Конденсированные гетероциклические соединения на основе 1,10-фенатролина в реакции электрокаталитического получения молекулярного водорода: влияние заместителей на эффективность процесса
- Authors: Долганов A.В.1, Юдина A.Д.1, Бойкова Т.В.1, Ганц О.Ю.1, Климаева Л.A.1, Улякина Ю.В.1, Бурмистрова A.A.1, Кемаева Е.A.1, Окина Е.В.1, Мурюмин Е.Е.1, Князев А.В.2
-
Affiliations:
- ФГБОУ ВО “Национальный исследовательский Мордовский государственный университет им. Н. П. Огарёва”
- Национальный исследовательский Нижегородский государственный университет им. Н. И. Лобачевского
- Issue: Vol 98, No 11 (2024)
- Pages: 148-155
- Section: ELECTROCHEMISTRY. GENERATION AND STORAGE OF ENERGY FROM RENEWABLE SOURCES
- Submitted: 19.03.2025
- Accepted: 19.03.2025
- Published: 15.11.2024
- URL: https://ogarev-online.ru/0044-4537/article/view/284160
- DOI: https://doi.org/10.31857/S0044453724110172
- EDN: https://elibrary.ru/EYGYVV
- ID: 284160
Cite item
Full Text
Abstract
С использованием метода циклической вольтамперометрии изучена электрокаталитическая активность в реакции образования молекулярного водорода в присутствии конденсированных гетероциклицеских соединений – 1,10-фенатролина и его производных – 2,9-диметил-1,10-фенантролина и 3,4,7,8-тетраметил-1,10-фенантролина в присутствии CF3COOH. Показано, что эффективность и механизм электрокаталитического процесса сильно зависят от природы катализатора. Увеличение количества метильных заместителей в гетероциклическом остове приводит к увеличению эффективности процесса (выше значения TOF). Методом DFT в рамках теории функционала плотности (DFT) с использованием гибридного функционала B3LYP в базисе 6–31++G изучены механизмы происходящих процессов и выявлены ключевые интермедиаты.
Full Text
ВВЕДЕНИЕ
Повсеместно используемые энергетические ресурсы в значительной степени зависят от невозобновляемых ископаемых видов топлива, которые сильно загрязняют окружающую среду [1]. Исходя из этого, важной задачей является переход на экологически чистые альтернативные энергоресурсы, которые могли бы обеспечить постоянно растущие нужды общества. Газообразный водород считается жизнеспособным вариантом топлива будущего не только за счет высокой плотности энергии, но и из-за его безвредности для окружающей среды, поскольку единственным продуктом его сгорания является вода. Многообещающей стратегией для эффективного производства водорода считается электрохимическое разложение воды, однако для ее реализации необходимо присутствие катализатора [2, 3].
Платина и ее сплавы показали очень высокую активность в реакции каталитического образования молекулярного водорода, но ее высокая стоимость и крайне низкое содержание этого благородного металла в природе существенно ограничивают ее широкомасштабное использование [4, 5]. Как следствие из этого, возникает необходимость разработки стабильных электрокатализаторов, которые бы имели более низкую стоимость, но не отличались по эффективности от металлических аналогов [6–9].
Как показано ранее в работах нашей группы, “управлять” эффективностью (TOF, TON) каталитического процесса получения молекулярного водорода в присутствии производных пиридина возможно путем варьирования природы заместителя в кольце [10–22]. Альтернативным эффективным механизмом, позволяющим также увеличить эффективность электрокаталитического процесса, является объединение в одну молекулу двух пиридинсодержащих фрагментов, соединенных между собой по орто-положению. Такой подход должен привести к увеличению эффективности электрокаталитического процесса образования молекулярного водорода, вследствие изменения заключительной стадии в механизме, по которой образуется молекулярный водород: бимолекулярная стадия в случае использования пиридина [14], может быть “заменена” на мономолекулярную стадию в случае использования 1,10-фенатролина (Схема 1).
Схема 1. Финальные стадии электрокаталитического процесса образования молекулярного водорода в присутствии пиридина [14] и 1,10-фенатролина.
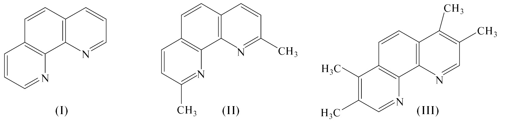
Можно предположить, что объединение обоих подходов будет способствовать значительному увеличению эффективности реакции образования молекулярного водорода. Здесь, с целью создания новых эффективных электрокатализаторов, для получения молекулярного водорода в присутствии трифторуксусной кислоты, будут изучены 1,10-фенантролина (I) и два его производных – 2,9-диметил-1,10-фенантролина (II) и 3,4,7,8-тетраметил-1,10-фенантролина (III) (Схема 2).
Схема 2. Структурные формулы 1,10-фенантролина (I), 2,9-диметил-1,10-фенантролина (II), 3,4,7,8-тетраметил-1,10-фенантролина (III).
Наличие заместителей в соединениях II и III должно оказывать положительное влияние на эффективность реакции образования молекулярного водорода, вследствие стабилизации промежуточных положительно заряженных интермедиатов, через которые протекают многие реакции образования молекулярного водорода в присутствии катализаторов на основе органических гетероциклических соединений.
ОБСУЖДЕНИЕ РЕЗУЛЬТАТОВ
Электрохимические свойства соединений I–III были изучены с использованием метода циклической вольтамерометрии (рис. 1). Как видно на вольтамперограммах, во всех случаях, в катодной области наблюдается по одной одноэлектронной волне, потенциал которой зависит от количества заместителей в соединении. С увеличением количества метильных групп, потенциал восстановления смещается в катодную область. В анодной области электрохимическая активность соединений I–III не наблюдается.
Рис. 1. ЦВА соединений I (а), II (б) и III (в) (С = 1 мМ, СУ, 100 мВ/с, CH₃CN, 0.1 M Bu₄NBF₄, Ag/AgCl/KClaq).
Электрокаталитическая активность соединений I–III была изучена в присутствии трифторуксусной кислоты (рКа (CH3CN) CF3COOH = 10.6 [23]). При добавлении в ацетонитрильные растворы соединения I–III трифторуксусной кислоты, наблюдается значительное изменение ЦВА: во всех случаях наблюдается анодное смещение потенциала и формирование новых электрокаталитических волн при потенциалах E = –0.80(соединение I), –0.85 (соединение II), и –1.05 В (соединение III).
Можно предположить, что механизм протекающих реакций в случае соединений I–III, при данных потенциалах, схожий. Увеличение количества трифторуксусной кислоты приводит к увеличению тока электрокаталитического процесса, однако, в отличие от соединения I, в случае соединений II и III, наблюдается формирование второй электрокаталитической волны при потенциалах E = –0.65 (соединение II) и –0.85 В (соединение III).
Рис. 2. Циклические вольтамперограммы соединений I (a), II (б) и III (в) в присутствии CF₃COOH (С = 1 мМ, СУ, 100 мВ/с, CH₃CN, 0.1 M Bu₄NBF₄, Ag/AgCl/KClaq).
Каталитическая природа волн генерирования молекулярного водорода, в присутствии соединений I–III и CF3COOH, наблюдающаяся на ЦВА (рис. 2) была изучена и подтверждена в ходе препаративного электролиза с одновременным количественным детектированием образовавшегося молекулярного водорода. Газохроматографический анализ газовых смесей, полученных при проведении одночасового электролиза при потенциалах, соответствующих потенциалу на половине каталитического тока показал: во всех случаях подтверждено образование молекулярного водорода со следующими выходами по току [24, 25].
Таблица 1. Характеристики электрокаталитического процесса (фарадеевские выходы, TON и TOF, c–1) полученные после часового электролиза в присутствии соединений I, II и CF3COOH
Соединение | Eelectrol, В | Перенапряжение**, В | Фарадеевский выход (%) | TON | TOF, c–1 |
I | –0.75 | 0.244 | 85 | 101 | 2.8×10–2 |
II | –0.6 | 0.094 | 82 | 94 | 2.6×10–2 |
II | –0.81 | 0.304 | 90 | 197 | 5.5×10–2 |
III | –0.82 | 0.314 | 85 | 202 | 5.6×10–2 |
III | –1.0 | 0.494 | 93 | 255 | 7.1×10–2 |
Примечание. Условия: концентрация соединения I во всех случаях равна 1 × 10–6 М, концентрация всех кислот – 0.1 М, рабочий электрод – стеклоуглерод (S = 5 см²), E°(CF3COOH в AСN) = –0.506 В (Ag/AgCl).
Как видно из табл. 1, во всех случаях наблюдается образование молекулярного водорода с довольно высокими выходами по току. Значения TOF максимальны в случае использования соединения III.
На основе полученных данных можно предположить, что в случае соединений I–III при потенциалах E = –0.80(соединение I), –0.85 (соединение II) и –1.05 В (соединение III), электрохимический процесс может быть связан с образованием катиона (IV) и вовлечением его в каталитический процесс по следующему механизму (Схема 3).
Схема 3. Механизм образования молекулярного водорода в присутствии соединений I–III и CF₃COOH при потенциалах E = –0.80 В (Соединение I (R¹, R², R³, R¹’, R²’, R³, R³’ = H), E = –0.85 В (Соединение II (R¹, R¹’ = CH3; R², R²’, R³, R³’ = H) и E = –1.05 В (Соединение III (R¹, R¹’ = H; R², R²’, R³, R³’ = CH₃).
Следующей стадией является восстановление соединения IV с образованием соответствующего радикала (V), далее происходит протонирование второго атома азота с образованием катион-радикала VI с последующим его восстановлением и образованием соединения VII, в котором через стадию внутримолекулярного восстановительного элиминирования отщепляется водород и генерируется стартовое соединение I–III.
В данную схему хорошо укладывается тот факт, что эффективность электрокаталитического процесса значительно выше в случае соединения III по сравнению с соединениями II и I. Как видно на Схеме 3, в ходе электрокаталитического процесса образуются положительно заряженные интемедиаты, которые стабилизируются за счет положительного индуктивного эффекта метильных групп, что соответствует данным представленным в таблице 1.
С целью подтверждения предположенного механизма реакции, а также нахождению энергетических характеристик электрокаталитического процесса были проведены квантово-химические расчеты с помощью метода DFT с использованием гибридного функционала B3LYP в базисе 6–31++G. На Схеме 4 приведена энергетическая диаграмма электрокаталитического механизма, показывающая термодинамическую возможность образования молекулярного водорода на примере соединения I. Представленные на Схеме 3 относительные значения свободной энергии Гиббса для соединений IV–IX получены путем нормировки относительно свободной энергии Гиббса соединения I.
Схема 4. Энергетическая диаграмма реализации реакции образования молекулярного водорода в присутствии соединения I и Н⁺.
Как следует из Схемы 4, единственным, термодинамически возможным вторым шагом каталитического процесса, в этих условиях, является протонирование радикала (V) по незамещенному атому азота (с образованием дигидро-N,N-замещенного катион-радикала (VI)), обладающего максимальной основностью. Образовавшийся катион-радикал (VI) электрохимически восстанавливается до бирадикала (VII), далее, через стадию внутримолекулярной димеризации образуется соединение VIII. Соединение VIII по внутримолекулярному гомогенному механизму отщепляет молекулу водорода с генерированием стартового соединения I.
Как следует из рис. 2б и в, появление каталитических волн при потенциалах E = –0.65 (соединение II) и –0.85 В (соединение III) связано с природой катализатора, а именно с количеством метильных заместителей в гетероциклическом остове. Можно предположить, что формирование данных волн связано с образованием дикатионов соединений II и III. Поскольку увеличение метильных заместителей приводит к тому, что основность атомов азота в гидропроизводном возрастает относительно соединения I, что и приводит к образованию дипротонированых соединений, которые далее вовлекаются в электрокаталитический процесс [26]. В случае соединения I протонирование по обоим атомам азота с образованием дикатиона (соединение VIII) не протекает (Схема 5).
Схема 5. Образование соединения IX из метильных производных (Соединение I (R¹, R², R3, R¹’, R²’, R³, R³’ = H); Соединение II (R¹, R¹’ = CH₃; R², R²’, R³, R³’ = H); Соединение III (R¹, R¹’ = H; R², R²’, R³, R³’ = CH₃)).
Таким образом, исходя из Схемы 4, можно предположить, что образующееся при двойном протонировании соединений II и III соединение IX электрохимически восстанавливается с образованием катион-радикала (VI), который далее, по уже описанному механизму, через стадию образования соединения VII и VIII, генерирует молекулярный водород (Схема 4).
Интересно отметить, как следует из представленных данных, механизм реакции образования молекулярного водорода, в присутствии соединений II и III при различных потенциалах E = –0.85 и –0.85 В (соединение II); E = –1.05 и –0.85 В (соединение III) протекает через одинаковые ключевые интермедиаты! Основное отличие в механизмах – это пути образования катион-радикала (VI): при потенциалах E= –0.85 (соединение II) и –1.05 В (соединение III) – через монокатион (IV), тогда как при E= –0.65 (соединение II) и –0.85 В (соединение III) – через дикатион (IX). При реализации данных механизмов во всех случаях, наиболее энергозатратной является стадия протонирования, т. е. данная стадия является лимитирующей. Для подтверждения данного предположения, электрокаталитические процессы в присутствии соединений I–III были протестированы на наличие кинетического-изотопного эффекта (КИЭ) [27–29]. КИЭ изучали только при потенциалах E = –0.80 (соединение I), –0.85 В (соединение II) и E = –1.05 В (соединение III), поскольку для процессов протекающих при E= –0.85 (соединение II) и –1.05 В (соединение III), невозможно определить параметры (E и Ip0) исходной электрохимической волны.
Для изучения кинетического-изотопного эффекта к раствору фонового электролита с концентрацией исследуемого вещества 1 мM в ацетонитриле добавлялись CF3COOD в диапазоне концентраций от 1 до 10 мM. В присутствии дейтерированной трифторуксусной кислоты, как и в случае с трифторуксусной кислотой, наблюдается образование двух электрокаталитических волн при тех же потенциалах: E = –0.80 (соединение I), –0.85 В (соединение II) и –1.05 В (соединение III).
Значение КИЭ рассчитывали по наклону, полученному из линейного графика зависимости Icat/Ip (или icat/ip) от [CD3COOD] и Icat/Ip (или icat/ip) от [CF3COOD] по уравнению:
, (1)
где, icat = каталитический ток, ncat = число переносов электронов, F = константа Фарадея, [cat] = концентрация катализатора, D = константа диффузии, kcat = константа скорости, [S] = концентрация субстрата (источника протонов), y – зависимость порядка субстрата S в реакции. Таким образом, строя график Icat/Ip (где Ip = катодный пиковый ток в некаталитических условиях, т. е. в отсутствие кислоты) в зависимости от [кислоты] и [дейтериевой кислоты], можно определить наклоны и, исходя из этого, оценить значение KIE. Как показано ниже, KIE = k H/ k D = (slope кислота) /slope (дейтерированная кислота).
, (2)
Наблюдаемые значения kH/kD составили 2.55 и 1.55 и 1.23 для соединений I–III соответственно. Полученные данные однозначно указывают, что в случае использования трифторуксусной кислоты, разрыв связи N-H/D участвует в лимитирующей стадии процесса [27].
ЭКСПЕРИМЕНТАЛЬНАЯ ЧАСТЬ
Все электрохимические характеристики изучали методом циклической вольтамперометрии (ЦВА) в специальной трехэлектродной ячейке объемом 10 мл с использованием цифрового потенциостата-гальваностата GAMRY REFERENCE3000 (Канада), подключенного к персональному компьютеру. В качестве рабочего электрода использовали стеклоуглеродный электрод (S = 0.07065 см²); вспомогательный электрод – платиновый электрод; электродом сравнения служил стандартный хлорсеребряный электрод (E0 = 0.33 В (CH3CN) по отношению к Fc/Fc+). В качестве фонового электролита использовали 0.1 М раствор n-Bu4NBF4. Рабочий электрод после каждого измерения очищали ацетоном, трехэлектродную ячейку также промывали дистиллированной водой и ацетоном. Измерения проводились при комнатной температуре. Все растворы предварительно деаэрировали аргоном.
Препаративный электролиз в ацетонитриле проводили следующим образом: 10 мл ацетонитрильного раствора хлорной кислоты (0.1 М), катализатора (1 мМ) и [n-Bu4N][BF4] (0.1 М) подвергали электролизу в течение 60 мин при заданных значениях потенциала (по отношению к Ag/AgCl/KCl). В качестве рабочего электрода использовали СУ-электрод (S = 5 см²).
Газохроматографический анализ газов, выделяющихся при электролизе, проводили на приборе GC-2010 Plus – Shimadzu, оснащенном детектором TCD-2010 Plus.
Полная оптимизация геометрии и расчет полной энергии исследуемых модельных систем проводились методом DFT с использованием гибридного функционала B3LYP [30] в базисе 6–31++G [31] из пакета прикладных программ Firefly [32]. Полная оптимизация молекулярной геометрии была проведена без каких-либо ограничений симметрии с учетом эффекта растворителя (ацетонитрила) в рамках модели поляризованного континуума (ПКМ), в которой пустота, содержащая растворенную частицу, строится из набора пересекающихся атомных сфер определенного радиуса. Внутри пустоты диэлектрическая проницаемость такая же, как и в вакууме; вне пустоты она равна растворителю [33]. Данные для растворителя, а именно диэлектрическая проницаемость и молекулярный радиус, взяты с сайта https://www.scm.com/doc/ADF/Input/COSMO.html. Чтобы подтвердить, что истинный минимум был достигнут, при оптимизации геометрии были рассчитаны нормальные частоты вибрации. Отсутствие мнимых частот в колебательном спектре оптимизированной структуры означает, что структура соответствует минимуму на поверхности полной потенциальной энергии. Свободная энергия Гиббса исследуемых соединений рассчитывалась с учетом термодинамической поправки к полной энергии, полученной при расчете матрицы Гесса.
ЗАКЛЮЧЕНИЕ
В статье подробно изучены электрохимические и электрокаталитические свойства – 1,10–фенатролина и его производных – 2,9-диметил-1,10-фенантролина и 3,4,7,8-тетраметил-1,10-фенантролина в присутствии CF3COOH. Показано, что увеличение количества заместителей в гетероциклическом остове приводит к увеличению основности атомов азота, что и определяет повышение эффективности электрокаталитического процесса при переходе от соединения I к соединению III. Показано, что механизм процесса для соединений I–III при потенциалах E = –0.80 (соединение I), –0.85 (соединение II) и –1.05 В (соединение III) протекает по одинаковому механизму. Кроме того, увеличение основности атомов азота приводит, в случае соединений II и III, к формированию еще одного механизма получения молекулярного водорода при потенциалах E= –0.65 (соединение II) и –0.85 В (соединение III). Представленные результаты открывают большое поле для поиска и исследования электрокаталитической активности и у других классов гетероциклических соединений, что позволит разработать эффективные каталитические системы нового поколения.
ФИНАНСИРОВАНИЕ
Работа выполнена при финансовой поддержке Министерства науки и высшего образования Российской Федерации (тема № 121111000064-5) в рамках государственного задания Мордовского государственного национального исследовательского университета им Н. П. Огарева (создание новых молодежных лабораторий).
КОНФЛИКТ ИНТЕРЕСОВ
Авторы заявляют об отсутствии конфликта интересов.
About the authors
A. В. Долганов
ФГБОУ ВО “Национальный исследовательский Мордовский государственный университет им. Н. П. Огарёва”
Author for correspondence.
Email: dolganov_sasha@mail.ru
Russian Federation, Саранск, 430005
A. Д. Юдина
ФГБОУ ВО “Национальный исследовательский Мордовский государственный университет им. Н. П. Огарёва”
Email: dolganov_sasha@mail.ru
Russian Federation, Саранск, 430005
Т. В. Бойкова
ФГБОУ ВО “Национальный исследовательский Мордовский государственный университет им. Н. П. Огарёва”
Email: dolganov_sasha@mail.ru
Russian Federation, Саранск, 430005
О. Ю. Ганц
ФГБОУ ВО “Национальный исследовательский Мордовский государственный университет им. Н. П. Огарёва”
Email: dolganov_sasha@mail.ru
Russian Federation, Саранск, 430005
Л. A. Климаева
ФГБОУ ВО “Национальный исследовательский Мордовский государственный университет им. Н. П. Огарёва”
Email: dolganov_sasha@mail.ru
Russian Federation, Саранск, 430005
Ю. В. Улякина
ФГБОУ ВО “Национальный исследовательский Мордовский государственный университет им. Н. П. Огарёва”
Email: dolganov_sasha@mail.ru
Russian Federation, Саранск, 430005
A. A. Бурмистрова
ФГБОУ ВО “Национальный исследовательский Мордовский государственный университет им. Н. П. Огарёва”
Email: dolganov_sasha@mail.ru
Russian Federation, Саранск, 430005
Е. A. Кемаева
ФГБОУ ВО “Национальный исследовательский Мордовский государственный университет им. Н. П. Огарёва”
Email: dolganov_sasha@mail.ru
Russian Federation, Саранск, 430005
Е. В. Окина
ФГБОУ ВО “Национальный исследовательский Мордовский государственный университет им. Н. П. Огарёва”
Email: dolganov_sasha@mail.ru
Russian Federation, Саранск, 430005
Е. Е. Мурюмин
ФГБОУ ВО “Национальный исследовательский Мордовский государственный университет им. Н. П. Огарёва”
Email: dolganov_sasha@mail.ru
Russian Federation, Саранск, 430005
А. В. Князев
Национальный исследовательский Нижегородский государственный университет им. Н. И. Лобачевского
Email: dolganov_sasha@mail.ru
Russian Federation, Нижний Новгород, 603022
References
- Tang H.M., Fan W.Y. // ACS Omega. 2023. V. 8. P. 7234. doi: 10.1021/acsomega.3c00412.
- Wang M., Wang Z., Gong X., et al. // Renewable and Sustainable Energy Reviews 2014. V. 29. P. 573. doi: 10.1016/j.rser.2013.08.090.
- Armaroli N., Balzani V. // Chem.Sus.Chem. 2011. V. 4. P. 21. doi: 10.1002/cssc.201000182.
- Lei H., Wang Y., Zhang Q., et al. // J. Porphyrins Phthalocyanines. 2020. V. 24. P. 1361. doi: 10.1142/S1088424620500157.
- Griffiths S., Sovacool B.K., Kim J., et al. // Energy Research & Social Science 2021. V. 80. P. 102208. doi: 10.1016/j.erss.2021.102208.
- Belaya I.G., Svidlov S.V., Dolganov A.V. et al. // Dalton Trans. 2013. V. 42. P. 13667. doi: 10.1039/c3dt50881a.
- Lebed E.G., Belov A.S., Dolganov A.V. et al. // Inorganic Chemistry Communications. 2013. V. 30. P. 53. doi: 10.1016/j.inoche.2013.01.020.
- Voloshin Y.Z., Lebedev A.Y., Novikov V.V. et. al. // Inorganica Chimica Acta. 2013. V. 399. P. 67. doi: 10.1016/j.ica.2012.12.042.
- Patra B.C., Khilari S., Manna R.N., et al. // ACS Catal 2017. V. 7. P. 6120. doi: 10.1021/acscatal.7b01067.
- Dolganov A.V., Tanaseichuk B.S., Pryanichnikova M.K., et al. // J. Phys. Org. Chem. 2019. V. 32. № 5. e3930. doi: 10.1002/poc.3930.
- Dolganov A.V., Muryumin E.E., Chernyaeva O.Y., et al. // Materials Chemistry and Physics. 2019. V. 224. P. 148. doi: 10.1016/j.matchemphys.2018.12.006.
- Dolganov A.V., Tarasova O.V., Ivleva A.Y., et al. // Intern. J. of Hydrogen Energy. 2017. V. 42. № 44. P. 27084. 10.1016/j.ijhydene.2017.09.080.
- Dolganov A.V., Tarasova O.V., Moiseeva D.N., et al // Intern. J. of Hydrogen Energy. 2016. V. 41. № 22. P. 9312. 10.1016/j.ijhydene.2016.03.131..
- Dolganov A.V., Balandina A.V., Chugunov D.B., et al. // Russ. J. Gen. Chem. 2020, V. 90. № 7. P. 1229. doi: 10.1134/S1070363220070099.
- Dolganov A.V., Tanaseichuk B.S., Tarasova O.V., et al. // Rus. J. Electrochem 2019. V. 55. № 8. P. 807. doi: 10.1134/S1023193519080056
- Dolganov A.V., Tarasova O.V., Balandina A.V., et al. // Rus. J. Org. Chem. 2019. V. 55. № 7. Р. 938. doi: 10.1134/S1070428019070030.
- Dolganov A.V., Tanaseichuk B.S., Yurova V. Yu, et al. // Intern. J. of Hydrogen Energy 2019. V. 44 № 39. P. 21495. doi: 10.1016/j.ijhydene.2019.06.067.
- Dolganov A.V., Chernyaeva O.Y., Kostryukov S.G., et al. // Intern. J. of Hydrogen Energy. 2020. V. 45. № 1. P. 501. doi: 10.1016/j.ijhydene.2019.10.175.
- Dolganov A. V., Tanaseichuk B.S., Moiseeva D.N., et al. // Electrochem. Commun., 2016. V. 68. P. 59. doi: 10.1016/j.elecom.2016.04.015.
- Dolganov A.V., Tanaseichuk, B.S., Tsebulaeva Y.V., et al. // Int. J. Electrochem. Sci. 2016. P. 9559. doi: 10.20964/2016.11.24.
- Ganz O. Yu., Klimaeva L.A., Chugunov D.B., et al. // Russ. J. Phys. Chem. 2022. V. 96 № 5. P. 954. doi: 10.1134/S0036024422050120
- Klimaeva L.A., Ganz O. Yu., Chugunov D.B., et al. // Ibid. 2022. V. 96. P. 958. doi: 10.1134/S0036024422050156.
- Felton G.A.N., Glass R.S., Lichtenberger D.L., et al. // Inorg. Chem. 2006. V. 45 P. 9181. doi: 10.1021/ic060984e.
- Roberts J.A.S., Bullock R.M. // Ibid. 2013. V. 52. P. 3823. doi: 10.1021/ic302461q.
- Helm M.L., Stewart M.P., Bullock R.M., et al. // Science. 2011. V. 333. P. 863. doi: 10.1126/science.1205864.
- Najoczki F., Beller G., Szabo M. // New J. Chem. 2017. doi: 10.1039/C7NJ01860F.
- Karak P., Mandal S.K., Choudhury J. // J. Am Chem. Soc. 2023. V. 145. P. 17321. doi: 10.1021/jacs.3c04737.
- Manton J.C., Hidalgo D., Frayne L., // Intern. J. of Hydrogen Energy 2018. V. 43. P. 18843. doi: 10.1016/j.ijhydene.2018.08.017.
- Gómez-Gallego M., Sierra M.A. // Chem Rev 2011. V. 111. P. 4857. doi: 10.1021/cr100436k.
- Stephens P.J., Devlin F.J., Chabalowski C.F., et al. // J. Phys. Chem. 1994. V.98. P. 11623. doi: 10.1021/j100096a001.
- Ditchfield R., Hehre W.J., Pople J.A. // The J. of Chem.Phys. 1971. V. 54 P. 724. doi: 10.1063/1.1674902.
- Schmidt M.W., Baldridge K.K., Boatz J.A., et al. // J. Comput. Chem. 1993. V. 14. P. 1347. doi: 10.1002/jcc.540141112.
- Baik M-H., Friesner R.A. // J. Phys. Chem. A. 2002. V. 106. P. 7407. doi: 10.1021/jp025853n.
Supplementary files









