Luminescence Properties of Mixed-Ligand Neodymium(III) Quinaldinates
- Authors: Kalinovskaya I.V.1
-
Affiliations:
- Institute of Chemistry, Far Eastern Branch, Russian Academy of Sciences, 690022, Vladivostok, Russia
- Issue: Vol 97, No 11 (2023)
- Pages: 1620-1626
- Section: STRUCTURE OF MATTER AND QUANTUM CHEMISTRY
- Submitted: 26.12.2023
- Published: 01.11.2023
- URL: https://ogarev-online.ru/0044-4537/article/view/233068
- DOI: https://doi.org/10.31857/S0044453723110146
- EDN: https://elibrary.ru/GUCWRL
- ID: 233068
Cite item
Full Text
Abstract
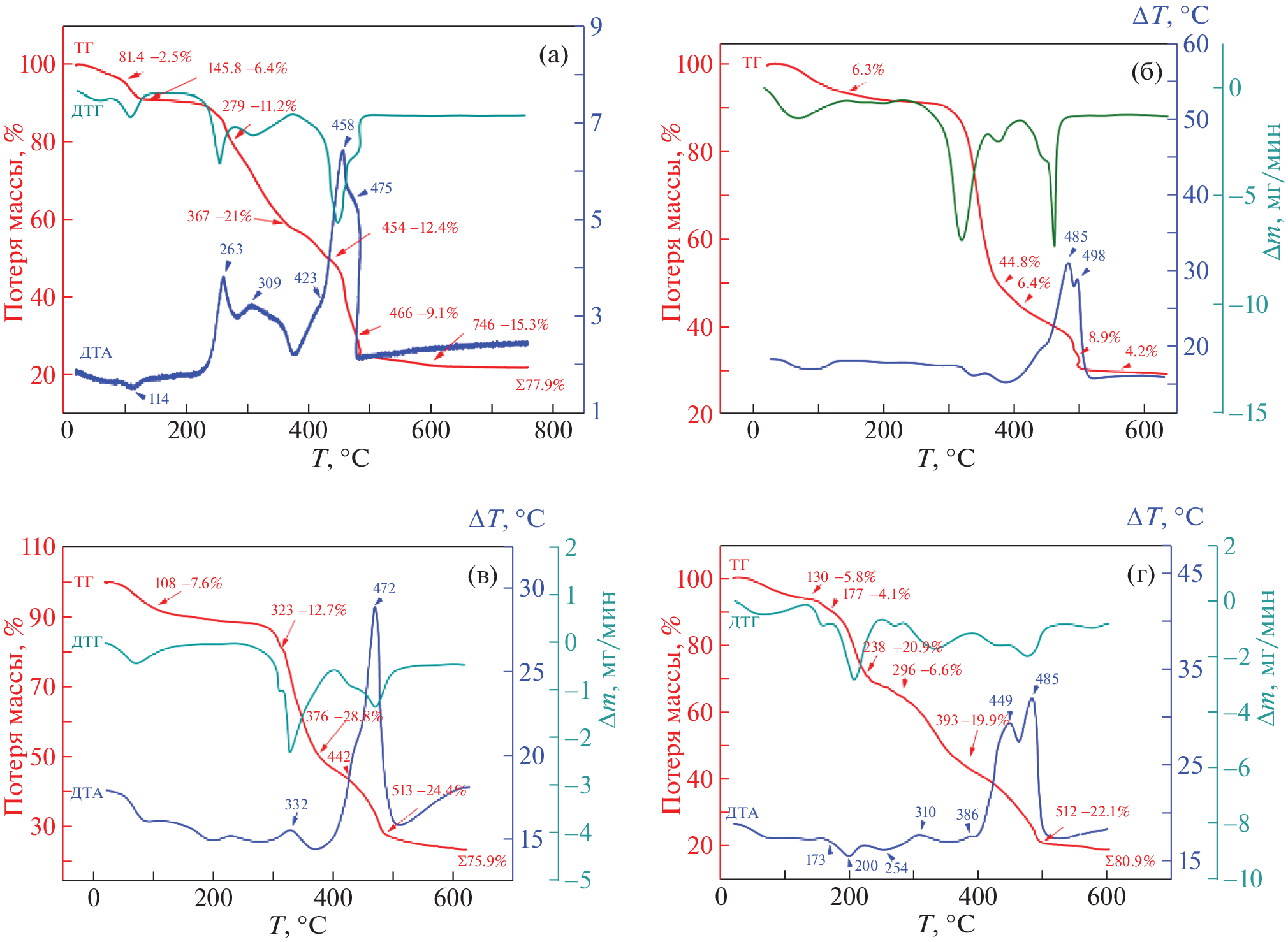
Complex compounds of neodymium(III) with a quinaldic acid anion and nitrogen- and phosphorus-containing neutral ligands have been synthesized. The mixed-ligand compounds were characterized by elemental and X-ray diffraction analysis and IR spectroscopy. The thermal behavior of the obtained compounds was studied by thermal analysis in air in the temperature range 25–700°C. During the thermolysis of the complexes, the neutral ligand molecule is eliminated in one stage with an endothermic effect; the compounds are thermally stable up to 250°C. It was established by IR spectroscopy that in mixed-ligand neodymium(III) quinaldinates, the acid anion is coordinated to the central neodymium(III) ion as a bridging bidentate ligand. The luminescence properties of neodymium(III) quinaldinates were studied.
About the authors
I. V. Kalinovskaya
Institute of Chemistry, Far Eastern Branch, Russian Academy of Sciences, 690022, Vladivostok, Russia
Author for correspondence.
Email: acjournal.nauka.nw@yandex.ru
Россия, 690022, Владивосток
References
- Smola S., Rusakova N., Korovin Yu. // J. Coord. Chem. 2011. V. 64. № 5. P. 863.
- Werts M.H.V., Woudenberg R.H., Emmerink P.G. et al. // Angew. Chem. Int. Ed. 2000. V. 39. № 24. P. 4542.
- Петроченкова Н.В., Мирочник А.Г. // Оптика и спектр. 2020. Т. 128. № 1. С. 140.https://doi.org/10.21883/OS.2020.01.48851.246-19
- Binnemans K. // Chem. Rev. 2020. V. 109. № 9. P. 4283.https://doi.org/10.1021/cr8003983
- Каплин В.С., Копылов А.С., Зархина Т.С. и др. // Оптика и спектр. 2020. Т. 128. № 7. С. 869.https://doi.org/10. 21883/ OS.2020.07.
- Kuchmizhak A., Vitrik O., Kulchin Y. et al. // Nanoscale. 2016. V. 8. № 24. P. 12352. https://doi.org/10.1039/c6nr01317a
- Мартынов А.Г., Cафонова Е.А., Горбунова Ю. и др. // ЖНХ. 2010. Т. 55. С. 389.https://doi.org/10.1134/S0036023610030083
- Калиновская И.В., Николенко Ю.М. // Оптика и спектроскопия, 2018. Т. 125. № 3. С. 344. https://doi.org/10.1134/S0030400X18090126
- Коровин Ю.В., Шевчук С.В., Бачериков В.А. и др. // ЖНХ. 2000. Т. 45. № 9. С. 1513.
- Мешкова С.Б., Дога П.Г. // ЖАХ. 2020. Т. 75. № 3. С. 209–229.https://doi.org/10.31857/S0044450220030147
- Коровин Ю.В. // Укр. хим. журн. 2000. Т. 66. № 10. С. 101.
- Калиновская И.В., Задорожная А.Н., Николенко Ю.М. и др. // ЖНХ. 2006. Т. 51. № 3. С. 505.https://doi.org/10.1134/S0036023606030181
- Калиновская И.В., Задорожная А.Н. // Оптика и спектр. 2019. Т. 127. № 5. С. 765.https://doi.org/10.21883/OS.2019.11.48512
- Lam A.W.H., Wong W.T., Gao S. et al. // Eur. J. Inorg. Chem. 2003. № 1. P. 149.https://doi.org/10.1002/ejic.200390021
- Kataoka H., Kitano T., Takizawa T. et al. // J. Alloys Compd. 2014. V. 601. P. 293. https://doi.org/10.1016/j.jallcom.2014.01.165
- Zhang J., Wang R., Bai J., and Wang S. // J. Rare Earths. 2002. V. 20. № 5. P. 449.
- Utochnikova V., Kovalenko A., Burlov A. et al. // Dalton Trans 2015, 44:12660-12669. https://doi.org/10.1039/C5DT01161B
- Zhang J., Wang R., Liu H.-M. // J. Therm. Anal. Cal. 2001. V. 66. P. 431.https://doi.org/10.1023/A:1013186600293
- Starynowicz P. // Acta Cryst. 1990. V. 46. P. 2068.
- Bukvetskii B.V., Kalinovskaya I.V. // J. Fluoresc. 2017. V. 27. № 3. P. 773.https://doi.org/10.1007/s10895-016-2009-7
- Калиновская И.В., Карасев В.Е. // ЖНХ. 2003. Т. 48. № 8. С. 1307.
- Калиновская И.В., Карасев В.Е., Зайцева Н.Н. // Там же. 1989. Т. 34. № 3. С. 1515.
- Zolin V.F. // J. Alloys Compd. 2004. V. 380. № 1–2. P. 101.https://doi.org/10.1016/j.jallcom.2004.03.006
- Золин В.Ф., Коренева Л.Г. Редкоземельный зонд в химии и биологии. М.: Наука, 1980. 350 с.
Supplementary files




