A Modified Secant Method for Entropic Lattice Boltzmann Equations
- Authors: Ilyin O.V.1
-
Affiliations:
- Federal Research Center “Computer Science and Control,” Russian Academy of Sciences,
- Issue: Vol 63, No 7 (2023)
- Pages: 1206-1215
- Section: Mathematical physics
- URL: https://ogarev-online.ru/0044-4669/article/view/136200
- DOI: https://doi.org/10.31857/S0044466923060108
- EDN: https://elibrary.ru/UYPYHC
- ID: 136200
Cite item
Full Text
Abstract
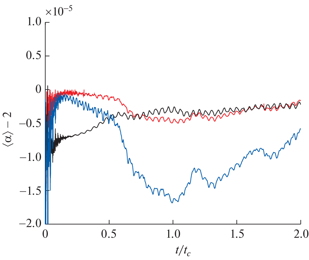
Stability of lattice Boltzmann equations is governed by a parameter that is responsible for the relaxation time of the nonequilibrium system which, in turn, affects the viscosity of the flow under examination. In the entropic approach, the relaxation time is evaluated from the entropy balance equation in such a way that the entropy does not decrease at each time and spatial point. In this paper, a technique for solving the entropy balance equation using a modified secant method is proposed. It is shown that this approach provides high accuracy. As an application of the proposed method, numerical solutions of the two-dimensional double shear problem are considered. The simulation results are compared with the results obtained by other entropic methods.
About the authors
O. V. Ilyin
Federal Research Center “Computer Science and Control,” Russian Academy of Sciences,
Author for correspondence.
Email: oilyin@gmail.com
119333, Moscow, Russia
References
- Krüger T., Kusumaatmaja H., Kuzmin A., Shardt O., Silva G., Viggen E. The Lattice Boltzmann Method. Principles and Practice. Springer, 2017.
- Karlin I., Succi S., Chikatamarla S. Comment on “Numerics of the lattice Boltzmann method: Effects of collision models on the lattice Boltzmann simulations” // Phys. Rev. E. 2011. V. 84. 068701.
- Karlin I., Bösch F., Chikatamarla S., Succi S. Entropy-Assisted Computing of Low-Dissipative Systems // Entropy. 2015. V. 17. P. 8099.
- Godunov S., Sultangazin U. On discrete models of the kinetic Boltzmann equation // Russian Math. Surveys. 1971. V. 26. P. 1.
- Gatignol R. The hydrodynamical description for a discrete velocity model of gas // Complex Systems. 1987. V. 1. P. 709.
- Ilyin O. Discrete Velocity Boltzmann Model for Quasi-Incompressible Hydrodynamics // Mathematics. 2021. V. 9. P. 993.
- Yong W.-A., Luo L.-S. Nonexistence of H theorems for the athermal lattice Boltzmann models with polynomial equilibria // Phys. Rev. E. 2003. 051105.
- Yong W.-A., Luo L.-S. Nonexistence of H Theorem for some Lattice Boltzmann models // J. Stat. Phys. 2005. V. 121. P. 91.
- Karlin I., Succi S. Equilibria for discrete kinetic equations // Phys. Rev. E. 1998. V. 58. R4053.
- Karlin I., Gorban A., Succi S., Boffi V. Maximum Entropy Principle for Lattice Kinetic Equations // Phys. Rev. Lett. 1998. V. 81. P. 6.
- Karlin I., Ferrante A., Öttinger H. Perfect entropy functions of the Lattice Boltzmann method // Europhys. Lett. 1999. V. 47. P. 182.
- Ansumali S., Karlin I., Öttinger H. Minimal entropic kinetic models for hydrodynamics // Europhys. Lett. 2003. V. 63. P. 798.
- Ansumali S., Karlin I. Stabilization of the lattice Boltzmann method by the H theorem: A numerical test // Phys. Rev E. 2000. V. 62. 7999.
- Ansumali S., Karlin I. Entropy Function Approach to the Lattice Boltzmann Method // J. Stat. Phys. 2002. V. 107. P. 291.
- Tosi F., Ubertini S., Succi S., Karlin I. Optimization Strategies for the Entropic Lattice Boltzmann Method // J. Sci. Comput. 2007. V. 30. P. 369.
- Chikatamarla S., Ansumali S., Karlin I. Entropic Lattice Boltzmann Models for Hydrodynamics in Three Dimensions // Phys. Rev. Lett. 2006. V. 97. 010201.
- Atif M., Kolluru P., Thantanapally C., Ansumali S. Essentially Entropic Lattice Boltzmann Model // Phys. Rev. Lett. 2017. V. 119. 240602.
- Zhao W., Yong W.-A. Relaxation-rate formula for the entropic lattice Boltzmann method // Chinese Phys. B. 2019. V. 28. 114701.
- Jonnalagadda A., Sharma A., Agrawal A. Single Relaxation Time Entropic Lattice Boltzmann Methods: A Developer’s Perspective for Stable and Accurate Simulations // Comput. Fluids. 2021. V. 2015. 104792.
- Karlin I., Ansumali S., Frouzakis C., Chikatamarla, S. Elements of the Lattice Boltzmann Method I: Linear Advection Equation // Commun. Comput. Phys. 2006. V. 1. P. 616.
- F. Topsøe. Some bounds for the logarithmic function // https: // rgmia.org/papers/v7n2/pade.pdf. 2007. University of Copenhagen.
- Sterling J., Chen S. Stability Analysis of Lattice Boltzmann Methods // J. Comp. Phys. 1996. V. 123. P. 196.
- Siebert D., Hegele Jr. L., Philippi P. Lattice Boltzmann equation linear stability analysis: Thermal and athermal models // Phys. Rev. E. 2008. V. 77. P. 026707.
- Ricot D., Marié S., Sagaut P. Comparison between lattice Boltzmann method and Navier–Stokes high order schemes for computational aeroacoustics // J. Comp. Phys. 2009. V. 228. P. 1056.
- Wissocq G., Sagaut P., Boussuge J.-F. An extended spectral analysis of the lattice Boltzmann method: modal interactions and stability issues // J. Comp. Phys. 2019. V. 380. P. 311.
- Masset P.-A., Wissocq G. Linear hydrodynamics and stability of the discrete velocity Boltzmann equations // J. Fluid Mech. 2020. V. 897. A.29.
- Coreixas C., Wissocq G., Chopard B., Latt, J. Impact of collision models on the physical properties and the stability of lattice Boltzmann methods // Phil. Trans. R. Soc. A. 2020. V. 378. P. 20190397.
- Wissocq G., Coreixas C., Boussuge J.-F. Linear stability and isotropy properties of athermal regularized lattice Boltzmann methods // Phys. Rev. E. 2020. V. 102. P. 053305.
- Ilyin O. Discrete-velocity Boltzmann model: Regularization and linear stability // Phys. Rev. E. 2022. V. 105. P. 045312.
- Mattila K., Hegele Jr. L., Philippi P. Investigation of an entropic stabilizer for the lattice-Boltzmann method // Phys. Rev. E. 2015. V. 91. P. 063010.
- Dellar P. Bulk and shear viscosities in lattice Boltzmann equations // Phys. Rev. E. 2001. V. 64. P. 031203.
Supplementary files






