Т. 61. № 4. С. 34.
- Doicu A., Eremin Yu., Wriedt T. Acoustic and Electromagnetic Scattering Analysis Using Discrete Sources. San Diego: Academic Press, 2000.
- Еремин Ю.А., Свешников А.Г. Математические модели задач нанооптики и биофотоники на основе метода дискретных источников // Ж. вычисл. матем. и матем. физ. 2007. Т. 47. № 2. С. 266.
- Бахвалов Н.С. Численные методы. М.: Наука, 1975.
- Колтон Д., Кресс Р. Методы интегральных уравнений в теории рассеяния. М.: Мир, 1987.
- Еремин Ю.А., Захаров Е.В. Аналитическое представление для интегрального поперечника рассеяния в рамках интегрофункционального метода Дискретных источников // Дифференц. ур-ния. 2022. Т. 58. № 8. С. 1073.
- Svendsen M.K., Wolff C., Jauho A.-P. et al. Role of diffusive surface scattering in nonlocal plasmonics // J. Phys.: Condens. Matter. 2020. V. 32. 395702.
- Echarri R.A., Gonçalves P.A.D., Tserkezis C. et al. Optical response of noble metal nanostructures: Quantum surface effects in crystallographic facets // Optica. 2021. V. 8. № 5. P. 710.
Supplementary files








