Simulation of Emission Processes in Strong Electromagnetic Fields
- Authors: Kudryashova T.A.1, Polyakov S.V.1, Tarasov N.I.1
-
Affiliations:
- Keldysh Institute of Applied Mathematics, Russian Academy of Sciences
- Issue: Vol 63, No 8 (2023)
- Pages: 1354-1366
- Section: Mathematical physics
- URL: https://ogarev-online.ru/0044-4669/article/view/136210
- DOI: https://doi.org/10.31857/S0044466923080100
- EDN: https://elibrary.ru/WSWCXJ
- ID: 136210
Cite item
Full Text
Abstract
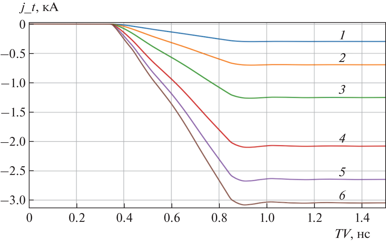
The problem of calculating the processes of electron emission from metal surfaces in strong electromagnetic fields is considered with allowance for relativistic effects. One of the methods of simulation in these processes is the particle method combined with grid calculation of fields on the basis of Maxwell’s equations. Similar techniques have been developed since the 1960s to the present. However, existing approaches have certain limitations. In this work, for an axisymmetric geometry of the generating system, a new numerical technique simulating the processes of electron emission from metal cathode surfaces is presented. The technique uses the representation of large smoothed Gaussian particles and implements the calculation of electromagnetic fields on Cartesian spatial grids. The software implementation is oriented to parallel computing. The aim of numerical experiments was to determine the parameters of electron emission. Diode and triode cylindrical systems were chosen as test problems. In numerical calculations, the spatiotemporal characteristics of relativistic electron beams generated by emission processes are obtained, including the reproduction of the Child–Langmuir current. The numerical technique developed has confirmed its correctness and efficiency.
About the authors
T. A. Kudryashova
Keldysh Institute of Applied Mathematics, Russian Academy of Sciences
Email: kudryashova@imamod.ru
1125047, Moscow, Russia
S. V. Polyakov
Keldysh Institute of Applied Mathematics, Russian Academy of Sciences
Email: polyakov@imamod.ru
1125047, Moscow, Russia
N. I. Tarasov
Keldysh Institute of Applied Mathematics, Russian Academy of Sciences
Author for correspondence.
Email: nikita_tarasov@imamod.ru
1125047, Moscow, Russia
References
- Васильев В.В. Механика конструкций из композиционных материалов. М.: Машиностроение, 1988. С. 272.
- Кербер М.Л. Полимерные композиционные материалы. Структура. Свойства. Технологии. СПб.: Профессия, 2008. С. 560.
- Рухадзе A.A., Богданкевич Л.C., Росинский C.E. Физика сильноточных релятивистских электронных пучков. М.: Атомиздат, 1980. С. 167.
- Миллер Р. Введение в физику сильноточных пучков заряженных частиц. М.: Мир, 1984. С. 432.
- Бойко В.И., Евстигнеев В.В. Введение в физику взаимодействия сильноточных пучков заряженных частиц с веществом. М.: Энергоатомиздат, 1988. С. 136.
- Месяц Г.А. Эктоны. Екатеринбург: УИФ “Наука”, 1993. С. 183.
- Диденко А.Н., Юшков Ю.Г. Мощные СВЧ-импульсы наносекундной длительности. М.: Энергоатомиздат, 1984. С. 112.
- Воронков С.Н., Лоза О.Т., Стрелков П.С. Ограничение длительности импульса излучения СВЧ генераторов на микросекундных РЭП // Физика плазмы. 1991. Т. 17. Вып. 6. С. 751–760.
- Бугаев С.П., Литвинов Е.А., Месяц Г.А., Проскуровский Д.И. Взрывная эмиссия электронов // УФН 1975. Т. 115. С. 101–120.
- Месяц Г.А. Взрывная электронная эмиссия. М.: Физматлит, 2011. С. 280.
- Херинг К., Никольс М. Термоэлектронная эмиссия. М.: Изд-во иностр. лит., 1950. С. 196.
- Шешин Е.П. Структура поверхности и автоэмиссионные свойства углеродных материалов. М.: Изд-во МФТИ, 2001. С. 288.
- Иванов О.А., Лобаев М.А., Чернов В.В. и др. Экспериментальное исследование сильноточных катодов на основе алмазных пленок в составе мощного компрессора сверхвысокочастотных импульсов // Изв. вузов. Радиофизика. 2014. Т. LVII. № 10. С. 797–806.
- Митра Р. (ред.) Вычислительные методы в электродинамике. М.: Мир, 1977. С. 485.
- Birdsall C.K., Langdon A.B. Plasma Physics via Computer Simulation. New-York, McGraw-Hill book, 1985. P. 479.
- Taflove Allen, Hagness Susan C. Computational Electrodynamics. The Finite-Difference Time-Domain Method. Third Ed. Artech House. 2005. P. 1038.
- Inan U.S., Marshall R.A. Numerical Electromagnetics. The FDTD Method. Edinburgh, Cambridge (UK), Cambridge Univ. Press, 2011. P. 406.
- Григорьев А.Д. Методы вычислительной электродинамики. М.: Физматлит, 2012. С. 432.
- Программное обеспечение COMSOL Multiphysics URL: https://www.comsol.ru/comsol-multiphysics
- Официальный сайт компании ANSYS Inc. URL: http://www.ansys.com/
- Tarakanov V.P. User’s Manual for Code KARAT. Springfield, VA: Berkeley Res. VA, 1992. C. 262.
- Программное обеспечение MEEP. URL: https://meep.readthedocs.io/en/latest/Materials/
- Kane Yee. Numerical solution of initial boundary value problems involving Maxwell’s equations in isotropic media // IEEE Transact. Anten. Propagat. 1966. V. 14. №. 3. P. 302–307.
- Benford J., Swegle J., Schamiloglu E. High Power Microwaves. Taylor & Francis, New York, 2nd ed. 2007. P. 1–12.
- Харлоу Ф.Х. Численный метод частиц в ячейках для задач гидродинамики. Вычислительные методы в гидродинамике. М.: Мир, 1967. С. 316–342.
- Дьяченко В.Ф. О расчетах задач бесстолкновительной плазмы // Ж. вычисл. матем. и матем. физ. 1985. Т. 25. № 4. С. 622–627.
- Григорьев Ю.Н., Вшивков В.А., Федорук М.П. Численное моделирование методами частиц в ячейках. Новосибирск: Изд-во СО РАН, 2004. С. 358.
- Белоцерковский О.М., Давыдов Ю.М. Метод крупных частиц в газовой динамике. М.: Наука, 1982. С. 370.
- Садин Д.В. Эффективная реализация гибридного метода крупных частиц // Матем. моделирование. 2022. Т. 34. № 4. С. 113–127.
- Birsdall C.K., Fuss D. Clouds-in-clouds, clouds-in-cells physics for many-body plasma simulation // J. Comp. Phys. 1969. V. 3. Iss. 4. P. 494–511.
- Jianguo Wang, Dianhui Zhang, Chunliang Liu, Yongdong Li, Yue Wang, Hongguang Wang, Hailiang Qiao, Xiaoze Li. UNIPIC code for simulations of high power microwave devices // Phys. Plasm. 2009. № 16. P. 1–11.
- Monaghan J.J. An introduction to SPH. // Comp. Phys. Comm. 1988. V. 48. P. 88–96.
- Добрецов Л.Н. Электронная и ионная эмиссия. М.-Л., 1952. С. 312.
- Райзер Ю.П. Физика газового разряда. М.: Наука, 1992. С. 536.
- Lisovskiy V., Yegorenkov V. Validating the collision-dominated Child-Langmuir law for a dc discharge cathode sheath in an undergraduate laboratory // Europ. J. Phys. 2009. V. 30. № 6. P. 1345–1351.
- Самарский А.А., Гулин А.В. Численные методы. М.: Наука, 1989. С. 432.
- Official documentation and manuals on MPI. [Online]. Available from: http://mpi-forum.org/
- Official documentation and manuals on OpenMP. [Online]. Available from: http://www.openmp.org, http://www.llnl.gov/computing/tutorials/openMP
- Smith B.F. Domain Decomposition Methods for Partial Differential Equations / In: Keyes, D.E., Sameh, A., Venkatakrishnan, V. (eds) Parallel Numerical Algorithms. ICASE/LaRC Interdisciplinary Series in Science and Engineering, V. 4. Springer, Dordrecht, 1997. P. 225–243.
- Dolean V., Jolivet P., Nataf F. An Introduction to Domain Decomposition Methods: algorithms, theory and parallel implementation. Master. France. 2015. P. 289. https://hal.science/cel-01100932v6
- Alakeel A.A. Guide to Dynamic Load Balancing in Distributed Computer Systems // Inter. J. Comp. Sci. Network Security (IJCSNS). 2009. V. 10. № 6. P. 153–160.
- Sanders P., Mehlhorn K., Dietzfelbinger M., Dementiev R. Sequential and parallel algorithms and data structures: the basic toolbox. Springer Nature, Cham (Switzerland), 2019. P. 516.
Supplementary files









