Investigation of strategies for the interclass prediction of the activity of bipharmacophore butyrylcholinesterase inhibitors based on QSAR modeling
- Authors: Grigorev V.Y.1, Razdolsky A.N.1, Kazachenko V.P.1
-
Affiliations:
- Institute of Physiologically Active Compounds, Federal Research Center of Problems of Chemical Physics and Medicinal Chemistry of the Russian Academy of Sciences
- Issue: Vol 94, No 10 (2024)
- Pages: 1058-1068
- Section: Articles
- URL: https://ogarev-online.ru/0044-460X/article/view/281086
- DOI: https://doi.org/10.31857/S0044460X24100058
- EDN: https://elibrary.ru/REXKZX
- ID: 281086
Cite item
Full Text
Abstract
Three schemes of interclass prediction of the activity of a number of bipharmacophoric butyrylcholinesterase inhibitors were studied using QSAR modeling. Using machine learning methods (multiple linear regression, random forest, support vector machine and Gaussian process), QSAR models with satisfactory statistical characteristics were constructed. Based on them, rational and random interclass prediction schemes were studied. It was found that these schemes complement each other and their relative efficiency was assessed.
Keywords
Full Text
Введение
Разработка новых лекарственных средств является сложной и актуальной задачей, для решения которой требуются большие материальные и временные затраты. Достаточно сказать, что для того, чтобы вывести новое лекарственное средство на рынок требуется до 4.54 миллиардов долларов США [1] и 15 лет [2]. С учетом этого на фоне известных высокозатратных методов поиска новых лекарств, включая метод проб и ошибок, химическую модификацию известных лекарств и природных продуктов, высокопроизводительный скрининг, привлекательным выглядит использование компьютерного молекулярного дизайна [3, 4], который в значительной степени минимизирует вышеуказанные издержки. В основе этого подхода лежат методы молекулярного моделирования и машинного обучения. С их помощью были разработаны такие известные лекарственные средства как каптоприл, индинавир, алискирен и другие [5].
Ключевыми этапами при использовании компьютерного молекулярного дизайна является конструирование модели биологической активности и ее применение для поиска новых физиологически активных веществ [3–6]. Для создания модели биоактивности используются различные подходы. В частности, если трехмерная структура биомишени известна, то для создания модели используются такие методы как молекулярный докинг, молекулярная динамика и дизайн de novo. При отсутствии такой информации, но при наличии ряда химических соединений с доказанной и измеренной биологической активностью, применяются различные варианты подхода известного как количественная связь структура–активность (QSAR) и фармакофорное моделирование.
Одной из основных концепций при разработке новых физиологически активных веществ является поиск соединений, обладающих различной структурой, но проявляющих одинаковый вид активности. В дальнейшем с учетом цели нашей работы для обозначения этой концепции будем использовать термин «межклассовый прогноз активности» (МПА). В рамках этой концепции сформирован подход, который в англоязычной научной литературе обозначается как «scaffold hopping» (SH) [7]. По сути, он представляет собой прогноз активности соединений одного класса с использованием модели, созданной на основе соединений другого класса, путем модификации/замены ядра (scaffold) активной молекулы. При этом в качестве ядра могут рассматриваться различные структурные элементы, включая фармакофоры, «отпечатки пальцев» и др. В качестве основных направлений использования SH можно выделить виртуальный скрининг [8] и целевую модификацию свойств физиологически активных веществ [9]. SH используется в сочетании с различными методами, в том числе с QSAR [10]. При этом указанный метод может использоваться в различном качестве. Например, для построения модели активности известных соединений с последующей визуализацией и SH анализом [11]. В другой работе [12] на основе сгенерированных ядер определенным образом формируются обучающая и тестовая выборки соединений и после создания QSAR модели анализируются ядра активных соединений тестовой выборки с использованием SH подхода. Наконец, в качестве другого примера можно привести работу [13], в которой QSAR модель используется просто для подтверждения того, что все исследуемые соединения обладают одинаковым типом активности по отношению к выбранной биомишени. На фоне различных сочетаний QSAR+SH выглядит малоисследованным и представляет определенный интерес изучение в рамках концепции технологии МПА, в которой QSAR модель непосредственно используется для оценки активности соединений с новыми ядрами.
В последнее время одним из перспективных направлений в медицине стала полифармакология [14, 15], которая занимается разработкой или использованием фармацевтических агентов, одновременно действующих на несколько биомишеней или на пути распространения болезней. В частности, такой подход применяется при поиске новых химических соединений для лечения болезни Альцгеймера [16]. Известные лекарства для лечения болезни Альцгеймера, такие как донепезил, ривастигмин, являются мультитаргетными соединениями и активны, в частности, по отношению к AChE и BChE [17, 18]. Таким образом, полифармакофорные мультитаргетные соединения являются перспективными объектами для дальнейших исследований.
Настоящая работа посвящена изучению различных стратегий межклассового прогноза активности ряда бифармакофорных ингибиторов BChE с использованием QSAR и SH моделирования.
Результаты и обсуждение
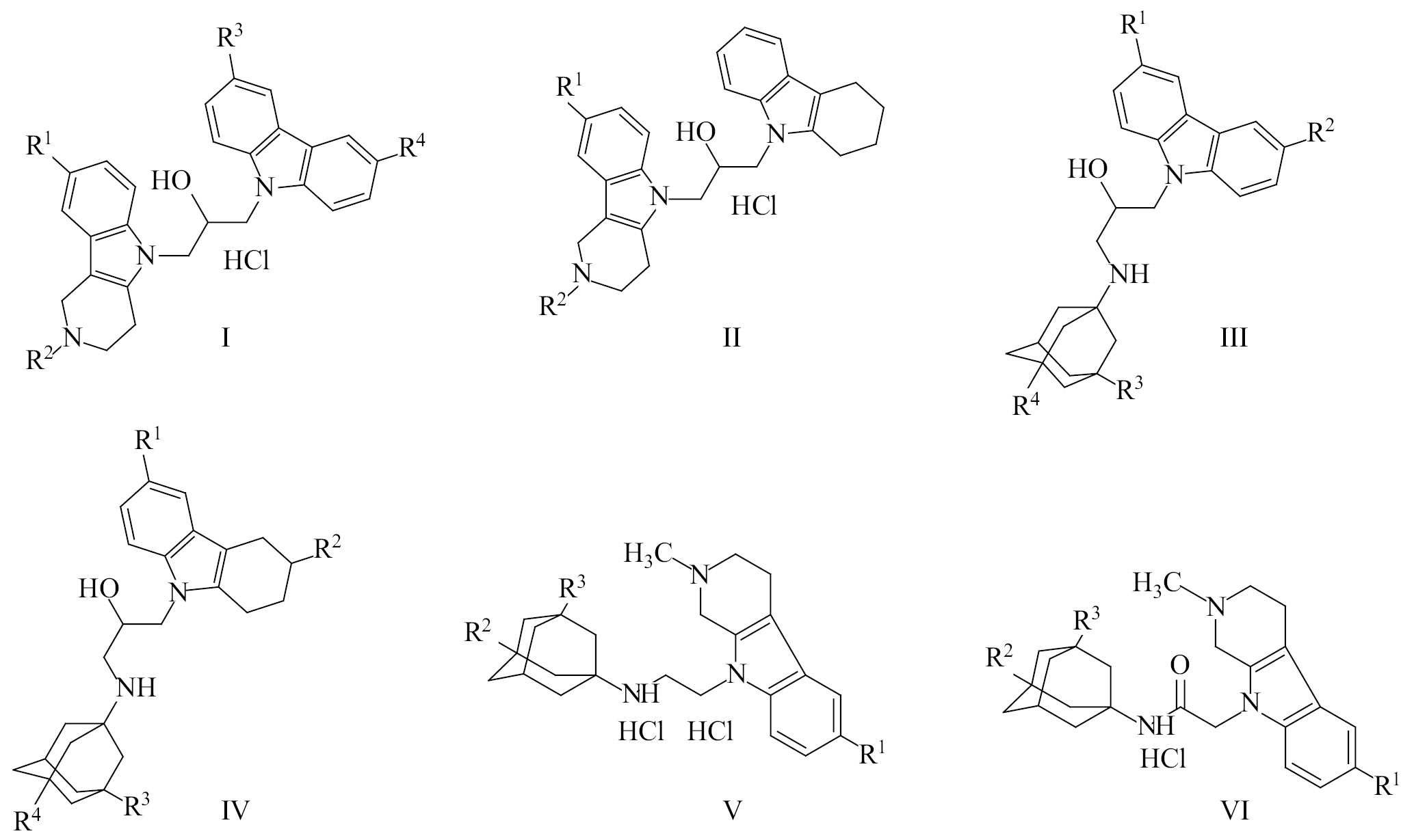
Для моделирования межклассового прогноза активности использовали ряд из 47 соединений, взятых из литературы [19, 20] (табл. 1, схема 1). Экспериментальные величины ингибиторной активности соединений по отношению к BChE (IC50, мкМ./л) определены в одной лаборатории и по единой методике, что увеличивает точность прогноза. Минимальное и максимальное значение IC50 составляет 0.666 и 55.4 мкМ./л соответственно. Среднее значение равно 11.9 мкМ./л. Исследуемые соединения не только являются ингибиторами BChE, но и обладают ингибиторной активностью по отношению к AChE, т. е. относятся к классу мультитаргетных соединений. Учитывая, что величины IC50 (мкМ./л) по отношению к BChE таких известных лекарств для лечения болезни Альцгеймера, как донепезил и ривастигмин, составляют 4.94 и 1.71 [17] соответственно, можно констатировать, что диапазон изменения IC50 является вполне рабочим и перспективным для исследования. Для конструирования QSAR моделей величины IC50 преобразованы с использованием отрицательного логарифма –log(IC50). Следует отметить, что при этом интервал изменения активности составлял около двух порядков, а минимальное и максимальное значение были равны –1.744 и 0.177 соответственно.
Таблица 1. Ингибирующая активность бифармакофорных соединений 1–47.
Соединение | Группа | R1 | R2 | R3 | R4 | IC50, мкМ./л | –log(IC50) |
1 | I | H | CH3 | H | H | 3.40 | –0.531 |
2 | I | H | C2H5 | H | H | 2.19 | –0.340 |
3 | I | CH3 | CH3 | H | H | 3.44 | –0.537 |
4 | I | CH3 | C2H5 | H | H | 6.11 | –0.786 |
5 | I | F | CH3 | H | H | 3.14 | –0.497 |
6 | I | F | C2H5 | H | H | 4.05 | –0.607 |
7 | I | H | CH3 | Cl | Cl | 3.48 | –0.542 |
8 | I | CH3 | CH3 | Cl | Cl | 16.4 | –1.215 |
9 | I | CH3 | C2H5 | Cl | Cl | 12.5 | –1.097 |
10 | I | F | CH3 | Cl | Cl | 1.93 | –0.286 |
11 | I | F | C2H5 | Cl | Cl | 33.4 | –1.524 |
12 | I | H | CH3 | Br | Br | 2.69 | –0.430 |
13 | I | H | C2H5 | Br | Br | 21.6 | –1.334 |
14 | I | CH3 | C2H5 | Br | Br | 3.16 | –0.500 |
15 | I | F | CH3 | Br | Br | 1.18 | –0.072 |
16 | II | H | CH3 | 1.06 | –0.025 | ||
17 | II | H | C2H5 | 2.77 | –0.442 | ||
18 | II | CH3 | CH3 | 3.90 | –0.591 | ||
19 | II | CH3 | C2H5 | 5.23 | –0.719 | ||
20 | II | F | CH3 | 5.03 | –0.702 | ||
21 | II | F | C2H5 | 5.83 | –0.766 | ||
22 | III | H | H | H | H | 15.9 | –1.201 |
23 | III | H | H | CH3 | CH3 | 7.6 | –0.881 |
24 | III | Br | Br | H | H | 20.7 | –1.316 |
25 | III | Br | Br | CH3 | CH3 | 55.4 | –1.744 |
26 | III | Cl | Cl | H | H | 23.7 | –1.375 |
27 | III | Cl | Cl | CH3 | CH3 | 40.7 | –1.610 |
28 | IV | H | H | H | H | 7.29 | –0.863 |
29 | IV | H | H | CH3 | CH3 | 6.13 | –0.787 |
30 | IV | CH3 | H | H | H | 20.02 | –1.301 |
31 | IV | CH3 | H | CH3 | CH3 | 33.0 | –1.519 |
32 | IV | CH3 | CH3 | H | H | 9.17 | –0.962 |
33 | IV | CH3 | CH3 | CH3 | CH3 | 8.24 | –0.916 |
34 | IV | F | H | H | H | 8.66 | –0.938 |
35 | IV | F | H | CH3 | CH3 | 5.43 | –0.735 |
36 | V | H | CH3 | CH3 | 0.666 | 0.177 | |
37 | V | CH3 | CH3 | CH3 | 5.07 | –0.705 | |
38 | V | F | CH3 | CH3 | 0.729 | 0.137 | |
39 | V | H | H | H | 2.48 | –0.394 | |
40 | V | CH3 | H | H | 9.05 | –0.957 | |
41 | V | F | H | H | 2.53 | –0.403 | |
42 | VI | H | CH3 | CH3 | 9.66 | –0.985 | |
43 | VI | CH3 | CH3 | CH3 | 33.7 | –1.528 | |
44 | VI | F | CH3 | CH3 | 6.00 | –0.778 | |
45 | VI | H | H | H | 26.5 | –1.423 | |
46 | VI | CH3 | H | H | 43.2 | –1.635 | |
47 | VI | F | H | H | 17.1 | –1.233 |
Схема 1.
Исследуемые соединения содержат по две фармакофорные группы, соединенные различными молекулярными спейсерами. Всего исследовано шесть рядов бифармакофорных соединений, включающих в себя конъюгаты γ-карболинов с производными карбазола (I) и тетрагидрокарбазола (II), конъюгаты аминоадамантанов с производными карбазола (III) и тетрагидрокарбазола (IV) и конъюгаты аминоадамантанов с γ-карболинами (V, VI). Для увеличения статистической значимости результатов исследования введем некоторые допущения: (1) будем рассматривать карбазолы и тетрагидрокарбазолы в качестве одной фармакофорной группы; (2) будем считать, что все фармакофорные группы соединены с помощью одного и того же молекулярного спейсера. С учетом вышесказанного общее число фармакофорных групп, а также число их парных комбинаций будет равно 3. Для создания QSAR моделей активности использовали три комбинации соединений: I+II, III+IV и V+VI, каждая из которых содержала две фармакофорные группы. Общая идея симуляции рационального межклассового прогноза активности бифармакофорных соединений состояла в конструировании QSAR модели с использованием обучающего ряда, включающего 1 или 2 комбинации соединений, и предсказании на ее основе активности для других комбинаций соединений.
Рассмотрим две стратегии межклассового прогноза активности с использованием трех комбинаций соединений: I+II, III+IV и V+VI (рис. 1, 2). В первой стратегии (МПА-1) для создания рабочих моделей активности используются соединения, входящие в одну комбинацию соединений, а прогноз осуществляется для двух оставшихся комбинаций. Во второй стратегии (МПА-2) конструируются модели на основе двух комбинаций, а межклассовый прогноз проводится для третьей комбинации соединений.
Рис. 1. Первая стратегия межклассового прогноза (МПА-1).
В табл. 2–4 представлены статистические характеристики сконструированных QSAR моделей. Следует подчеркнуть, что большинство разработанных QSAR моделей удовлетворяют минимальным требованиям, которые к ним предъявляются [21], в частности, R2cv > 0.5, R2p > 0.5. Они также вполне соответствуют принципам OECD, связанным с QSAR валидацией [22]. При этом в лучших сконструированных моделях величина R2cv достигает 0.8–0.9, что вполне сопоставимо с опубликованными в литературе данными по ингибиторам BChE. Так, например, в работе [23] для ряда из 68 соединений разработана QSAR модель, имеющая R2cv = 0.873, а в публикации [24] приведена модель, созданная на основе 46 ингибиторов (что соответствует размеру наших данных) BChE/AChE, имеющая величины R2 = 0.883 и R2 = 0.881 для обучающей и тестовой выборок соответственно.
Таблица 2. Статистические характеристики QSAR моделей (МПА-1).
Алгоритма | Дескрипторыб | n | R2cv | scv | FITcv | R2p | Комбинацияв |
МЛР | 256; 534; 614; 636; 747 | 21 | 0.560 | 0.25 | 0.41 | 0.620 | I+II(III+IV) |
МЛР | 256; 336; 618; 636; 717 | 21 | 0.541 | 0.25 | 0.38 | 0.614 | I+II(V+VI) |
СЛ | – | 21 | <0.5 | – | – | – | I+II(III+IV) |
СЛ | – | 21 | <0.5 | – | – | – | I+II(V+VI) |
МОВ | 37; 149; 240; 717 | 21 | 0.635 | 0.23 | 0.75 | 0.794 | I+II(III+IV) |
МОВ | 256; 534; 636; 747 | 21 | 0.544 | 0.25 | 0.52 | 0.519 | I+II(V+VI) |
ГП | 37; 122; 156; 256; 336 | 21 | 0.611 | 0.23 | 0.51 | 0.536 | I+II(III+IV) |
ГП | 256; 534; 636; 747; 777 | 21 | 0.575 | 0.24 | 0.44 | 0.535 | I+II(V+VI) |
МЛР | 143; 634; 741 | 14 | 0.811 | 0.14 | 1.87 | 0.758 | III+IV(V+VI) |
МЛР | 143; 634; 741 | 14 | 0.811 | 0.14 | 1.87 | 0.758 | III+IV(I+II) |
СЛ | – | 14 | <0.5 | – | – | – | III+IV(V+VI) |
СЛ | 146; 214; 619 | 14 | 0.511 | 0.22 | 0.45 | 0.580 | III+IV(I+II) |
МОВ | 143; 634; 741 | 14 | 0.818 | 0.13 | 1.95 | 0.617 | III+IV(V+VI) |
МОВ | 143; 634; 741 | 14 | 0.818 | 0.13 | 1.95 | 0.617 | III+IV(I+II) |
ГП | 143; 634; 741 | 14 | 0.798 | 0.14 | 1.72 | 0.669 | III+IV(V+VI) |
ГП | 143; 634; 741 | 14 | 0.798 | 0.14 | 1.72 | 0.669 | III+IV(I+II) |
МЛР | 125; 440; 534 | 12 | 0.677 | 0.33 | 0.80 | 0.664 | V+VI(I+II) |
МЛР | 133; 208; 240 | 12 | 0.895 | 0.19 | 3.26 | 0.788 | V+VI(III+IV) |
СЛ | – | 12 | <0.5 | – | – | – | V+VI(I+II) |
СЛ | – | 12 | <0.5 | – | – | – | V+VI(III+IV) |
МОВ | 240; 313; 624 | 12 | 0.769 | 0.28 | 1.27 | 0.717 | V+VI(I+II) |
МОВ | 125; 133; 208 | 12 | 0.885 | 0.20 | 2.94 | 0.747 | V+VI(III+IV) |
ГП | 125; 440; 534 | 12 | 0.615 | 0.36 | 0.61 | 0.589 | V+VI(I+II) |
ГП | 125; 133; 208 | 12 | 0.903 | 0.18 | 3.53 | 0.679 | V+VI(III+IV) |
а МЛР – множественная линейная регрессия [25], СЛ – случайный лес [26], МОВ – машина опорных векторов [27], ГП – гауссовский процесс [28].
б Дескрипторы (тип): 1÷100 (AAE); 101÷200 (AAF); 201÷300 (Q– –); 301÷400 (Q+–); 401÷500 (Q++); 501÷600 (DAE); 601÷700 (DAF); 701÷800 (VDW).
в Комбинация X1+X2(Y1+Y2): X – группы соединений, использованных для создания QSAR модели; Y – группы соединений, использованных для межклассового прогноза.
Таблица 3. Статистические характеристики QSAR моделей (МПА-2).
Алгоритма | Дескрипторыб | n | R2cv | scv | FITcv | R2p | Комбинацияв |
МЛР | 62; 311; 320; 444; 528 | 35 | 0.681 | 0.24 | 1.03 | 0.695 | I, II, III, IV(V,VI) |
случайного леса | – | 35 | – | – | – | <0.5 | I, II, III, IV(V,VI) |
МОВ | 311; 320; 528; 722 | 35 | 0.638 | 0.26 | 1.04 | 0.511 | I, II, III, IV(V,VI) |
ГП | 152; 311; 320; 528; 722 | 35 | 0.652 | 0.25 | 0.90 | 0.620 | I, II, III, IV(V,VI) |
МЛР | 55; 240; 247; 408; 768 | 33 | 0.595 | 0.30 | 0.68 | 0.631 | I, II, V, VI(III,IV) |
СЛ | – | 33 | <0.5 | – | – | – | I, II, V, VI(III,IV) |
МОВ | 152; 243; 617; 768 | 33 | 0.549 | 0.31 | 0.70 | 0.604 | I, II, V, VI(III,IV) |
ГП | 240; 242; 408; 416; 768 | 33 | 0.612 | 0.29 | 0.74 | 0.581 | I, II, V, VI(III,IV) |
МЛР | 36; 117; 320; 407; 440 | 26 | 0.851 | 0.19 | 2.24 | 0.801 | III, IV, V, VI(I,II) |
СЛ | 10; 247; 318; 407; 639 | 26 | 0.653 | 0.29 | 0.74 | 0.567 | III, IV, V, VI(I,II) |
МОВ | 36; 109; 117; 348 | 26 | 0.856 | 0.19 | 2.96 | 0.691 | III, IV, V, VI(I,II) |
ГП | 36; 109; 117; 348; 407 | 26 | 0.888 | 0.16 | 3.10 | 0.735 | III, IV, V, VI(I,II) |
а МЛР – множественная линейная регрессия [25], СЛ – случайный лес [26], МОВ – машина опорных векторов [27], ГП – гауссовский процесс [28].
б Дескрипторы (тип): 1÷100 (AAE); 101÷200 (AAF); 201÷300 (Q– –); 301÷400 (Q+–); 401÷500 (Q++); 501÷600 (DAE); 601÷700 (DAF); 701÷800 (VDW).
в Комбинация X1,X2,X3,X4(Y1,Y2): X – группы соединений, использованных для создания QSAR модели; Y – группы соединений, использованных для межклассового прогноза.
Таблица 4. Статистические характеристики QSAR моделей (МПА-3).
Алгоритма | Дескрипторыб | n | R2cv | scv | FITcv | R2p |
МЛР | 125; 142; 260; 351; 517 | 24 | 0.756 | 0.21 | 1.14 | 0.749 |
МОВ | 324; 351; 443; 517 | 24 | 0.767 | 0.21 | 1.57 | 0.898 |
ГП | 57; 125; 351; 517; 626 | 24 | 0.754 | 0.21 | 1.13 | 0.675 |
а МЛР – множественная линейная регрессия [25], СЛ – случайный лес [26], МОВ – машина опорных векторов [27], ГП – гауссовский процесс [28].
б Дескрипторы (тип): 1÷100 (AAE); 101÷200 (AAF); 201÷300 (Q– –); 301÷400 (Q+–); 401÷500 (Q++); 501÷600 (DAE); 601÷700 (DAF); 701÷800 (VDW).
Рис. 2. Вторая стратегия межклассового прогноза (МПА-2).
В табл. 2 приведены статистические параметры моделей при использовании стратегии МПА-1. Следует отметить, что не все примененные алгоритмы обеспечивают получение удовлетворительных QSAR моделей. В частности, метод случайного леса показывает худший результат, поэтому он не использовался для межклассового прогноза активности. Для выявления значимости дескрипторов был проведен расчет частоты их появления при проведении МПА-1 (рис. 3). При этом можно отметить, что наиболее часто в качестве независимых переменных в QSAR моделях фигурируют AAF и DAF дескрипторы. Это может свидетельствовать о том, что при использовании стратегии МПА-1 наиболее значимыми внутримолекулярными парными атомными взаимодействиями являются взаимодействия типа Н-акцептор–Н-акцептор и Н-донор–Н-акцептор. Среди AAF дескрипторов наиболее часто встречается дескриптор 143, при этом он изменяется в пределах от 0.000 до 0.122. Минимальное и максимальное значение наиболее значимого DAF дескриптора 634 составляет 0.000 и 0.674 соответственно.
Рис. 3. Частота появления групповых дескрипторов в QSAR моделях (МПА-1).
Результаты исследования стратегии МПА-2 приведены в табл. 3 и на рис. 4. Обращает на себя внимание тот факт, что, как и в случае МПА-1, наиболее слабым алгоритмом машинного обучения является метод случайного леса. QSAR модели, полученные с помощью других алгоритмов, имеют сопоставимые статистические характеристики и могут быть применены для межклассового прогноза. Молекулярные дескрипторы, использованные для конструирования этих моделей, имеют по сравнению с МПА-1 другое распределение. В частности, наиболее часто встречаются дескрипторы двух типов: Q+– и Q++. Вероятно, это указывает на более значимую роль внутримолекулярных электростатических взаимодействий при проведении стратегии МПА-2. При этом минимальные значения ведущих дескрипторов 320 (тип Q+–) и 407 (тип Q++) равны 0.008 и 0.000, а максимальные величины составляют 0.023 и 0.0001 соответственно.
Рис. 4. Частота появления групповых дескрипторов в QSAR моделях (МПА-2).
Для улучшения статистической значимости результатов межклассового прогноза активности мы применили консенсусный подход. При этом в качестве предсказанной активности анализируемого соединения рассматривали среднее арифметическое из рассчитанных значений активности на основе всех моделей соответствующей стратегии прогноза. Необходимым условием включения соединения в прогнозный список было вхождение в область применимости всех QSAR моделей. Результаты такого подхода отражены на рис. 5. Среднеквадратичное отклонение между экспериментальными и прогнозируемыми величинами активности (spr) составило 0.68 и 0.49 для МПА-1 и МПА-2 соответственно. Полученные величины в 2–3 раза превышают величины scv, но вполне соответствуют приводимым в литературе межлабораторным ошибкам определения IC50 [29]. Только для трех соединений (1, 2 и 28) из 17 величина log(IC50) рассчитана с использованием обеих схем межклассового прогноза. Наибольшие отклонения между экспериментальными и прогнозируемыми величинами ингибиторной активности, приближающиеся к 2spr, наблюдались для соединений 1 и 2 (МПА-1) и для соединений 2, 24 и 45 (МПА-2). В целом можно отметить, что в отношении диапазона прогнозируемых активностей стратегии МПА-1 и МПА-2 дополняют друг друга.
Рис. 5. Зависимость между экспериментальными и прогнозируемыми значениями активности соединений.
Для сравнительного анализа сконструированы QSAR модели (табл. 4) и осуществлен межклассовый прогноз (МПА-3) (рис. 5) со случайным выбором соединений. Размер обучающей выборки с учетом того, что в стратегиях МПА-1 и МПА-2 обучение проводили с использованием от 12 до 35 соединений, составил 24 соединения (среднее значение). Полученные модели имеют удовлетворительные статистические характеристики и могут быть использованы для межклассового прогноза активности. Распределение ведущих дескрипторов в полученных QSAR моделях (рис. 6) отличается от рассмотренных ранее частот появления в стратегиях МПА-1 и МПА-2 и представляет собой комбинацию из дескрипторов AAF, Q+– и DAE. В случае МПА-3 одно соединение (38) имеет значительную разницу между величинами экспериментальной и предсказанной активности. В целом для всех пяти соединений spr = 0.57, что вполне соответствует данным, полученным при проведении МПА-1 и МПА-2. Однако количество соединений, для которых была рассчитана активность, оказывается меньше: пять (МПА-3) против восьми (МПА-1) и девяти (МПА-2). При этом из этих пяти соединений для трех (9, 29 и 42) предсказаны активности в стратегиях МПА-1 и МПА-2. Также следует отметить, что при использовании этих стратегий величины экспериментальных и прогнозируемых активностей соединений близки между собой: соединения 9 (–1.097, –1.114), 29 (–0.787, –0.756) и 42 (–0.985, –0.917).
Рис. 6. Частота появления групповых дескрипторов в QSAR моделях (МПА-3).
Корреляция между экспериментальными и прогнозируемыми активностями для всех соединений, представленных на рис. 5, оказывается ожидаемо низкой (n = 22, R2 = 0.007, s = 0.42). Очевидно, что это связано как с природой МПА, так и с теми допущениями, которые были положены в основу формирования трех исследуемых комбинаций соединений. Удаление из выборки соединений, у которых разность между log(IC50)эксп и log(IC50)прог по абсолютной величине превышала 0.5 логарифмических единиц, значительно улучшало корреляцию (n = 12, R2 = 0.461, s = 0.25). Пять из десяти удаленных соединений принадлежало комбинации I+II, два относилось к комбинации III+IV и три входило в состав комбинации V+VI. Вероятно, наибольший вклад в ошибку прогноза вносит объединение производных карбазола и тетрагидрокарбазола в одну группу. Менее значим вклад, связанный с использованием различных спейсеров для формирования конъюгатов.
Выводы
В результате проведенного исследования установлено, что рациональные стратегии межклассового прогноза (МПА-1 и МПА-2) в отношении диапазона прогнозируемых активностей взаимно дополняют друг друга. При использовании стратегии случайного прогноза (МПА-3) три из пяти предсказанных соединений также обнаруживаются в прогнозах МПА-1 и МПА-2. Эффективность стратегий может быть выражена в виде ряда: МПА-2 > МПА-3 > МПА-1 в соответствии с величинами стандартных отклонений или в виде ряда МПА-2 > МПА-1 > МПА-3 при использовании в качестве критерия количества предсказанных соединений. Стратегии МПА, исследованные при анализе бифармакофорных ингибиторов BChE на основе замены фармакофорной группы, а также полученные при этом оценки среднеквадратичных отклонений межклассового прогноза биоактивности могут быть использованы при поиске новых бифармакофорных физиологически активных веществ.
Экспериментальная часть
QSAR моделирование проводили на основе in-house компьютерных программ с использованием различных алгоритмов машинного обучения, включая множественную линейную регрессию (МЛР) [25], случайный лес (CЛ) [26], машину опорных векторов (МОВ) [27] и гауссовский процесс (ГП) [28]. С учетом малых размеров обучающих выборок применяли только внутреннее тестирование на основе скользящего контроля с выбором по 5 (10 итераций). В качестве статистических характеристик моделей использовали: n – число соединений; R2 – квадрат коэффициента линейной корреляции; R2cv – квадрат коэффициента линейной корреляции в условиях скользящего контроля; s – среднеквадратичное отклонение; scv – среднеквадратичное отклонение в условиях скользящего контроля; spr – среднеквадратичное отклонение межклассового прогноза; R2p – рандомизационный параметр [30] (100 итераций), FITcv – модифицированный критерий Фишера [31] в условиях скользящего контроля. Для оценки области применимости (ОП) модели использовали три величины: X-ОП (интервал изменения дескрипторов), Y-ОП (интервал изменения активности) и S-ОП (структурное сходство между молекулами на основе индекса Танимото (Тс) [32], рассчитанного на основе дескрипторных 10-битовых «отпечатков пальцев» с пороговым значением Тс = 0.7 и первым ближайшим соседом). Расчет Tc проводили исключительно на основе дескрипторов QSAR модели. При проведении межклассового прогноза активности рассматривали только молекулы, попадающие в ОП. Минимальная, максимальная и средняя величина индексов Танимото, рассчитанных с использованием всех 800 дескрипторов и первого ближайшего соседа, для комбинаций соединений (I+II)/(III+IV+V+VI), (III+IV)/(I+II+V+VI) и (V+VI)/(I+II+III+IV) составила (0.395, 0.496, 0.442), (0.440, 0.595, 0.519) и (0.499, 0.568, 0.527) соответственно.
Для описания структуры молекул, учитывая положительный опыт применения для мультитаргетных соединений [33], использовали интегралы интенсивностей спектров межатомных внутримолекулярных взаимодействий в диапазоне от 0 до 20 ангстрем с шагом 0.2 ангстрема, что приводило к появлению 100 дескрипторов, которые рассчитывали с помощью программы MOLTRA [34]. Расчет проводили с учетом 8 типов парных внутримолекулярных атомных взаимодействий: Н-акцептор–Н-акцептор (AAE, AAF), Н-донор–Н-акцептор (DAE, DAF), отрицательно заряженных атомов (Q– –), положительно заряженных атомов (Q++), положительно и отрицательно заряженных атомов (Q+–) и ван-дер-ваальсовых взаимодействий (VDW). Таким образом, для описания пространственной структуры каждого соединения с помощью спектров межатомных внутримолекулярных взаимодействий использовали 8×100 = 800 дескрипторов. После процедуры анализа коэффициентов корреляции дескрипторов с активностью при пороге 0.5 их число сокращалось до 15–45. Выбор дескрипторов для QSAR моделирования проводили путем перебора всех возможных комбинаций из 1–5 дескрипторов с учетом того, чтобы в модели на каждую переменную приходилось не менее четырех соединений обучающей выборки. Отбор лучших моделей осуществляли на основе максимального значения FITcv при условии, что R2cv > 0.5, R2p > 0.5.
Финансовая поддержка
Работа выполнена при поддержке Министерства науки и высшего образования Российской Федерации в рамках государственного задания Института физиологически активных веществ РАН 2024 года (тема № FFSG-2024-0019).
Конфликт интересов
Авторы заявляют об отсутствии конфликта интересов.
About the authors
V. Y. Grigorev
Institute of Physiologically Active Compounds, Federal Research Center of Problems of Chemical Physics and Medicinal Chemistry of the Russian Academy of Sciences
Author for correspondence.
Email: beng@ipac.ac.ru
ORCID iD: 0000-0002-5288-3242
Russian Federation, 142432, Chernogolovka
A. N. Razdolsky
Institute of Physiologically Active Compounds, Federal Research Center of Problems of Chemical Physics and Medicinal Chemistry of the Russian Academy of Sciences
Email: beng@ipac.ac.ru
ORCID iD: 0000-0002-3389-4659
Russian Federation, 142432, Chernogolovka
V. P. Kazachenko
Institute of Physiologically Active Compounds, Federal Research Center of Problems of Chemical Physics and Medicinal Chemistry of the Russian Academy of Sciences
Email: beng@ipac.ac.ru
ORCID iD: 0000-0003-1424-1895
Russian Federation, 142432, Chernogolovka
References
- Schlander M., Hernandez-Villafuerte K., Cheng C.Y., Mestre-Ferrandiz J., Baumann M. // Pharmacoeconomics. 2021. Vol. 39. P. 1243. doi: 10.1007/s40273-021-01065-y
- Sadybekov A.V., Katritch V. // Nature. 2023. Vol. 616. P. 673. doi: 10.1038/s41586-023-05905-z
- Doytchinova I. // Molecules. 2022. Vol. 27. P. 1496. doi: 10.3390/molecules27051496
- Niazi S.K., Mariam Z. // Pharmaceuticals. 2024. Vol. 17. P. 22. doi: 10.3390/ph17010022
- Baig M.H., Ahmad K., Roy S., Ashraf J.M., Adil M., Siddiqui M.H., Khan S., Kamal M.A., Provazník I., Choi I. // Curr. Pharm. Des. 2016. Vol. 22. P. 572. doi 10.2174/ 1381612822666151125000550
- Зефирова О.Н., Зефиров Н.С. // Вестн. Московск. унив. Сер. 2. Химия. 2000. Т. 41. С. 103.
- Hu Y., Stumpfe D., Bajorath J. // J. Med. Chem. 2017. Vol. 60. P. 1238. doi: 10.1021/acs.jmedchem.6b01437
- Stojanović L., Popović M., Tijanić N., Rakočević G., Kalinić M. // J. Chem. Inf. Model. 2020. Vol. 60. P. 4629. doi: 10.1021/acs.jcim.0c00622
- Acharya A., Yadav M., Nagpure M., Kumaresan S., Guchhait S.K. // Drug Discov. Today. 2024. Vol. 29. Article no. 103845. doi: 10.1016/j.drudis.2023.103845
- Wang Y., Jia S., Wang F., Jiang R., Yin X., Wang S., Jin R., Guo H., Tang Y., Wang Y. // Int. J. Mol. Sci. 2024. Vol. 25. Article no. 7434. doi: 10.3390/ijms25137434
- Floresta G., Rescifina A., Marrazzo A., Dichiara M., Pistarà V., Pittalà V., Prezzavento O., Amata E. // Eur. J. Med. Chem. 2017. Vol. 139. P. 884. doi 10.1016/ j.ejmech.2017.08.053
- Škuta C., Cortés-Ciriano I., Dehaen W., Kříž P., van Westen G.J.P., Tetko I.V., Bender A., Svozil D. // J. Cheminform. 2020. Vol. 12. P. 39. doi: 10.1186/s13321-020-00443-6
- Zheng S., Lei Z., Ai H., Chen H., Deng D., Yang Y. // J. Cheminform. 2021. Vol. 13. P. 87. doi: 10.1186/s13321-021-00565-5
- Ryszkiewicz P., Malinowska B., Schlicker E. // Pharmacol. Rep. 2023. Vol. 75. P. 755. doi: 10.1007/s43440-023-00501-4
- Sánchez-Tejeda J.F., Sánchez-Ruiz J.F., Salazar J.R., Loza-Mejía M.A. // Front. Chem. 2020. Vol. 8. P. 176. doi: 10.3389/fchem.2020.00176
- Albertini C., Salerno A., de Sena Murteira Pinheiro P., Bolognesi M.L. // Med. Res. Rev. 2021. Vol. 41. P. 2606. doi: 10.1002/med.21699
- Zhou S., Huang G. // Biomed. Pharmacother. 2022. Vol. 146. Article no. 112556. doi: 10.1016/j.biopha. 2021.112556
- Greig N.H., Lahiri D.K., Sambamurti K. // Int. Psychogeriatr. 2002. Vol. 14. P. 77. doi: 10.1017/s1041610203008676
- Makhaeva G.F., Shevtsova E.F., Boltneva N.P., Lushchekina S.V., Kovaleva N.V., Rudakova E.V., Bachurin S.O., Rudy J. Richardson R.J. // Chem. Biol. Interact. 2019. Vol. 308. P. 224. doi: 10.1016/j.cbi.2019.05.020
- Bachurin S.O., Makhaeva G.F., Shevtsova E.F., Aksinenko A.Y., Grigoriev V.V., Shevtsov P.N., Goreva T.V., Epishina T.A., Kovaleva N.V., Pushkareva E.A., Boltneva N.P., Lushchekina S.V., Gabrelyan A.V., Zamoyski V.L., Dubova L.G., Rudakova E.V., Fisenko V.P., Bovina E.V., Richardson R.J. // Molecules. 2021. Vol. 26. P. 5527. doi: 10.3390/molecules26185527
- Kiralj R., Ferreira M.M.C. // J. Braz. Chem. Soc. 2009. Vol. 20. P. 770. doi: 10.1590/S0103-50532009000400021
- Tropsha A., Gramatica P., Gombar V.K. // QSAR Comb. Sci. 2003. Vol. 22. P. 69. doi: 10.1002/qsar.200390007
- Kumar S., Manoharan A., Jayalakshmi J., Abdelgawad M.A., Mahdi W.A., Alshehri S., Ghoneim M.M., Pappachen L.K., Zachariah S.M., Aneesh T.P., Mathew B. // RSC Adv. 2023.Vol. 13. P. 9513. doi: 10.1039/d3ra00526g
- Pang X., Fu H., Yang S., Wang L., Liu A.-L., Wu S., Du G.-H. // Molecules. 2017. Vol. 22. P. 1254. doi: 10.3390/molecules22081254
- Fortran Numerical Library. https://developer.nvidia.com/imsl-fortran-numerical-library?display=default
- Random Forest. http://www.stat.berkeley.edu/~breiman/RandomForests/cc_examples/prog.f
- Suykens J.A.K., Vandewalle J. // Neural Process. Lett. 1999. Vol. 9. P. 293. doi: 10.1023/A:1018628609742
- Gaussian Processes for Machine Learning. http://gaussianprocess.org/gpml/
- Landrum G.A., Riniker S. // J. Chem. Inf. Model. 2024. Vol. 64. P. 1560. doi: 10.1021/acs.jcim.4c00049
- Mitra I., Saha A., Roy K. // Mol. Simul. 2010. Vol. 36. P. 1067. doi: 10.1080/08927022.2010.503326
- Kubinyi H. // Quant. Struct. Act. Relat. 1994. Vol. 13. P. 285. doi: 10.1002/qsar.19940130306
- Willett P., Barnard J.M., Downs G.M. // J. Chem. Inf. Comput. Sci. 1998. Vol. 38. P. 983. doi: 10.1021/ci9800211
- Раздольский А.Н., Казаченко В.П., Страхова Н.Н., Григорьев В.Ю. // Современные наукоемкие технологии. 2023. Вып. 10. С. 63. doi: 10.17513/snt.39792
- Trepalin S.V., Razdolskii A.N., Raevskii O.A. // Pharm. Chem. J. 2000. Vol. 34. P. 650. doi 10.1023/ A:1010499601434
Supplementary files









