“Fast” Solution of the Three-Dimensional Inverse Problem of Quasi-Static Elastography with the Help of the Small Parameter Method
- Authors: Leonov A.S.1, Nefedov N.N.2, Sharov A.N.2, Yagola A.G.2
-
Affiliations:
- National Research Nuclear University “MEPhI”
- Faculty of Physics, Lomonosov Moscow State University
- Issue: Vol 63, No 3 (2023)
- Pages: 449-464
- Section: Mathematical physics
- URL: https://ogarev-online.ru/0044-4669/article/view/134306
- DOI: https://doi.org/10.31857/S0044466923030092
- EDN: https://elibrary.ru/DZYZSM
- ID: 134306
Cite item
Full Text
Abstract
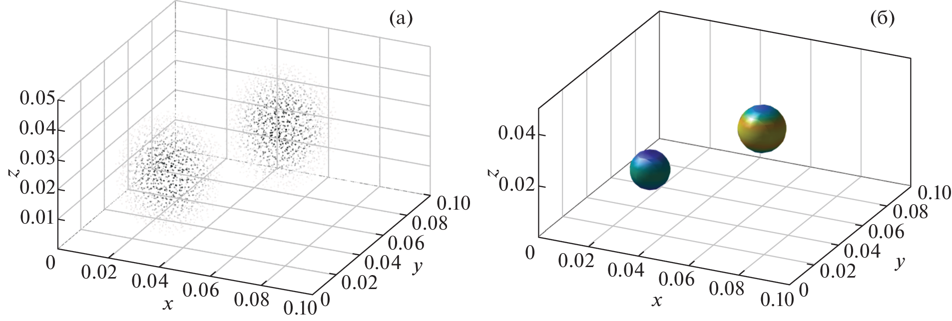
We consider direct and inverse problems of three-dimensional quasi-static elastography underlying a cancer diagnosis method. They are based on a model of a tissue exposed to surface compression with deformations obeying linear elasticity laws. The arising three-dimensional displacements of the tissue are described by a boundary value problem for partial differential equations with coefficients determined by a variable Young’s modulus and a constant Poisson ratio. The problem contains a small parameter, so it can be solved using the theory of regular perturbations of partial differential equations. This is the direct problem. The inverse problem is to find the Young modulus distribution from given tissue displacements. A significant increase in Young’s modulus within a certain tissue domain suggests possible malignancy. Under certain assumptions, simple formulas for solving both direct and inverse problems of three-dimensional quasi-static elastography are derived. Three-dimensional inverse test problems are solved numerically with the help of the proposed formulas. The resulting approximate solutions agree fairly well with the exact model solutions. The computations based on the formulas require only several tens of milliseconds on a moderate-performance personal computer for sufficiently fine grids, so the proposed small-parameter approach can be used in real-time cancer diagnosis.
About the authors
A. S. Leonov
National Research Nuclear University “MEPhI”
Email: asleonov@mephi.ru
115409, Moscow, Russia
N. N. Nefedov
Faculty of Physics, Lomonosov Moscow State University
Email: nefedov@phys.msu.ru
119992, Moscow, Russia
A. N. Sharov
Faculty of Physics, Lomonosov Moscow State University
Email: scharov.aleksandr@physics.msu.ru
119992, Moscow, Russia
A. G. Yagola
Faculty of Physics, Lomonosov Moscow State University
Author for correspondence.
Email: yagola@physics.msu.ru
119992, Moscow, Russia
References
- Gao L., Parker K., Lerner R., et al. Imaging of the elastic properties of tissue – a review // Ultrasound Med. Biol. 1996. V. 22. P. 959–977.
- Ophir J., Alam S., Garra B., et al. Elastography: ultrasonic estimation and imaging of the elastic properties of tissues // Proc. Inst. Mech. Eng. Part H: J. Eng. Med. 1999. V. 213. P. 203–233.
- Greenleaf J.F., Fatemi M., Insana M. Selected methods for imaging elastic properties of biological tissues // A-nnu. Rev. Biomed. Eng. 2003. V. 5. P. 57–78.
- Parker K.J., Taylor L.S., Gracewski S., et al. A unified view of imaging the elastic properties of tissue // J. Acoust. Soc. Am. 2005. V. 117. P. 2705–2712.
- Doyley M. Model-based elastography: a survey of approaches to the inverse elasticity problem // Phys Med Biol. 2012. V. 57. P. R35–R73.
- Гурбатов С.Н., Демин И.Ю., Прончатов-Рубцов Н.В. Ультразвуковая эластография: аналитическое описание различных режимов и технологий, физическое и численное моделирование сдвиговых характеристик мягких биологических тканей: учебно-методическое пособие. Нижний Новгород: Нижегородский гос. ун-т, 2015.
- Oberai A.A., Gokhale N.H., Feijoo G.R. Solution of inverse problems in elasticity imaging using the adjoint method // Inverse Probl. 2003. V. 19. P. 297–313.
- Richards M., Barbone P., Oberai A. Quantitative three-dimensional elasticity imaging from quasi-static deformation: a phantom study // Phys. Med. Biol. 2009. V. 54. P. 757–779.
- Leonov A.S., Sharov A.N., Yagola A.G. A posteriori error estimates for numerical solutions to inverse problems of elastography // Inverse Probl. Sci. Eng. 2017. V. 25. P. 114–128.
- Leonov A.S., Sharov A.N., Yagola A.G. Solution of the inverse elastography problen for parametric classes of inclusions with a posteriori error estimate // J. Inverse Ill-Posed Probl. 2017. V. 26. P. 1–7.
- Leonov A.S., Sharov A.N., Yagola A.G. Solution of the three-dimensional inverse elastography problem for parametric classes of inclusions // Inverse Probl. Sci. Eng. 2021. V. 29. № 8. P. 1055–1069.
- Rychagov M., Khaled W., Reichling S., et al. Numerical modeling and experimental investigation of biomedical elastographic problem by using plane strain state model // Fortsch. Der Akustik. 2003. V. 29. P. 586–589.
- Leonov A.S., Sharov A.N., Yagola A.G. Solution of the three-dimensional inverse elastography problem for parametric classes of inclusions, Inverse Problems in Science and Engineering. 2021. V.29. Issue 8. P. 1055–1069.
- Леонов А.С., Нефедов Н.Н., Шаров А.Н., Ягола А.Г. Решение двумерной обратной задачи квазистатической эластографии с помощью метода малого параметра Ж. вычисл. матем. и матем. физ. 2022. Т. 62. № 5. С. 854–860.
- Ладыженская О.А. Краевые задачи математической физики. М.: Наука, 1973.
- Тихонов А.Н., Васильева А.Б., Свешников А.Г. Дифференциальные уравнения. М.: Наука, 1980.
- Треногин В.А. Функциональный анализ. М.: Наука, 1980.
- Тихонов А.Н., Гончарский А.В., Степанов В.В., Ягола А.Г. Численные методы решения некорректных задач. М.: Наука, 1990.
- Леонов А.С. Решение некорректно поставленных обратных задач. Очерк теории, практические алгоритмы и демонстрации в МАТЛАБ. М.: Либроком, 2009.
Supplementary files











